Departamento de Cultura y Política Lingüística

Matematika»Analisiak

Funtzio baten deribatua

 

I. Sarrera historikoa

Newtonek eta Leibnizek zeinek bere aldetik garatu zituzten kalkulu infinitesimalaren oinarrizko ideiak, eta ordu arte ebatzi ezin izan ziren problemak erraz ebatzi ahal izan ziren, haiek asmatutako metodo berriak erabiliz.Kalkulu integrala eta kalkulu diferentziala bateratzea izan zen haien lorpenik handiena.Kalkulu diferentzialaren ideia nagusia deribatuaren kontzeptua da. Integralaren antzera, geometria arazo batek sorrarazi zuen deribatua : kurba baten puntu batean zuzen ukitzailea kalkulatu beharrak, alegia.Deribatuaren kontzeptua oso berandu azaldu zen matematikaren historian, XVII. mendean, Pierre Fermat matematikaria funtzio batzuen maximoak eta minimoak aztertzen hasi zenean.Fermatek hau ikusi zuen : ukitzaileak puntu batean duen norabideak adierazten du kurbak puntu horretan duen norabidea, eta kurbak maximoa edo minimoa azaltzen duen puntuetan ukitzailea horizontala da ; beraz, muturrak aztertzeko, ukitzaile horizontalak aztertu behar dira.

 

I I. Higikari baten lastertasunaren arazoa

Demagun jaurtigai bat goraka jaurtikitzen dela 45 m/s-ko lastertasunaz. Marruskadura kontuan hartzen ez bada, grabitateak bakarrik izango du eragina. Hori dela eta, jaurtigai horren lastertasuna gero eta txikiagoa izango da, harik eta zerora iristen den arte ; orduan jaurtigai hori erortzen hasiko da ; f(t) baldin bada t segundutan hartzen duen altura,da, esperientzia fisikoen arabera.f(t) = 0 egiten da t = 0 eta t = 9 denean. Jaurtigaia 9 segundura erori da lurrera, berazJaurtigaiaren lastertasuna une bakoitzean zein den jakiteko, t unearen "unean uneko lastertasuna" definitu behar da. Lehenengo, batez besteko lastertasuna kalkulatu behar da t-tik t + h-ra dagoen bitartean :eta t finkatuz, batez besteko lastertasunarekin zer gertatzen den ikusten da, h-ren balioak O-runtz hurbiltzen direnean.

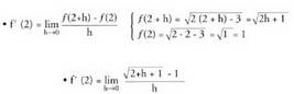
Kalkula dezagun unean uneko lastertasuna t=3 denean.Batez besteko lastertasuna (3, 3 + h) tartean :.-rantz doanean, bataz besteko lastertasuna 15 m/s-ra hurbiltzen da. Balio horri aldi bateko lastertasuna deitzen zaio, t= 3 s. denean.Beraz :

 

I I I. Kurba baten ukitzaileak puntu batean duen malda.

Demagun y = f(x) funtzioaren kurba (2.a irudia).Har ditzagun kurba horren bi puntu,eta; kurbarekin ebakitzailea denzuzenaren hau da malda :.-ri h deitzen badiogu ;Beraz,ebakitzailearen malda honela idatz daiteke :puntua-rantz hurbiltzen den neurrian,-rantz hurbiltzen da eta-rantz jotzen du.2b irudian ikusten den bezala,zuzen ebakitzaileak t zuzenera hurbiltzen dira, hots,puntuan haren ukitzailea den zuzenera.Beraz, ebakitzaileen maldek ukitzailearen maldaruntz jotzen dutepuntuan.Kurbaren maldapuntuan, puntu horretan kurbak duen ukitzailearen malda da.Hemen azaltzen den formula unean uneko lastertasuna kalkulatzeko lortu denaren antzekoa da. Horrela f(x) funtzioaren deribatuaren definiziora garamatza

 

IV. Deribatuaren definizioa funtzio baten puntu batean.

Demagun y= f(x) funtzioa etax ardatzaren puntu bat.puntua hartzen badugu,-tik oso gertu dagoena (h zenbakia infinitoki txikia da),-runtz doan neurrian,etalotzen dituen zuzen ebakitzaileak, kurbakpuntuan duen ukitzailearekin bat egiteko joera du.ebakitzaileakardatzarekin eratzen duen angelua baldin bada, etaukitzaileakardatzarekin eratzen duen angelua baldin bada,etaetaerpinak dituen hiruki zuzenean hau egiaztatzen da :-rantz doanean eta ebakitzailea ukitzailearen zuzenki batekin bat egiten duela kontuan hartuz,-rantz jotzen du, hau da,puntuan kurbak duen ukitzailearenmaldarantz.Matematikoki honela adierazten da :

 

Funtzio baten deribatua puntu batean

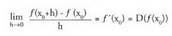
y= f (x) funtzioa emanik, f-ren deribatuapuntuan ondoren definitzen den limiteari deitzen zaio, limite hori existitzen bada eta finitoa (zenbaki bat) bada :etaedoadierazten da.Limite hau existitzen denean (eta finitoa denean), f(x) funtzioa

 

Deribatuaren esanahia :

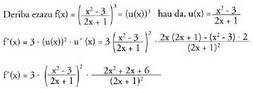
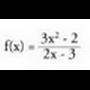
denez gero, funtzio baten deribatuapuntuan, kurbakpuntuan duen ukitzailearen malda da.• Adibideak1) Kalkula ezazu f(x) = 5x-2 funtzioaren deribatua x=1 abzisa duen puntuan.Emaitza :-en balioa da eskatzen dena.Beraz,da.2) Kalkula ezazufuntzioaren deribatua x=2 denean.Emaitza :(zenbakitzailea eta izendatzailea zenbakitzailearen konjokatuaz biderkatuz :)Beraz,3) Kalkula ezazufuntzioaren zuzen ukitzailearen ekuazioa abzisa 3 den puntuan.Emaitzax=3 bada ;Ukitzailea P (3,7) puntuan bilatu behar da. Zuzen ukitzailearen maldada, beraz, zuzenaren ekuazioa :Beraz,da.Beraz, f'(3) = 6 da.

Ukitzailearen ekuazioa : y-7 = 6(x-3) da.. -7 = 6x-18 6x-y-11 = 0da.

 

V. Funtzio baten deribagarritasuna puntu batean.

f(x) funtzioa "a" puntuan deribagarria izan dadinexistitu behar du, eta horretarako• AdibideaAzter ezazufuntzioaren deribagarritasunaetapuntuetan.Emaitza :a)-n deribagarritasuna• h < 0 denean f (-2 + h) = 4, -2 + h < 2 delako• h > 0 deneandelakoBeraz, eskuin limitea -4 da eta ukitzailearen malda eskubitik -4 da.Aldeetako limiteak desberdinak direnez, ez da existitzeneta f(x) ez da deribagarriaabzisa duen puntuan.b)-n deribagarritasuna.• h < 0 deneandelakoBeraz, ezker limitea x= 1 abzisa duen puntuan 2 da.• h > 0 denean f (1 +h) = 2(1+h) - 1 = 2h + 1, 1 + h > 1 delakoBeraz, eskuin limitea x=1 abzisa duen puntuan 2 da.Aldeetako limiteak berdinak direnez, funtzioa deribagarria da x=1 denean eta

 

VI. Funtzio deribatua.

f (x) funtzioa, (a,b) tarte irekian definitua, deribagarria bada tarte horretarako puntu guztietan, hau da,-rentzatexistitzen bada, funtzio berri bat defini daiteke, "funtzio deribatua" deitua.• AdibideaBeraz,

 

VII. Jarraitasunaren eta deribagarritasunaren h arteko erlazioa.

Funtzio bat deribagarria bada puntu batean, puntu horretan jarraia da derrigor.(Alderantziz ez da beti betetzen).Frogapena :Demagun y=f(x) funtzioa deribagarria dela, puntuan. Funtzioa jarraia dela ikustekodela frogatu behar da, edo horren baliokidea dena:Baina :Limiteak hartuz-rantz hurbiltzen denean :f(x) deribagarria denez :

 

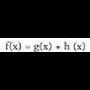
VIII. Deribatuak kalkulatzeko arauak.

Funtzio polinomiko baten deribatua kalkulatu nahi dugu, hasteko.Horretarako, hau ikasi behar da lehenengo :1) f (x) = k ; funtzio konstantearen deribatua.2),funtzioaren deribatua.3)(k konstante) funtzioaren deribatua.4) Bi funtzioen baturaren deribatua.

 

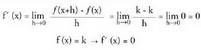
1) Funtzio konstantearen deribatua: f(x) = k

f(x) = k bada, f(x+h) = k izango da baita ere.Beraz,

 

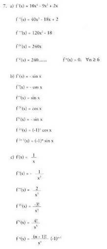
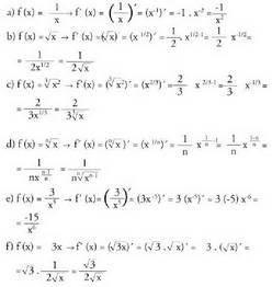
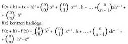
2) f (x) = x´´ funtzioaren deribatua (fn -rentzat)

Lehenengo, f(x+h) kalkulatuko dugu :Beraz,(beste batugai guztiak 0 egiten baitira limitea kalkulatzerakoan).Arau hau n zenbaki arrunta denean bakarrik frogatu da, baina edozein berreketa funtziorentzat ere balio du arau horrek,izanik.• Adibideak

 

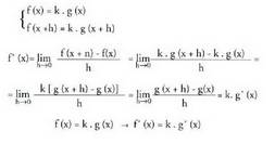
3) Konstante baten eta funtzio baten biderkaduraren deribatua.

 

4) Bi funtzioen baturaren deribatua.

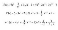
Lau arau horiek ikasi eta gero, edozein funtzio polinomikoren deribatua kalkula daiteke.funtzioaren deribatua hau da :• Adibidea:Demagun:Era berean,funtzioaren deribatuaren ondorioak aplikatuz, funtzio hauen deribatuak kalkula daitezke.

• Adibidea:

 

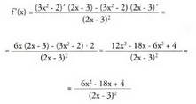
5) Funtzioen biderkaduraren deribatua

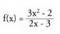
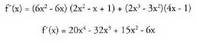
Frogapena :(Zenbakitzailean batzen eta kentzen badugu, emaitza hau lortuko da)(Lehenengo bi batugaietan g (x+h) biderkagai komuna atereaz, eta f(x) atereaz azkeneko bietan) :(funtzioen baturaren eta biderkaduraren limiteen ezaugarriak erabiliz)(Horixe nahi baitzen frogatu).• Adibidea : Kalkula ezazufuntzioaren deribatua.

 

- Ariketak

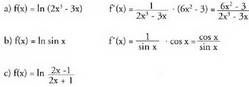
1. Kalkula itzazu funtzio hauen deribatuak

 

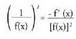
IX. Alderantzizko funtzioaren deribatua

Frogapena:• Adibidea Deriba ezazu

 

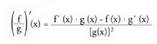
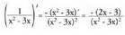
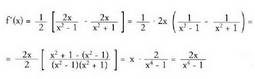
X. Bi funtzioen zatiduraren deribatua

Frogapena :(izendatzaile komunera bihurtuz).(hain zuzen ere frogatu nahi zena).• Adibidea Deriba ezazu

 

- Ariketak

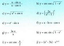
2. Deriba itzazu :

 

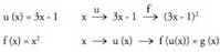
XI. Funtzio konposatuaren deribatua.

Katearen araua.

Normalean erabiltzen diren funtzioak, funtzio konposatutzat har daitezke. Esate baterakofuntzioa beste bi funtzioen konposaketa da :Funtzio honen deribatua kalkulatuko dugu.(biderkaduraren limitea limiteen biderkadura denez, eta n(x) jarraia denez-rantz doaneanHori da katearen arau izenez ezagutzen dena ; arau hori hiru funtzioz edo gehiagoz osaturiko funtzio konposatuetara heda daiteke.• Adibidea

 

XII. Funtzio trigonometrikoen deribatua

Arau hauek frogatuko ditugu(Sinuen kendura biderkadura bihurtzeko formula trigonometrikoa erabiliz).Irudian ikus daitekeSin x-ez biderkatuz.-rantz jotzen duenean :Beraz,2)kalkulatzeko,dela kontuan hartu behar da, eta katearen araua aplikatu behar da funtzio konposatuetan.(hain zuzen ere frogatu nahi zena)3)denez, zatidura baten deribatua kalkulatzeko formula• Adibideak : Deriba itzazu :Emaitza:

 

XIII. Funtzio logaritmikoen deribatuak

a) Logaritmo nepertarraren funtzioaren deribatua.Frogapena :(h nahikoa txikia izanik x+h>0 izan dadin)(logaritmoen ezaugarriak erabiliz)(logaritmo baten limitea, limitearen logaritmoa denez).Beraz,(hain zuzen ere frogatu nahi zena).b) Funtzio logaritmikoaren deribatua oinarria "a" izanik.Frogapena :Logaritmoaren oinarri aldaketaren formula aplikatuz• Adibideak:Deriba itzazu :Deribatu baino lehen, logaritmoen ezaugarri hau aplikatzea komeni da :Deribatuz :Deribatuz :Oharra : Hemen katearen araua erabili dugu, y =1n u (x) funtzioari aplikatua :Laburtuz :

 

X I V. Funtzio exponentzialen deribatua

a)funtzioaren deribatuada.Frogapena :(baldintzaren bi ataletan logaritmo nepertarrak hartuz).(Berdintzaren bi ataletan x-ekiko deribatzen bada).(hain zuzen ere frogatu nahi zena).. )funtzioaren deribatuada.Frogapena :(aurreko kasuan bezala, logaritmo nepertarrak hartuz berdintzaren bi ataletan).

 

XV Deribazio inplizitoa

Demagun konika baten ekuazioa hau dela :x-ekiko deribatuz :

 

XVI. Funtzio trigonometrikoen funtzio alderantzizkoen deribatuak.

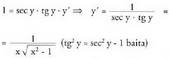
a) y = arc sin x funtzioaren deribatuada. Funtzio horiek ikasterakoan ikusi zen bezala, y = sin x funtzioak alderantzizko funtzioa izan dezan, haren izate eremua mugatu behar da, hala funtzioa injektiboa izan dadin :Deribazio inplizitoa erabiliz :Beraz,b) y = arc cos x funtzioaren deribatuada.Kosinu funtzioak alderantzizko funtzioa izan dezan, haren izate eremua mugatu behar da, hala injektiboa izan dadin :-ra hain zuzen ere.y = arc cos x baldin badaDeribazio inplizitoa erabiliz :Beraz,c) y = arc tg x funtzioaren deribatuada. Tangentefuntzio horrek alderantzizko funtzioa izan dezan, haren izate eremua mugatu behar da, hala funtzioa injektiboa izan dadin. Hori gertatzen dafuntzioan.Beraz,funtzioan, hau definitzen da :Horren deribatua kalkua dezagun.y = arc tgx x= tg yDeribazio inplizitoa erabiliz :• Adibideak :a) y = arc sin 2xD)c).beraz, x= cotg y deribatzerakoan, inplizitoki :d) y = arc sec x x =sec y.BadakiguBeraz, x = sec y inplizitoki deribatzerakoan :Beraz,

 

Deribatu taula

 

- Ariketak

4. Logaritmoen ezaugarriez baliatuz, kalkula itzazu funtzio hauen deribatuak.5. y = arc sec x funtzioaren deribatua kalkulatzeko erabili dugun metodoaz, kalkula ezazu y = arc cosc x funtzioaren deribatua6. Deriba itzazu :

 

XVII. Ondoz ondoko deribatuak.

Ordena goreneko deribatuak

Funtzio bat emanda, f(x), eta funtzio hori (a, b) tartean definituz gero.f deribagarria baldin bada,-rentzat funtzio berri bat defini daitekeela ikusi dugu.funtzio deribatua izenekoa.Demagunderibagarria dela, hau da,existitzen da.Deribatu horri f-ren bigarren deribatua-n esaten zaio, etaadierazten da.Bainaderibagarria baldin bada-rentzat,defini daiteke, eta bigarren funtzio deribatua deitzen da :Era horretara ondoz-ondoko deribatuak defini daitezke :.funtzio horiei, n > 2 delarik, existitzen badira, ordena goreneko deribatuak deitzen zaie.1. adibidea2. adibideaIdatz genezake :3. adibidea

 

- Ariketa

7. Bila itzazu funtzio hauen ondoz ondoko deribatuak.

 

XVIII. Funtzio baten diferentziala

Demagun y = f(x) funtzioa. Abzisatzat x duen puntu bat hartuz gero, gehikuntza txiki bat egiten zaio x+h abzisa duen puntua lortzeko .Abzisatzat x duen puntutik kurbaren ukitzailea marrazten da, eta x + h-tik ordenatu, ardatzarekiko paraleloa den zuzen bat marrazten da, kurba eta ukitzailea ebaki arte.baldin bada ukitzaileak OX ardatzarekin eratzen duen arngelua :

 

Funtzio baten diferentziala puntu batean.

y=f(x) funtzioaren diferentziala x puntuan, dy edo df(x) adierazten da, eta honela definitzen da :

 

Definizio horren ondorioak.

• Funtzio baten diferentziala puntu batean bi aldagaien mende dago : x puntuaren eta hartu den h gehikuntzaren mende.•denez, funtzio baten diferentziala puntu batean, abzisatzat x duen puntua h-z gehitzerakoan ukitzailearen ordenatuak duen gehikuntza da.y = f(x) = x funtzioa hartzen badugu,Horrela, dx = h da, etaidatz daiteke.Beraz :.denez, limitearen ideiatik,h infinitoki txikia deneanondorioztatzenda, eta h=dx denez,

 

Ariketen ebazpenak