Matematika»Analisiak

Jatorrizkoak eta integralak

Integrazioa, hasiera hasieratik, barruti baten azaleraren edo kurba baten luzeraren kalkuluarekin erlazionaturik egon zen. XVII. mendearen bukaeran sortu zen, batez ere Leibniz eta Newtonen aurkikuntzei esker. Bakoitzak bere aldetik lan eginez, eta sarritan elkarren aurka ibili arren, hemen ematen diren emaitzetara iritsi ziren. Integrazioaren tasun eta arauak Newtonek lehenago aurkitu bazituen ere, gaur egun erabiltzen den notazioa Leibnizengandik dator. Teoria hauetara iristeko, XVII. mendean zehar Kepler, Fermat, Cavalieri eta beste matematikari batzuk, Arkimedesek (K. a. 111. m.) lortutako emaitzaz baliatu ziren.Lehen aro hau pasa ondoren ere luzaroan izan ziren integrazioak ikerketagai. XIX. mendean, integral kontzeptuaren definizio zehatz bat eman beharraren arazoari irtenbidea eman zitzaion. Gaur egun definizio honen oinarri diren ideia gehienak Riemann (1826- 1866) alemaniarrak aurkitu zituen, nahiz eta oinarrizko matematikatan erabiltzen dena Darboux (1842-1917) frantziarrarena izan.

Definitutako tartean, funtzioak jarraitasun uniformea duenean, definizio hau erraza da, baina etenguneak dituzten funtzioei aplikatzerakoan korapilatu egiten da. Integrazioaren teoriaren inguruan geroago egin diren lanak, definizio hau orokortzera jo dute, gero eta irregularrago diren funtzioetarako baliagarria izan dadin.

Stieljes (1856-1.894) holandarrak, eta batez ere Lebesgue (1.875- 1.941) frantziarrak, integralaren ideia hobetu dute, topologian eta neurriaren teorian izandako aurrera pausoak bereganatuz. Bestalde, XVIIL mendeaez geroztik jakina da integrazioa deribazioaren alderantzizko eragiketa dela. Integrala definitzeko era hau, bere aplikazioengatik oso urruti dago, baina errazagoa da, eta berari esker, integralak errazago kalkula daitezke. Gai honetan integralak era honetara azalduko dira, eta integral mugagabeak landuko dira.

Hurrengo gaian berriz, integralaren eta azalera edo desplazamenduaren arteko erlazioa eta integral mugatuaren definizioa landuko dira.

 

I. Funtzio baten jatorrizko funtzioa

tarte itxi batean definitutako f(x) edozein funtzio emanda, f(x) funtzioaren jatorrizkoa, F(x) beste funtzio bati esaten zaio, non tarte horretan, F(x) funtzioaren deribatua f(x) den. Hau da, [a,b] tarteko x guztientzat F(x) = f(x) da.? Adibideaksin x funtzioa cos x funtzioaren jatorrizko bat da, izan ere, (sin x)' = cos x da.funtzioa,funtzioaren jatorrizko banda, izan ere ,da.ex funtzioa bere jatorrizko bat da, izan ereda.funtzioaren deribatuada. Horrela,funtzioa

 

Funtzio baten jatorrizkoen tasunak

 

Lehenengo tasuna

F(x) funtzioa f(x) funtzioaren jatorrizko bat bada, eta K konstante bat bada, F(x) + K funtzioa f(x)-en beste jatorrizko bat da.

463Frogapena:Funtzioen baturaren deribatua funtzioen deribatuen batura, eta konstante baten deribatua beti zero dela gogoan izatea nahikoa da.? Adibidea1. Bila itzazufuntzioaren hiru jatorrizko.Ebazpidea :funtzioaren jatorrizko batda.-ren hiru jatorrizko, adibidez, hauek dira :

 

Bigarren tasuna

Funtzio batek jatorrizko bat badu, orduan, infinitu jatorrizko ditu.Frogapena :F(x) funtzioa f(x)-en jatorrizko bat bada,

 

Hirugarren tasuna

Funtzio bereko bi jatorrizkoren arteko aldea, konstante bat da.

Hau da, F(x) eta G(x) funtzioak f(x) funtzioaren bi jatorrizko badira, orduan, F(x) - G(x) = K = konstantea da.Frogapena :Edozein tartean definitutako f(x) funtzio baten deribatua, tarteko puntu guztietan, zero bada, orduan f(x) konstantea dela kontuan hartu behar da; hau da, f '(x) = 0 bada orduan f(x) = K dela.Hau horrela izanik,F(x) funtzioa f(x)-en jatorrizko bat bada, F' (x) = f(x) izango da, etaG(x) funtzioa f(x)-en beste jatorrizko bat bada, G' (x) = f(x) izango da.Atalez-atal kenketa eginez,

 

I I. Funtzio baten integral mugagabea

f(x) funtzio baten integral mugagabea, f(x) funtzioaren jatorrizko guztien multzoari esaten zaio. Horrela adierazten da:Espresio hau honela irakurtzen da : "efe ixa diferentzial ixaren integrala"Jatorrizko funtzioaren tasunak direla eta, F(x) funtzioa f(x) funtzioaren jatorrizko bat bada,da, K integrazio-konstantea delarik.Batzutan aldagaia adierazteko beste letra edo hizki bat erabiltzen da ; adibidez :edo? Adibideak1. Bila ezazuEbazpidea :cos x funtzioaren jatorrizko bat sin x denez,2. Bila ezazuEbazpidea :funtzioaren jatorrizkoabera denez,3. Bila ezazuEbazpidea:funtzioa-ren jatorrizko bat denez,

 

I I I. Integralen kalkulua. Integral berehalakoak

Edozein funtzioren integrala ebatzita dago integratu behar den funtzioaren jatorrizko bat ezagutzen denean. Jatorrizko bat bilatuz gero, jatorrizko horri konstante bat gehituz ateratzen da integral orokorra.Integrazioa deribazioaren alderantzizko eragiketa denez, oinarrizko funtzioen funtzio deribatuen integralak berehala bilatzen dira.

Baina, zoritxarrez, edozein funtzioren integrala ezin da, deribazioan gertatzen den bezala, oinarrizko funtzio batzuen integralak ezagutuaz eta arau batzuk erabiliz kalkulatu.Integrala kalkulatzeko, integral berehalakoak eta funtzioen baturaren integralak eta konstante eta funtzio arteko integralak betetzen dituzten arau orokorrak ezagutzeaz gain beste metodo batzuk ezagutu behar dira. Integralak berehalakoak ez direnean, edo arauak erabiliz berehalako bihurtu ezin direnean, aldagai-aldaketaren metodoa edo zatikako integrazio metodoa erabili daiteke. Metodo bat edo beste, zein erabili behar den jakiteko, ez dago araurik, eta metodo hauekin funtzio denak integratu daitezkeenik ere ezin da ziurtatu. Integrazio metodoa, integratu behar den funtzioaren arabera dago.Gai honetan, besteak beste, funtzio razionalen integrazioa,

 

Integral berehalakoak

Oinarrizko funtzioen deribaziotik abiatuz, integral berehalako deritzatenak lortzen dira. Hain errazak ez diren integralen kalkulua arin egin nahi bada, emaitza hauek nahitaez ikasi behar dira.? Adibideak (Integral berehalakoak)1. Kalkula ezazuEbazpidea :Berehalako integralen zerrendako bigarren kasua da, m= 4 delarik.2. Bila ezazuEbazpidea :(Kasu honetan m = -5 da).3. Kalkula ezazu :Ebazpidea:berreketa eran idatziz:Oinarri bereko berreketen biderkaduraren tasuna dela eta(kasu honetan m = 2 da)Beraz4. Bila ezazuEbazpidea : Berehalako integralen zerrendako bosgarrena da, a = 4 delarik.

 

I V. Deskonposaketa bidezko integrazioa

Integralek, oinarrizko bi tasun betetzen dituzte :

 

Lehenengo tasuna

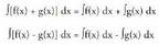
Funtzio arteko baturaren (kenduraren) integrala funtzioen integralen batura (kendura) da. Hau da,FrogapenaF(x) funtzioa, f(x) funtzioaren jatorrizko bat bada,G(x) funtzioa, g(x) funtzioaren jatorrizko bat bada,Orduan F(x) + G(x) funtzioa, f(x) + g(x) funtzioaren jatorrizko bar da, eta F(x) - G(x) funtzioa, f(x) - g(x) funtzioaren jatorrizko bar da, izan ere :BerazEraberean

 

Bigarren tasuna

Konstante eta funtzio baten arteko biderkaduraren integrala, konstantearen eta funtzioaren integralaren arteko biderkadura (la.Frogapena :F(x) funtzioa f(x) funtzioaren jatorrizko bat bada,Baina (k.F(x))' = k.F'(x) = k.f(x) da, beraz, k.F(x) funtzioa k-f(x)en jatorrizko bat da. Beraz,Adibidea. (Tasun hauen aplikazioak)1. Kalkula ezazuEbazpidea :Lehenengo tasuna dela medio,Bigarren tasuna dela medio,etaBainaeta fx dx, berehalako integralen zerrendako bigarren kasukoak dira.Lehenengoan ni = 2, eta bigarrenean m = 1 da.

Horrela,Beraz,2. Kalkula ezazuEbazpidea:3. Kalkula ezazuEbazpideaBinomio baten karratuaren formula erabilizgaratuko da :Horrela,4. Kalkula ezazuEbazpidea:(Oraingo honetan t da aldagaia, eta ez x )berreketa eran jarriz :Biderkaketaren banakortasun legea erabiliz :Orduan, rduan,5. Kalkula ezazu fEbazpidea:Emandako zatikia zatikien baturetan banatuz edo deskonposatuz :Beraz,

 

- Ariketak

 

V. Aldagai-aldaketa edo ordezkapen metodoa

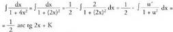
Metodo honen bidez, aldagaiaren aldaketa bat eginez, emandako integrala beste errazago batean bihurtzen da. Kasu batzutan egin behar den aldaketa zehatz daiteke, baina gehienetan, praktikak erakusten du komenigarriena zein den.Hasteko, ia berehalakoak diren integralak aztertuko dira.denean.inserted textfuntzioaren deribatua,da.x-en ordez u(x) funtzio bat bagenu,katearen erregelak,funtzioaren deribatuadela ziurtatzen du.

Beraz,

 

Adibideak (Mota honetako integraletan, ordezkapen metodoaren aplikazioa)

1. Kalkula ezazuEbazpideaaldaketa egiten bada,da.Horrela,2. Kalkula ezazuEbazpidea:aldaketa egiten bada, orduanda.Baina integralean 2x-en ordez 4x azaltzen da. Hori oso erraz konpontzen da, izan ere,da.3. Bila ezazuEbazpidea :dela kontuan izanik, u = sin x eginez,da.b)Berehalako integralen zerrendako hirugarrenean,-en deribatuadela azaltzen da.

X x-en ordez x-en funtzio bat bagenu, u(x),funtzioarenderibatua, katearen erregela aplikatuz,da. Beraz

 

Adibideak (Mota honetako integraletan, ordezkapen metodoaren aplikazioa)

1. Kalkula ezazuEbazpidea :aldaketa egiten bada,da.Zatikia 6-z biderkatu eta zatitzen da.2. Ordezkapen metodoa erabiliz,dela egiaztatu.Ebazpidea :denez, u = cos x aldaketa egiten bada, u' = - sin x da.

Orduanfuntzioaren deribatuafuntzio bera da. x-en ordez u(x) funtzioa bagenu,funtzioaren deribatua, katearen erregela aplikatuz,da.Beraz,

 

Adibideak (Funtzio esponentziala ematen duten integraletan ordezkapen metodoa erabiliz)

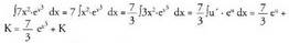
1. Kalkula ezazu J7x2 ?ex3 dxEbazpidea:Hasteko, 7 konstantea integraletik ateratzen da.aldaketa eginez,lortzen da.3-z biderkatu eta zatitzen da :2. Bila ezazuEbazpidea:u = cos x aldaketa egiten da, orduan u' _ - sin x da.-1-ez biderkatu eta zatitzen da.3. Kalkula ezazuEbazpidea :daAurrekoetan egindako azterketen antzeko bat eginez, hau ateratzen da :- cos x funtzioaren deribatua sin x da. Katearen erregela aplikatuz, cos u funtzioaren deribatuada. Era berean, sin u funtzioaren deribatuada.Horrela lortzen dira :

 

Adibidea (Mota honetako integraletan, aldagai-aldaketa metodoaren aplikazioa)

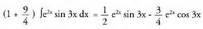
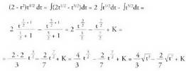
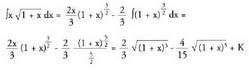
1. Kalkula ezazuEbazpidea :inserted textetaLehenengoakadierazten du, bigarrenak berrizadierazten du.aldaketa egiten da ; orduanda.3-z biderkatu eta zatitzen da.f) Beste kasuak bezala, honako hauek ere erraz froga daitezke :? Adibideak1. Kalkula ezazuEbazpidea :3 konstantea integraletik kanpora ateratzen da.aldaketa egiten da ; orduan u' = 4x da.4-z biderkatu eta zatitzen da.2. Kalkula ezazuEbazpidea:3 konstantea integraletik ateratzen da.aldaketa egiten da ; orduanda.g) u, x-en funtzio bat bada, katearen erregela erabiliz, sec u funtzioa deribatuz, u' ?sec u ? tg u ateratzen da.Hain zuzen,Beraz:? Adibideak1. Kalkula ezazuEbazpidea:u = 2x aldaketa egiten bada, orduan u' = 2 da.2-z biderkatu eta zatitzen da2. Kalkula ezazuEbazpidea:dela kontuan izanik, integral hau aurreko integralera bihurtzen da.Beraz:inserted text? Adibideak1. Kalkula ezazuEbazpidea :eran idazten da. Horrela argi gelditzen da egin behar den aldaketa u = 2x dela. Orduan, u' = 2 da.2. Kalkula ezazuEbazpidea:da. u = 2x aldaketa egiten da ; orduan u' = 2 da.2-z biderkatu eta zatitzen da.3. Kalkula ezazuEbazpidea:Hasteko, integral honek, azken bi kasuen antzik ez duela dirudi, baina lehenengo kasu bezala ebatzi daiteke.Berazaldaketa egiten da. Orduanda.-z biderkatu eta zatitzen da.Integratzeko teknika hau maiz erabiltzen da era honetako integralak kalkulatzerakoan.

4. Bila ezazuEbazpidea: Aurreko adibidean emandako urratsak emanez,Integral honek bigarren kasuko integralen antza dauka.aldaketa egiten da ; orduan.-z biderkatu eta zatitzen da.

 

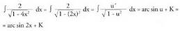
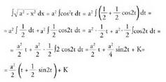
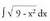
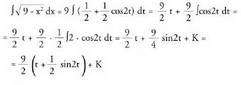
f Ja 2 - x2 dx erako integralak

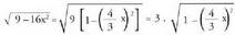
Integral hau bi arrazoirengatik azaltzen dugu hemen ; alde batetik, aldagai-aldaketa baten bidez ebazten delako, eta, bestetik, hurrengo gaian ikusiko diren eta integral mugatuaren bidez kalkulatzen diren azalera eta bolumenen kalkulutan sarri azaltzen delako.a konstante bat izanik,erako integralak ebazteko,aldagai aldaketa egiten da.Diferentziala eginez,Horrela,Beraz,Trigonometrian ikusten denez hau betetzen da :Bi berdintzak atalez atal batuz,Beraz,Honen ondoriozsin 2t = 2 sin t.cos t dela gogoan izanik,Bainada, orduan, etadenez,Bestalde,denez,izango da.Azkenik, hona iristen da :? Adibidea1. Kalkula ezazuEbazpidea :Aldagai aldaketa :Bainadenez,Aldaketa deseginez :

 

Aldagai aldaketaren bidez lortutako integral berehalakoak

 

- Ariketak

 

VI. Zatikako integrazioa

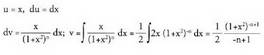
Metodo honen bidez, berehalakoak ez diren integral asko ebatzi daitezke.Izan bitez u eta v, x aldagaiaren mendeko diren bi funtzio ; hau da u = f(x) eta v = g(x).Bi funtzioren biderkaduraren deribatua-i aplikatuz, hau ateratzen da :Bi atalak integratuzden bezalaxe,da.Beraz,da. Hemendikhau ateratzen da :u = f(x) bada, orduan du= f '(x) dx da, eta v = g(x) bada, dv = g' (x) dx da. Bi emaitza hauek azkeneko berdintzan ordezkatuz,

 

Zatikako integral bat ebazteko era

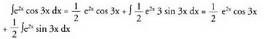
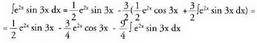
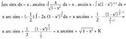
Metodo hau erabiltzen denean, integratu behar den funtzioaren zati bat "u" bezala, eta beste dena "dv" bezala hartu behar da, eta bigarren atalean aterako den integralak lehenengo atalean dagoena baino errazagoa izan behar du. Zati hautaketa egokia egiteko arau finkorik ez dago. Praktika da kasu honetan, arau hau nola eta noiz erabili behar den jakiteko erarik hoberena. Dena dela, beti-beti baliagarriak ez badira ere, hona aholku batzuk :1. Integratu behar den espresioan faktore bezala funtzio trazendente bat azaltzen bada, eta funtzio honen deribatuaren integrala eman dutena baino errazagoa bada, funtzio hau u bezala hartuko da, eta beste dena dv bezala. Hau baliagarria izan daiteke, adibidez, faktore gisa arc sin x edo In x azaltzen bada.2. Integratu behar den espresioan faktore bezala polinomio bat azaltzen bada, eta gainerantzekoa integratzerakoan zailtzen ez bada, polinomioa u bezala hartuko da, eta beste dena dv bezala. Prozesu hau birritan egiten da, eta polinomioaren maila jaitsiz joaten da, konstante bihurtu arte. Hau baliagarria da x 3.ex erako funtzioetan.erako funtzioetan.3. Aldaketa bera birritan eginez, edo funtzio arteko baliokidetasunen bat erabiliz, hasierako espresioa bider bata ez den konstante batera iristen bada, zatikako integrazioaren bidez, zuzenean ez bada ere, kalkula daiteke integrala. Horretarako, sortzen den berdintzan hasierako integrala bakandu edo despejatu behar da. Hau baliagarria daerako funtziotan.4. Azkenik, zatikako integrazioa erabiltzen da, integratu behar den espresioa zenbaki arrunt baten mende, berretzaile baten mende, adibidez, azaltzen denean. Halakoetan, prozesu bera behin eta berriz errepikatuz, n-ren balioa txikituz joaten da. Hauerako integraletan aplikatzen da.? Adibideak1. Kalkula ezazuEbazpidea:Kasurik errazenetako bat da hau. Integralak funtzio bakarra du :egiten da, diferentziatuz, duNahitaez dv = dx izango da. Bi atalak integratuz,ateratzen da.Formula aplikatuz,2. EbatziEbazpidea:Nahitaez u = arc sin x hartu behar da ; orduan duda etadv = dx ; orduanFormula aplikatuz,3. Kalkula ezazuEbazpidea :u = x egiten da ; orduan du = dx da, etaizango da ; orduanFormula aplikatuz:4. Bila ezazuEbazpidea:egiten da, diferentziala kalkulatuz, du = 2x dx ateratzen daBestalde, integrala kalkulatuz,Formula aplikatuz,zatikako integrazio metodoa berriro erabiliz integratzen da.Horrela,Emaitza hau (1) integralean ordezkatuz,5. Kalkula ezazuEbazpidea :Hasteko u = sin 3x hartzen da, beraz du = 3 cos 3x dx da, etahartzen da, integrala eginezda.Formula aplikatuz,Gelditzen den integrala,, zatikako integrazio metodoa erabiliz integratzen da berriro.Oraingo honetan ere, u = cos 3x hartzen da ; orduan du = - 3 sin 3x dx da, etadv = e2x dx hartzen da, integrala eginez v = 2 e 2 x da.da.(Alderantziz hartu izan bagenitu, hau daetahartu izan bagenitu, hasierako espresiora itzuliko ginateke, ezer aurreratu gabe)Berriro formula aplikatuz,Emaitza hau (1) integralean ordezkatuz,Integrala lehenengo atalera pasatuz :Eta integrala bakanduz, emaitza lortzen da :6. Bila ezazuEbazpidea :u eta dv honela hartzen dira :u = cos x ; orduan du = -sin x dx, etadv = cos x dx ; orduan v = sin xFormula aplikatuz :Orainintegrala kalkulatu behar da ; baina berriro zatikako metodoa erabiliz integrala kalkulatzeko ordez, etadenez, integralean ordezkatzen da :Integrala lehenengo atalera pasatuz :Eta integrala bakanduz :

 

- Ariketak

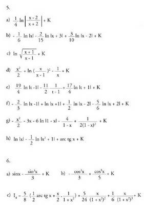
4. Bila itzazu :

 

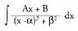
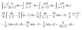
VII. Funtzio razionalen integrazioa

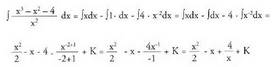
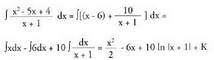
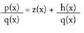
erako integralak ebatzi behar dira, p(x) eta q (x) poliomioak direla.Oro har, polinomioetan, p(x) zatikizuna bada, q(x) zatitzailea, z(x) zatidura eta h(x) hondarra bada,Beraz,polinomio baten integrala da.berehalakoabalitz, integrala ebatzita legoke.? Adibideak1. Kalkula ezazuEbazpidea :polinomioa etapolinomioaren arteko zatiketa egiten da :Zatidura 1 da, eta hondarra - 1.2. Bila ezazuEbazpidea:Polinomioen arteko zatiketa egiten daZatidura x - 6 da, eta hondarra 10.

 

Zatiki sinpletan deskonposatzea

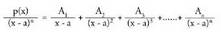
Zatiki sinple bat polinomioz osatutako zatiki bat da, baina zenbakitzailearen mailak, hertsiki, izendatzailearen maila baino txikiagoa izan behar du, eta izendatzaileakerakoa edoerakoa,polinomioak erro edo soluzio errealik ez badu, n zenbaki arrunta delarik.

Horrela,; zatiki sinpleak dira.erako integralen aterketa egiterakoan, p(x) zenbakitq (x) zailearen maila q(x) izendatzailearen maila baino txikiagoa dela hartuko da abiaburutzat. Zenbakitzailearen maila izendatzailearen mailaren berdina edo handiagoa balitz, p(x) eta q(x)-en arteko zatiketa egin beharko litzateke, eta z(x) zatidura eta h(x) hondarra aterakointegralaintegralean bihurtzen da.polinomio baten integrala denez, berehalakoa da, eta

 

Zatiki sinpletan deskonposatze bidezko integrazioa

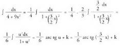
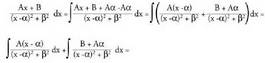
erako integralak ebazteko honela egiten da : 1. q(x) polinomioaren faktorketa egiten da, horretarako q(x) = 0 ekuazioaren erro edo soluzioak bilatzen dira.2. Adibidetan ikusiko den eran,zatikia, zatiki sinpleenbatura bezala deskonposatzen da.3. Ateratzen diren batugaien integralak kalkulatzen dira.Baina q(x) = 0 egiterakoan hiru erako emaitzak atera daitezke :- erro edo soluzio bakunak, sinpleak (soluziorik ez da errepikatzen).- erro edo soluzio anizkoitzak (gutxienez soluzio bat errepikatzen da).- erro edo soluzio irudikariak (zenbaki konplexuak).Kasu bakoitza bere aldetik ikasi behar da.A) Erro erreal sinpleak ateratzen direnean.q(x)-en erro sinpleakinserted textzehaztu behar diren konstanteak dira. Ikusi daitekeenez, ateratzen diren integralak berehalakoak dira.? Adibidea1. Kalkula ezazuEbazpidea:izendatzailearen erroak hauek dira :Beraz, bi erro sinple desberdin ditu : 1 eta - 1.zatiki sinpletan deskonposatzen da :Izendatzaileak berdinak direnez, zenbakitzaileek ere berdinak izan behar dute :A eta B mugatzeko x-ri balioak emango dizkiogu :x-ri nahi den balio eman diezaiokegu, baina kalkuluak errazteko, batugaietariko bat anulatzen duen balioa eman zaio. Prozedura hau oso hedatua dago.Horrela bada:Beraz :B) Erro erreal anizkoitzak ateratzen direnean.a erroa n aldiz errepikatzen bada,zatikiaren deskonposatzea zatiki sinpletan hau da :orain ere, zehaztu behar diren konstanteak dira.

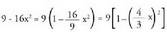
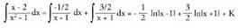
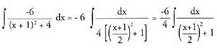
Berriro ere,erako integralak berehalakoak dira.? Adibidea1. Kalkula ezazuEbazpidea:Zenbakitzailearen maila (2), izendatzailearena (3) baino txikiagoa denez, ez da polinomio arteko zatiketarik egin behar.polinomioaren erroak Ruffiniren erregela erabiliz lortzen dira :Polinomioak erro sinple bat, -2, eta erro anizkoitz (bikoitz) bat, 1, du.Emandako zatikia honela deskonposatzen da zatiki sinpletan :Lehengo kasuan bezalaxe, zenbakitzaileak berdindu egiten dira, eta A, B eta C zehazteko, x-ri balio arbitrarioak ematen zaizkio.BerazC) Erro irudikariak ateratzen direnean.Koefiziente errealak dituen polinomio baten erro irudikaribat badu, bere konjokatuaere, polinomioaren erro da.etaarteko biderkaketa egiten bada, hau lortzen da:(i zenbaki irudikiariakegiaztatzen du).

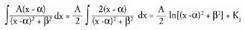
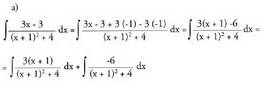
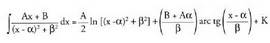
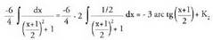
Erro irudikari konjokatu bikote bakoitzakerako zatikisinple bat eratzen du, beraz, kasu honetan honako hau ulatu behar da :1. Zenbakitzaileari Aa gehitu eta kentzen zaio eta jarraian azaltzen den bezala bi integraletan deskonposatzen da :Bi integral hauek berehalako integral bihurtzen dira aldagai-aldaketa bat eginez gero.2.delako,3.Baina-ren deribatuadelako,4. Bukatzeko :(egiten delarik)Hirugarren kasu hau izendatzaileko erro irudikariak sinpleak direnean bakarrik landuko da.? Adibidea1. Kalkula ezazuEbazpidea :bigarren mailako ekuazioa ebazterakoan, -1 + 2i eta -1 - 2i soluzioak lortu dira, berazIntegral bakoitza bere aldetik ebazten daegiten bada,egiten bada,u'=2(x+1)daBerazinserted textegiten baduda, eta-z biderkatu eta zatituz :d) b) eta c) ataletan ateratako emaitzak batuz, etaeginez :

 

- Ariketak

4. Bila itzazu :

 

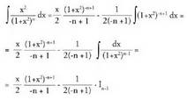
VIII. Laburketa formulak

Integral batzuk ezin dira ebatzi azaldutako metodoak erabiliz,baina n zenbaki arrunta baten mende dauden zenbait integral,laburketa deritzan formula batzuen bidez ebatzi daitezke. Kasuhauetan, nahitaez, n - 1 edo n - 2 denean integrala ebazten jakinbehar da.

 

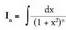
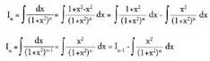
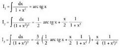
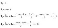
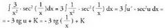
integralaren kalkulua

Ikusten denez,-ren n azpindizea,berretzailearekin bat dator.Jakina denez,eta-ri dagokion laburketa formula aurkitzeko zatikako integrazio metodoa erabiliko da :Beraz,-lehenengo atalera pasatuz, etabakanduz,Eta beraz,Horrela

 

integralaren kalkulua

kalkulatzeko cos x = sin(90º - x) egiten da, eta era horretara aurreko kasu berean gaude.Ebazteko, 90° - x = y aldagai aldaketa egiten da; orduan dx = - dy da eta hau lortzen da :

 

integralaren kalkulua

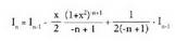
Zenbakitzaileari xz gehitu eta kenduz,Bigarren integrala zatikako integrazio metodoa erabiliz ebatzi behar da:Eta beraz,(1) adierazpenean ordezkatuz, hau ateratzen da :Eragiketak eginez :n = 1, 2 eta 3 denean, emaitza hauek lortukoonlYrateke :

 

- Ariketak

4. Bila itzazu:

 

Soluzioak