Fisika-Kimika»Fisika - Kimika
1. Bektore kalkulua. Sarrera
1.1 Magnitude eskalarrak eta magnitude norabidedunak
Fisikan bi magnitude mota izan ohi dira erro-errotik desberdinak: magnitude eskalarrak eta magnitude norabidedunak. Eskalarra, behin neurri unitatea finkatu eta gero, zenbakiak erabat mugatzen duen magnitudea da: 10 kilogramoko masa edo 500 m 3 ko bolumena, adibidez. Magnitude eskalarrak dira, orobat, dentsitatea, energia eta karga elektrikoa. Magnitude norabideduna guztiz mugatuko bada, ordea, zenbakia, norabidea eta noranzkoa zehaztu behar dira. Horrela, norabide eta noranzko jakin bateko 3 m s -1 ko lastertasuna esaten da. Magnitude norabidedunak dira, baita ere, eremu elektrikoaren indarra eta intentsitatea.
1.2 Bektoreak
Magnitude norabidedun mota berezi bat dira bektoreak. Geometriaren
ikuspuntutik, bektore bat, A sorburua eta B muturra dituen
zuzenki bat da ( 1. 1 irudia ). A eta B puntuek mugatzen duten zuzenakdefinitzen du bektorearen norabidea;
zuzenkiaren luzeraneurriari,
komeni den unitatea behin hautatu ondoren, bektorearen modulua deitzen zaio.
Bektorearen sorburuak eta muturrakzertzen dute noranzkoa. A sorburua bektorearen aplikazio puntuada.
A sorburua eta B muturra dituen bektoreazuzenkiaren luzeraneurriari, komeni den unitatea behin hautatu ondoren, bektorearen
modulua deitzen zaio. Bektorearen sorburuak eta muturrakzertzen dute noranzkoa. A sorburua bektorearen aplikazio puntua da.
A sorburua eta B muturra dituen bektorea
(formula) adierazten da, eta baita letra beltzez ere, v, baldin A eta B puntuek
ez badute ezertan parte hartzen. v bektorearen modulua berriz,( formula ) B puntuekadierazten da, eta baita letra beltzez ere,
v, baldin A eta B puntuekadierazten da, eta baita letra beltzez ere, v, baldin A eta B puntuek ez badute ezertan parte hartzen.
v bektorearen modulua berriz,
( formula ),
, edo v formulaz adieraz daiteke.

1.1 irudia. v bektore baten irudikatze grafikoa, sorburua A puntuan eta muturra B puntuan dituela.
Oharra. Magnitude eskalarrak eta bektorialak ez dira Fisikako magnitude bakarrak. Esate baterako, puntu jakin batetik pasatzen diren zenbait ardatzi buruzko gorputz baten inertzia-momentua ez du ez magnitude eskalarrak ez bektorialak erabat mugatzen, baizik eta tentsorial izeneko beste magnitude batek
1.3 Bektore unitateak
v1 eta v2 bektoreak ekipolenteak edo geometriaren ikuspuntutik berdinak direla esaten da, modulu berdinak, norabide berdinak eta noranzko berdinak dituztenean (1.2 irudia). Horrela idazten da:

Berdintasun erlazio hori, baliokidetasun erlazioa da, ondorengo hiru tasun hauek betetzen baititu:

Baliokidetasun mota hau v letraz adieraz daiteke, edota vren berdina den beste edozein bektorez, eta bektore aske bat definitzen du.

1.2 irudia. v1 eta v2 bektoreak ekipolenteak edo geometriaren ikuspuntutik berdinak dira.
1.4 Bektore lerragarriak eta bektore finkoak
Badira beste baliokidetasun erlazio batzuek ere, eta hain zuzen, beste bektore mota batzuk definitzeko aukera ematen dute.
Modulu, norabide eta noranzko berdinak izateaz gainera, zuzen berean daudenean baizik berdinak ez direnei deitzen zaie, bektore lerragarriak. Esate baterako, 1.2 irudiko bektoreak, bektore lerragarritzat hartzen direnak, ez dira berdinak. Berdinak izateko, zuzen beraren gainean egon beharko lukete (1.3 irudia).
Bektore finkoak, berriz, modulu, norabide eta noranzko berdinak izateaz gainera, sorburu bera dutenean baizik berdinak ez direnei deitzen zaie. 1.2 eta 1.3 irudietako bektoreak, adibidez, finkotzat hartzen diren arren, ez dira berdinak; berdinak izateko sorburu berbera izan behar lukete, eta beraz, bektore berak ordezkatu beharko lituzke.
Kontuan izan bektore lerragarri eta finkoentzat egin diren berdintasun definizioek betetzen dituztela bektore askeek betetzen dituzten hiru legeak ere: erreflexibotasuna, simetrikotasuna eta iragankortasuna.

1.3 irudia. v1 eta v2 bektoreak, zeinak bektore lerragarritzat hartzen diren, berdinak dira
1.5 Aurkako bektoreak
Bi bektore aurkakoak direla esaten da, modulu berdina, norabide berdina eta aurkako noranzkoak dituztenean (1.4 irudia) Honela adierazten da:


1.4 irudia. v1 eta v2 bektoreei, modulu eta norabide berdinak eta aurkako zentzuak dituztenean, aurkakoak deritzaie
1.6 Bektore batuketa
Izan bitez v1 eta v2 bektoreak (1.5 irudia).
Har dezagun puntu bat, edozein, O izenekoa eta jar ditzagun puntu horretan v1ren ekipolentea den
bektorea eta v2ren ekipolentea den
bektorea.
bektoreari,
zeinaren sorburua eta muturra lehenengoaren sorburua eta bigarrenaren muturra diren,
v1 eta v2 bektoreen batura geometrikoa deitzen zaio eta era honetan idazten da:

Eragiketa horri triangeluaren legea esaten zaio

1.5 irudia. v1 eta v2 bektoreen batuketa, triangeluaren legea erabiliz
v1 eta v2 bektoreak O sorburura eramaten badira (1.6 irudia) eta bektore horien gainean paralelogramo bat egiten bada, v1 eta v2ren sorburu beretik abiatzen den (esandako paralelogramoaren) diagonalak v1 + v2 batura adierazten du. Era horretan enuntziatutako bektore batuketari paralelogramoaren legea esaten zaio.

1.6 irudia. v1 eta v2 bektoreen batuketa, paralelogramoaren legea erabiliz
Oharra. Badira magnitude fisiko batzuk, zuzenki norabidedun baten bitartez era unibokoan adieraz
daitezkeenak izan arren, bektoreak ez direnak, paralelogramoaren legea betetzen ez dutelako.
Horren adibidetzat, toki aldatze angeluar finitoak aipa daitezke (toki aldatze angeluar infinitoraino txikiak bektoreak dira).
Eman dezagun
bektoreak 90 ° ko
biraketa adierazten duela x ardatzaren inguruan eta
bektoreak berriz 90ºko biraketa y ardatzaren inguruan. Baldin eta iraketa horiek bektoreak balira, hau izango genuke:
Hala ere, 1.7 irudian ikusten den bezala, (formula); a)n ikusten denez, lehenbizi
biraketa gertatzen da eta ondoren
biraketa, baina b)n aldiz,
lehenik
biraketa gertatzen da eta gero
biraketa.

1.7 irudia. Toki aldatze angeluar finitoak ez dira bektoreak, zeren
Behin bi bektoreren batuketa definituta dela, nahi den bektore kopuruaren batuketa defini daiteke.
Izan bitez, v 1, v 2, … v n nahi bezala kokatutako bektore batzuk (1.8 irudia). Irudian n=4 hartu da.
O izeneko sorburu bat, edozein, hartuta, egin dezagun OABC…, poligonoa zeinaren elkarren segidako aldeak,
OA, AB, …, hurrenez hurren, v 1, v 2, … bektoreen ekipolenteak diren. Poligonoa ixten duen
bektoreari, emandako v 1, v 2, …
bektoreen batura geometrikoa esaten zaio. Bektore hori v hizkiaz adierazten bada, hona zer dugun:

( zeinuak zera esan nahi du: ren eskuinean eta i=1 eta i=nren arteko balore guztietara hedatzen den batura dela)

1.8 irudia. OABC… poligonoa ixten duen v bektoreari, v1, v2, … bektoreen batura geometrikoa esaten zaio (poligonoaren legea).
O puntua arbitrarioa nola den, zenbait bektoreren batura geometrikoa bektore aske bat da.
1.7 Bektore baturaren legeak
Bektore baturak ondorengo lege hauek betetzen ditu:
a) Trukatze legea:

1.9 irudian garbi ikusten da: OA = v1 + v2 = v2 + v1.

1.9 irudia. Bektore baturak trukatze legea betetzen du.
b) Elkartze legea:

1.10 iruditik zera ondorioztatzen da:


1.10 irudia. Bektore baturak elkartze legea betetzen du.
1.8 Bektore baliogabea
Bektore bat baliogabea dela esaten da modulua zero denean, edota sorburua eta muturra bat direnean. 0 idazkeraz idazten da.
Beraz:

Bektore baliogabea bektore baturako elementu neutroa da.
1.9 Bi bektoreren arteko kenketa
Izan bitez v1 eta v2 bi bektore aske (1.11 irudia). Definizioz, v2 - v1 kendura, v bektore aske bat da, zeina

- v1 batzen bazaie eskuineko bi bektoreei, zera ateratzen da:

Eta beraz:

alegia, v2 - v1 kendura, v2 + (- v1) baturaren berdina da

1.11 irudia. Bi bektoreren kendura, v2 - v1, v2 bektoreari, v1 bektorearen aurkakoa den - v1 bektorea batuta lortzen da
1.10 Bektore aske baten eta eskalar baten arteko biderketa
v bektore aske baten eta
0 zenbaki erreal baten arteko biderkadura, ondoren adierazten diren mugak dituen u bektore askea da:
a) vren paraleloa izatea; b) bere modulua, vren modulua
ren balio abslolutuaz biderkatuta ateratzea,
eta c) vren noranzko berbera izatea,
zenbakia positiboa bada eta aurkako noranzkoa negatiboa bada (1.12 irudia).
Horrela definitzen da
zenbaki erreal batek eta v bektore batek osatutako parea elkartzen dituen korrespondentzia: u bektorea, alegia.
Eragiketa hori, kanpo osaketako lege bat da, bektore askeen multzoaz kanpoko elementuek hartzen baitutue parte,
kasu honetan zenbaki errealek. u bektorea ondorengo idazkeraz adierazten da:


1.12 irudia. ?v bektoreak vren noranzko berbera izango du positiboa bada eta aurkakoa negatiboa bada.
Oro har,
bektorea v bektorearen izaera desberdinekoa izango da eta bestelako dimentsio ekuazioa izango du,
eskalarraren dimentsioak baliogabeak direnean izan ezik. Adibidez, a azelerazioa m masaz biderkatzen bada,
F indar bihurtzen da. Ohar gaitezen, orobat, bektore bat l eskalarraz zatitzeko eragiketa,
bektore hori eskalarraren alderantzizko zatikiaz,
biderkatzea bezala dela.
Bektore baten eta eskalar baten biderkadurak ondorengo lege hauek betetzen ditu:

Lehen legea, bektore paraleloen batuketaren definizioaren ondorio da, eta bigarrena berriz, antzeko poligonoen aldeen arteko proportzionaltasunaren ondorio (1.13 irudia).
ekuazioa horrela ere idaz daiteke:

eta norabide bereko bi bektoreren arteko zatidura definitzen du. Bi bektoreek noranzko berdina badute l eskalarra positiboa izango da eta desberdina badute negatiboa. Noranzko desberdinetako bi bektoreren arteko zatidura ezin daiteke definitu.

1.13 irudia. Antzeko poligonoen aldeen arteko proportzionaltasunak zera erakusten du:

1.11 Unitate bektorea
Bektorearen modulua bata baldin bada, unitate bektorea deitzen zaio. Baldin eta v, v 0 balioko modulua duen bektorea bada, v/v = e, vren norabide eta noranzko berdinak dituen banako bektorea da. Beraz:

Kontuan hartu behar da unitate bektore batek ez duela dimentsiorik, beste luzera batez zatitutako luzera bat baita
1.12 Bektore baten proiekzioa ardatz batekiko
1.16 irudian, v bektore arbitrario bat da eta e banako bektorearekin
angelua eratzen du.
e banako bektorearekiko vren osagaia deitzen zaio eren lerroaren gaineko vren proiekzioaren luzerari, hau da:

e unitate bektore batekiko zenbait bektoreren baturaren osagaia, dagozkien unitate bektoreen batura aljebraikoaren berdina da. 1.17 irudian ikusten dira argi hiru bektoreren kasuak.

1.13 Koordenatu sistemak
Esaten da koordenatu angeluzuzenezko sistema bat, zuzenekoa, positiboa, edo eskuinbirakaria dela, torloju bat xy planoan normal jarrita, x ardatzaren parte positiboa, y ardatzaren parte positibo aldera biratzean, ahalik eta angelu txikiena eratuz, torlojuak aurrera egiten badu z ardatzaren noranzko positiboan (1.18 irudia). Aurkako koordenatu sistemari, alderantzizkoa, negatiboa, edo ezkerbirakaria deitzen zaio (1.19 irudia).

1.18 irudia. Koordenatu sistema zuzenekoa, positiboa edo eskuinbirakaria

1.19 irudia. Koordenatu sistema alderantzizkoa, negatiboa edo ezkerbirakaria.
Bektore kalkuluko oinarrizko zenbait ekuazio, espazioko orientazioa aldatzean aldatu egiten direnez, aurrerantzean, koordenatu sistema zuzenekoa erabiliko dugu.
Komenigarria da, era berean, ardatz bakoitzaren gainean unitate bektore bat jartzea, ardatzen alde positiboan. Unitate bektore horiek i, j, eta k letrez adierazten dira eta 1.20 irudian azaltzen dira.

1.20 irudia. x, y, eta z ardatzetako unitate bektoreak, i, j, eta k letrez izendatzen dira, hurrenez hurren
1.14 Bektore baten osagaiak
Har dezagun v bektore bat, edozein, eta ezar dezagun, erosotasunagatik, koordenatu angeluzuzenezko sistema baten sorburuan (1.21 irudia). Bektoreen batura legearen, eta bektoreen eta eskalarren arteko biderkadura legearen indarrez, hau ateratzen da:
direlakoei, v bektorearen osagai eskalarrak eta osagai bektorialak deitzen zaien, hurrenez hurren.

1.21 irudia. O puntuan ezarritako v bektorearen osagai eskalarrak eta bektorialak
1.23 ekuazioaren arabera, espazioko edozein bektore, i, j, k banako bektoreen konbinazio lineal gisa adieraz daiteke era unibokoan*.
v bektorearen modulua Pitagorasen teorema aplikatuta jakiten da:

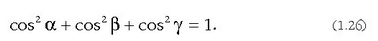
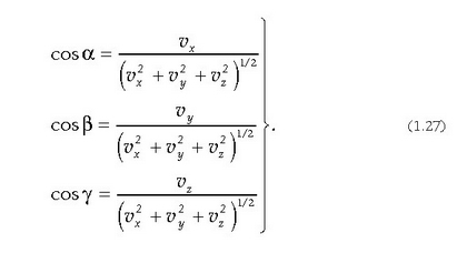
v bektoreak koordenatuen ardatzen norabide positiboekin, a, ß, y angeluak eratzen baldin baditu

non, cos a, cos ß eta cos y-ri, v bektorearen kosinu zuzentzaileak esaten zaien.
1.25 adierazpenak berretu eta batuta, eta 1.24 kontuan harturik, ondorio hau ateratzen da:

bektore baten kosinu zuzentzaileen harteko harremana eratzen duen oinarrizko erlazioa, alegia.
1.24 eta 1.25 ekuazioetatik ondorengo hau ere ondorioztatzen da:

Hortaz, behin bektore baten osagaiak ezagututa, kalkula daitezke haren modulua, norabidea eta noranzkoa (kosinu zuzentzaileen bitartez). Bektore bat, beraz, bere osagaiek mugatzen dute.
* Baldin v1, v2,....., vn, n bektore ez baliogabeak badira,
baturari, non
eskalarrak diren, vi bektoreen konbinazio lineala deitzen zaio
1.15 Bektore batuketa baten osagai eskalarrak
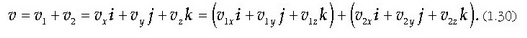
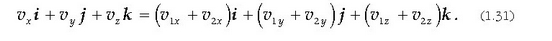
Har ditzagun bi bektore, v1 eta v2, beren osagaiak, hurrenez hurren, (v1x, v1y, v1z) eta (v2x, v2y, v2z) dituztenak. Orduan

Ekuazio horiek batuta, hona zer ateratzen den:

eta banatze legeari jarraituz:

Beraz:

Emaitza hori edozein bektore kopurutara heda daiteke
1.16 Bektorearen axioma definizioa
Lehenago ere esan da, izaera geometrikoa edo fisikoa duen magnitude norabidedun orori bektore deitzen zaiola, izaera bereko beste batekin batu baldin badaiteke paralelogramoaren legea betez.
Ondoren, geometriara jo beharrik gabe definituko da v bektore bat: hiru dimentsiotako espazio batean, ordena jakin batean kokatutako v1, v2, v3 hiru zenbaki errealen multzo gisa, alegia. Adibidez, lerro bat eratuz koka daitezke (hiru zutabeko lerro matrizea):
(v1, v2, v3 ); edo zutabe batean (hiru lerroko zutabe matrizea):

Hala komeni delako, vx, vy, vz idatzi ordez v1, v2, v3 idatzi da
Hiru dimentsiotako v = (v1, v2, v3) bektorean, vi zenbaki errealari, v bektorearen osagai i-garrena deitzen zaio. Ohar gaitezen baduela bere garrantzia osagaien ordenak, zeren, adibidez

Koordenatu sistemak desberdinak direnean, zenbaki erreal desberdinek osatutako hirukoteek adieraziko dute bektore bera. Horregatik, koordenatu sistema aurretik zehaztu ez bada,(v1, v2, v3) hirukoteak ez du adierazten bektore jakin bat. Hirukote horrek koordenatu sistema bakoitzarentzat bektore bana definituko du.
Baldin eta u, (u1, u2, u3) osagai errealak dituen bektorea bada, eta v, (v1, v2, v3) osagai errealak dituena, orduan
a) u = v esan nahi du u1 = v1, u2 = v2, u3 = v3 (bektore berdintasuna);
b) u + v = (u1 + v1, u2 + v2, u3 + v3) (bektore batuketa);
c) Baldin eta
zenbaki erreala bada,
orduan
(bektore baten eta eskalar baten biderketa);
d) - v esan nahi du (-1)v = (-v1, -v2, -v3) (bektore baten balio negatiboa);
e) 0 = (0,0,0) (bektore baliogabea).
Aipatu diren lege horiek betetzen dituzten bektore guztiek osatutako multzoari hiru dimentsiotako bektore espazioa deitzen zaio. Ondorengo lege hauek ditu:
Batuketa:
a) u + v = v + u (trukatze legea)
b) (u + v) + w = u + (v + w) (elkartze legea)
c) v edozein bektore izanda, bada bektore baliogabe bat, 0 zeinuaz adierazten dena, eta v + 0 = v betetzen duena.
d) v edozein bektore izanda, bada -v bektore bakar bat, aurkako bektorea deritzaiona, eta v + (-v) = 0 betetzen duena.
Bektore baten eta eskalarraren arteko biderketa:
edozein eskalar izanda, eta v edozein bektore, bada 1v bektore bat,
ren
eta vren biderkadura dena eta ondorengo lege hauek betetzen dituena:

Axioma definizio hau garrantzi handikoa da, zeren bektorearen ideia geometrikoa zabaldu egiten baitu. Aurreko eragiketa horiek betetzen dituen edozein elementu multzo, E bektore espazioa izango da eta bere elementuak bektoretzat hartu ahal izango dira
1.15 Koordenatuen eraldatzea
Bektoreek eta berorien arteko eragiketek berezko esanahia dute,
erabilitako koordenatu sistemarekin zerikusirik ez duena.
Berezko emaitza hori begibistan geratzen da bektoreak era geometrikoan definitzen direnean,
baina ez da hain argia gertatzen bektoreen osagaietatik abiatuta era analitikoan definitzen badira.
Eman dezagun, esate baterako, v x eta v y, xy planoan dagoen v bektore baten osagaiak direla.
Baldin
zenbaki erreal finko bat bada,
beste bektore bat izango da,
eta
osagaiak dituena, zeren eta, x', y' deituko diogun beste koordenatu sistema batean, vren osagaiak v x'
eta v y' izango lirateke, eta lv bektorea,
eta
osagaiak dituena alegia,
lehengo bera da (1.22 irudia).

1.22 irudia, v bektorea eta
bektorea ez daude erabilitako koordenatu sistemaren mende.
Hala ere,
osagaiak dituen beste bektore bat definitu nahi balitz, definizioa ez litzateke zuzena izango,
zeren bektorehori koordenatu sistemaren mende baitago (1.23 irudia). v x’ eta v y’ osagaiak dituen v
bektorea, ez da, oro har, lehengo bera.

1.23 irudia. vx + eta vy + osagaiak dituen bektore baten definizioa ez da onargarria, zeren osagai horiek, beste bektore bat emango bailukete beste koordenatu sistema batean
Ikusten da, hortaz, bektore bat bere osagaietatik abiatuta definitzen denean –eta beraz, koordenatu sistema jakin bat tartean denean– definizioa zuzena izango bada, nahitaezkoa dela frogatzea emaitza beti berbera dela, erabilitako koordenatu sistema edozein dela ere.
Ondoren, bektorearen definizio analitikoa –bere osagaietatik abiatuta– onargarria izango bada, bete beharreko baldintza nahitaezkoa eta nahikoa zein den azalduko da.
Eman dezagun, arazoa erraztearren, koordenatu angeluzuzenezko bi sistema ditugula O sorburu berbera dutenak. Baldin eta P, sistema bakoitzean (xy) eta (x’y’) koordenatuak dituen planoko puntu bat bada (1.24 irudia), zera dugu:

non Ø errotazio angelua baita. (Ohar gaitezen bi sistemetan x ardatzetik x’ra eta y ardatzetik y’ra, noranzko berean biratzen dela, hau da, errotazio bat dela.)

1.24 irudia. Planoko P puntu baten koordenatuak, sorburu bera duten koordenatu angeluzuzenezko bi sistemetan
Izan bedi v, bektore bat, edozein. 1.25 irudian ikusitako bi sistemetan, zera beteko da:

Ikusten da, beraz, 1.33 eta 1.34 formulek, Pren koordenatuetarako eta vren osagaietarako, hurrenez hurren, itxura berbera dutela. Beraz, vx, vy, vz, izeneko hiru eskalar, bektore baten osagaiak izateko baldintza nahitaezkoa eta nahikoa zera da, sorburu bereko koordenatu ortogonalak aldatzean, esandako osagaiak, puntu baten koordenatuak aldatzean betetzen diren formula berberen arabera aldatzen direla.

1.25 irudia. Planoko bektore baten, edozeinen, osagaiak, sorburu bera duten koordenatu angeluzuzenezko bi sistemetan
1.18 Biderkadura eskalarra
u eta v izeneko bi bektoreren biderkadura eskalarra, bektore horien moduluak bider eratzen duten angeluaren kosinua eginda ateratzen den biderkadura da (1.26 irudia). Egiunez, bi bektoreen artean puntu bat ezarriz adierazten da. Hortaz:

non øk, uk eta vk eratutako (0 Ø ) angelua adierazten duen. Biderkadura eskalarra, beraz, zenbaki bat da, eta bektoreren bat baliogabea ez bada, positiboa, zero edo negatiboa izango da, hurrenez hurren, ø angelua zorrotza, zuzena edo kamutsa izan.

1.26 irudia. Bi bektoreren biderkadura eskalarra, bektoreen moduluak bider eratzen duten angeluaren kosinua biderkatuta ateratzen den eskalarra da.
Nola v cos ø = vu eta u cos ø = uv e betetzen diren, beste modu batera ere defini daiteke biderkadura eskalarra: bektore baten eta beste bektoreak lehenengoan duen proiekzioaren arteko biderkadura, alegia.
a) Biderkadura eskalarra trukakorra da:

Biderkadura eskalarraren definiziotik ondorioztatzen da, kontuan hartuta cos ø = cos (u, v) = cos (v, u).
b) Baldin ? zenbaki erreala bada, ondorengo hau betetzen da:

Aurreko adierazpenen froga berehalakoa da.
c) Biderkadura eskalarra banakorra da batuketari buruz:

Izan ere, u, v eta u + v wn proiektatuta (1.27 irudia) zera ateratzen da:


1.27 irudia. Biderkadura eskalarrak banatze legea betetzen du
Berdintasun horretako bi aldeak wz biderkatuta, eta biderkadura eskalarraren definizioa kontuan harturik, zera ondorioztatzen da:

zeinak 1.38 ekuazioa frogatzen baitu.
d) Nola
ez den definitu (puntua ez da bektoreen artean baizik erabiltzen) elkartze legea ez dago kontuan ere hartzerik.
Ohar gaitezen, hala ere, ondorengo hau betetzen dela, oro har:

e) u eta v elkarzutak baldin badira, cos ø = 0 denez, zera ateratzen da:

Hortaz, bi bektore ez baliogabe elkarzutak izateko baldintza nahitaezkoa eta nahikoa zera da, bien biderkadura eskalarra zero izatea.
Ohar gaitezen biderketa arruntean, uv = 0 adierazpenak bietako faktore bat zero dela esan nahi badu ere, bi bektoreren arteko biderkadura eskalarrean, u• v = 0 ekuazioak zera esan nahi duela: u = 0 dela, v = 0 dela, edota bi bektoreak elkarzutak direla.
Bereziki, i, j, k unitate bektoreetarako, ondoko hau betetzen da:

f) u eta v paraleloak baldin badira, cos ø = 1 denez, zera ateratzen da

bektoreak noranzko berekoak ala aurkakoak izan.
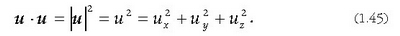
Bereziki, baldin u = v bada, ondoko hau dugu:

Ondorioz, bektore bat bektore berorrez biderkatu izanaren biderkadura eskalarra, bektore horren moduluaren karratua da.
Bereziki, i, j, k unitate bektoreetarako, ondoko hau dugu:

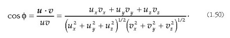
g) Adierazpen analitikoa. u eta v bektoreak, beren koordenatuen bidez definitzen badira:

orduan

eta aurreko legeak kontuan hartuta, ondoko hau idaz daiteke:

Beraz, bi bektore askeren arteko biderkadura eskalarra dagozkien koordenatu angeluzuzenen biderkaduren baturaren berdina da.
BI BEKTOREREN ANGELUA. 1.35, 1.45, eta 1.49 ekuazioetatik, hau ondorioztatzen da:

Kasu berezi gisa, ondorengo elkarzutasun baldintza lortzen da, u eta v bektore askeentzat:

1.19 Bektore biderkadura
u eta v izeneko bi bektoreren bektore biderkadura, w izeneko beste bektore bat da, zeinaren modulua, hasierako bektoreen moduluak, euren artean eratzen duten angeluaren sinuaz biderkatuta ateratzen den; norabidea, bi bektoreek zehaztutako planoaren zuta den; eta noranzkoa, u, v, w triedroaren orientazioa zuzena izateko modukoa den (1.29 irudia).

Oharra. Izan bitez
eta
koordenatu sistema zuzen bateko A eta B puntuen posizio bektoreak.
Alderantzizko koordenatu sistema batean (i = - i, j = - j, k = - j, k = - k) esandako bektoreen osagaiek (koordenatuek) zainua aldatzen dute.
batean ( i =-i, j =-j, k =-k) esandako bektoreen osagaiek ( koordenatuek
) zeinua aldatzen dute. rA x rB bektorearen osagaiek, ordea , ez dute alderanzketan zeinua aldatzen. Alderanzketan zeinua
aldatzen ez duten bektoreei, ardatz bektoreak edo sasibektoreak
deitzen zaie. Bektore biderkadura, beraz, ardatz bektorea da.
Bektore biderkadura, bi bektoreen artean x zeinua sartuz adierazten da. Hortaz:

non, e, u eta v dituen planoari buruzko banako bektore normala den, eta ø, esandako bektoreek eratzen duten angelua den.
1. 52 berdintasunetik ondorioztatzen da, orobat, bektore biderkaduraren modulua, u eta v bektoreak aldetzat dituen paralelogramoaren gainaldearen berdina dela.
a ) Bektore biderkadura ez da trukakorra, izan ere, 1. 52 ekuazioan u eta v tokiz trukatzen badira, nahiz eta moduluak ez zaizkien aldatzen, wren noranzkoa aurkakoa bihurtzen baita. Hortaz:

Batzuetan esaten da, bektore biderkadura trukakortasunaren aurkakoa dela.
b ) Bektore biderkadura ez da elkarkorra, hau da, oro har:

Eman dezagun, u = v dela eta w ez dela uren paraleloa. Kasu horretan, u x v 0 bektorea izango da, eta baita (u x v) x w bektorea ere. Hala eta guztiz ere, v x w bektorea ez da zero, eta u bektorearen zuta da. Hortaz, u x (v x w) ez da zero bektorea ere. Hala eta guztiz ere, v x w bektorea ez da zero, eta u bektorearen zuta da. Hortaz, u x (v x w) ez da zero bektorea.
Hori dela eta, bektoreak biderkatzean, arreta berezia izan behar da bektoreen ordena eta parentesien kokalekua ez aldatzen.
c) Baldin
zanbaki erreala bada, onodregoa betetzen da:

erraz frogatzen den bezala.
d) Bektoreen biderkadura banakorra da batuketari buruz:

Lege hau frogatzeko, bektore biderkaduraren ondorengo irudikapen geometrikoa egingo dugu:
Marraz ditzagun, On sorburua dutela, u eta v bektoreak eta u bektorearen zuta den p planoa (1.30 irudia). Hurrena, ondorengo hiru eragiketa hauek egingo ditugu: 1) v bektorea proiektatu p planoan;

1.30 irudia. uv2 bektorea bat dator v x u bektore biderkadurarekin
2) lortutako bektorea, v1, 90°ko angeluan biratu p planoari buruz, v1, v2 eta uk triedro zuzen bat osatu arte; eta v2 bektorea uz biderkatu. Lortzen den bektorea, uv2, v x u bektorearekin bat dator.
Har ditzagun orain, v eta w bektoreak, eta berorien batuketa, v + w (1.31 irudia). Bi bektore horiek uren normala den plano batean proiektatzen badira, v1, w1 (v + w)1 bektoreak lortzen dira, (v + w)1 = v1+ w1 dela

1.32 irudia. v1, w1 eta (v + w)1 bektoreen bira uren inguruan, noranzko zuzenean eta 90°ko angeluan
Hiru bektoreak, v1, w1 eta (v + w)1, uren inguruan biratuz, alderantzizko noranzkoan eta 90°ko angeluan (1.32 irudia), orduan, bektore biderkaduraren aurreko interpretazioaren arabera, ondoko hau ateratzen da:

frogatu nahi zen bezala.
e) Baldin u eta v elkarzutak badira, nola sen ø = 1 den, zera ateratzen da:

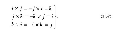
Bereziki, i, j, k unitate bektoreetarako, ondoko hau betetzen da:


1.33 irudia. i, j, k koordenatu ardatzetako banako bektoreetarako 1.59 eta 1.62 ekuazioak betetzen dira
f) u eta v paraleloak direnean, e definitu gabe dago. Kasu horretan:

Gainera u eta v zero ez baldin badira, orduan ø = 0 denean soilik izango da u x v = 0. Hortaz, zero ez diren bi bektoretarako, zera ateratzen da:

u eta v paraleloak baldin badira. Bereziki, u x u = 0. i, j, k banako bektoreetarako, ondoko hau betetzen da:

g) Adierazpen analitikoa. u eta v bektoreak beren osagai angeluzuzenen arabera idazten badira, zera ateratzen da:

Eta beraz:

eta aurreko legeak kontuan hartuta:

Hirugarren mailako determinanteak garatzeko araua gogora ekarriz, aurreko adierazpena, beste modu honetara ere idatz daiteke:

1.20 Area laua bektore gisa
Badakigu u x v bektore biderkaduraren magnitudea uv senø dela, hau da, u eta v aldedun paralelogramoaren eta ø angeluaren area. Bektore biderkaduraren definizioak nola ez duen zehazten gainaldearen forma, edozein area lau adieraz daiteke bektore baten bidez.
Har dezagun A izeneko gainalde lau bat, eta emagun gainalde horren perimetroa noranzko jakin batean korritzen dela (1.34 irudia).

1.34 irudia. A gainalde laua, A bektorearen bidez adieraz daiteke.
Esandako gainaldea A bektorearen bidez adieraz daiteke: bektorearen magnitudea gainaldearen arearen berdina izango da; norabidea, gainaldearen zuta; eta noranzkoa, Aren perimetroak egiten duen ibilbidearen berdina, torlojuaren araua jarraituz, hau da, torloju batek aurrera egingo lukeen noranzkoa, torlojuaren burua perimetroaren noranzko berean biratzen denean.
BIDERKADURA KONPOSATUAK
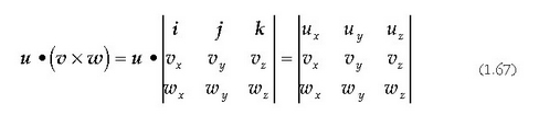
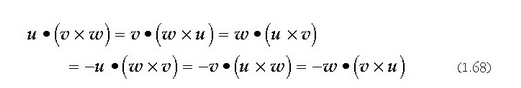
1.21 Biderkadura mistoa
u, v, w izeneko hiru bektoreren biderkadura mistoa, u·(v x w) eskalarra da, eta (u v w) adierazten da. u·(v x w) adierazpeneko parentesia ez da beharrezkoa, zeren (u·v) x w adierazpenak ez baitu ezer esan nahi.
Hiru bektoreen osagaien arabera, zera ateratzen da:

alegia, biderkadura mistoa, hain zuzen, hiru bektoreen osagaiek eratutako determinantearen garapena da.
Hala ere, nola determinante baten zeinua aldatu egiten den bi lerro trukatzen direnean, ondoko hau ateratzen da:

hau da, biderkadura mistoa ez da aldatzen, bektoreak zirkuluan permutatu arren. Beraz, biderkadura mistoan, truka daitezke puntua eta ixa.
Interpretazio geometrikoa. Biderkadura mistoa geometriatik interpretatzeko, eraman ditzagun u, v, w bektoreak sorburu berera (1.35 irudia).

1.35 irudia. Hiru bektoreren biderkadura mistoa hiru bektoreak sorburu berean ezarri eta eratutako paralelepipedoaren bolumenaren berdina da; (u v w) triedroa zuzena da
(u v w) adierazpenak, bektoreak ertz gisa hartuta osatutako paralelepipedoaren bolumena adierazten du, zeren |v x w|, v eta w bektoreek eratutako paralelogramoaren area baita, eta ø baldin bada, v-k eta w-k mugatutako planoaren normalarekin u bektoreak eratzen duen angelua, orduan |v x w|u cosø izango da paralelepipedoaren bolumena, u cosø izanik altura.
Bereziki, i, j, k unitate bektoreetarako, ondoko hau betetzen da:

Ohar gaitezen, (u v w) positiboa bada, uk (v x w)rekin eratzen duen angeluak 90°z azpitikoa izan behar duela, eta, beraz, u v w triedroak, i, j, k funtsezko triedroaren orientazio berbera izango du. (u v w) negatiboa baldin bada, aurkakoa gertatzen da (1.36 irudia).
Geometriatik egindako interpretazioaren –edo bere definizioaren– berehalako ondorioa zera da: hiru bektore ez baliogabe u, v, w plano berekoak izateko baldintza nahitaezkoa eta nahikoa, bektore horien biderkadura mistoa baliogabea izatea da.

1.36 irudia. Biderkadura mistoa zero baino txikiagoa bada, ø angeluak 90° baino handiagoa izan behar du eta (u v w) triedroa alderantzizkoa da.
Orobat, hiru bektoreetatik bi, edozein, berdinak badira, biderkadura mistoa baliogabea da; paralelepipedoaren bolumena ere, beraz, baliogabea izango da.
1.22 Bektore biderkadura bikoitza
u, v, w izeneko hiru bektoreren bektore biderkadura bikoitza, u x (v x w) adierazpena da. Hemen nahitaezkoa da parentesia. u x (v x w) bektorea v eta w bektoreek mugatutako planoan dago, zeren v x w esandako planoaren normala da eta nola u x (v x w), v x wren normala den, u x (v x w) bektoreak v eta wren planoan egon behar du nahitaez (1.37 irudia).

1.37 irudia. Hiru bektoreren bektore biderkadura bikoitza, u x (v x w), v eta w bektoreek mugatutako planoan dagoen bektore bat da
Baina nola v eta wren planoan kokatutako edozein bektore, u x (v x w), berorien konbinazio lineal gisa adieraz daitekeen, hau ateratzen da:

eta
mugatzeko, aukera dezakegu, orokortasuna galdu gabe, koordenatu sistema bat, x eta y ardatzak v, w planoan daudena,
norabidea x ardatzarena duena, eta noranzkoa w bektorearena. Hona zer dugun:

Eta beraz:

edota

Ondoren uxvxwxi bektorea batu eta kentzen bazaio, ondoko hau ateratzen da:

hau da:

Ikusten da, bada, l1 eta l2 koefizienteak, v·w eta -(u·v) biderkadura eskalarrak direla.
Horren antzera, beste hau lortzen da:

Ohar gaitezen, bektore biderkadura bikoitzean parentesiaz kanpora dagoen bektorea, parentesiaren barruan dagoela garapeneko bi gaietan, eta garapeneko gai positiboak barruan duela bektor e biderkadura bikoitzean agertzen diren muturreko bektoreen biderkadura eskalarra
BEKTORE FUNTZIOEN DERIBAZIOA ETA INTEGRAZIOA
1.23 Bektore baten deribatua eskalar bati buruz
Izan bedi v, 0 sorburu finkoa duen bektore bat (1.38 irudia). Eman dezagun bektore hori, t aldagai eskalar baten (denbora, adibidez) mendean dagoela eta t era jarraituan aldatzean, vren muturrak C kurba bat marrazten duela espazioan. Kasu horretan esaten da, v bektorea t-ren funtzio jarraitua dela.

1.38 irudia. t parametro eskalarraren funtzio jarraitua den v bektorearen deribatua.
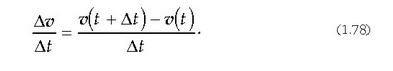
Izan bitez v(t) eta (formula), aldagaiaren t eta (formula) balioei dagozkien bi bektoreak. v(t) bektoreak izandako gehikuntza ondorengo bektore diferentzia da:

Gehikuntza horren eta aldagai eskalarraren gehikuntzaren arteko erlazioa beste bektore bat da:

Honek
norabide eta noranzko berberak ditu baina modulu desberdina.
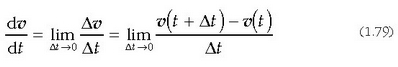
Orain
-k zerorantz jotzen badu
zatidurak balio
limite baterantz joko du eta balio limite horri, definizioz, t aldagaiari buruzko v bektorearen deribatua esaten zaio,
eta dv/dt idazten da. Beraz:

limiterik baldin bada. dv/dt baliogabea ez bada deribatu bektorea C kurbaren ukitzailea izango da.
Modu beretsuan definitzen da vren bigarren deribatua. Horregatik:

eta hori ere t aldagai eskalarraren bektore funtzio bat da
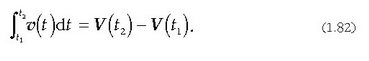
1.24 Bektore funtzioen integrazioa
esan dezagun V(t), v(t)ren integrala dela, baldin dV/dt = v bada, eta hona nola idazten den:

Integral honi mugagabea esaten zaio, bektore konstante arbitrario bat erantsi daitekeelako.
Integral mugatua batura baten limiteak mugatzen du. Baldin dV/ dt = v bada, tren balio guztientzat (t1, t2 ) tartean, orduan:

1.25 Baturen eta biderkaduren deribatuak
t eskalarrari buruzko bektore baten deribatuak ondorengo lege hauek betetzen ditu, erraz froga daitekeen bezala:

1.85 eta 1.86 ekuazioak frogatzea, funtsean, bektoreen eta eskalarren biderkaduren banatze legearen mende dago. Kontuan izan behar da, 1.86 ekuazioan, u eta v bektoreen ordena berbera dela gai guztietan, izan ere, ikusi dugun bezala, u x v ez baita v x uren berdina.