Matematika»Analisiak
Funtzioen azterketa orokorra
Funtzioak aplikazio asko dituzte zientzia guztietan, eta analisi
matematikoaren helburu nagusi dira. Gehienetan funtzio baten
adierazpen aljebraikoa ezagutzen da, hau da, funtzioa ematen duen
y =f(x) formula; horregatik, adierazpen aljebraiko horretatik abiatuz
funtzioaren ezaugarriak ateratzean jakitea hain garrantzitsua da.
Gai honetan problema hau landuko da, eremua, simetriak, asintotak
eta funtzioaren adierazpenetik zuzenean lortzen diren datu orokorrak,
deribatuaren bidez lortzen diren gorapena eta muturrak
bezalakoekin elkartuz. Datu hauen laburpena funtzioaren grafikoaren
bidez, hau da, (x,f(x)) erako puntu-multzoaren bidez azal daiteke
. Lortzen diren datuak, ez dute funtzioaren ezagutza osoa ematen,
horretarako funtzioko infinitu puntuak jakin beharko liratekeelako,
baina ezaugarririk garrantzitsuenak ematen ditu.Funtzioaren azterketa egiterakoan, puntu garrantzitsuren bat ez
ahazteko, ordena egoki bat jarraitu behar da, nahiz eta askotan,
kontuan hartzeko baliorik ematen ez dutelako, puntu bat baino
gehiago baztertzen den.Orden eroso bat hau izan daiteke :- f-tik zuzenean ateratzen diren tasunak.Izate-eremua eta ibiltarteaSimetriaka) OY ardatzarekiko simetria. Funtzio bikoitia
b) Jatorriarekiko simetria. Funtzio bakoitiaPeriodikotasunaf-ren zeinua. X'X ardatzarekiko ebaki-puntuakBornapenaKonbergentzia edo hurbildura. Asintotak
a) Asintota bertikalak
b) Asintota horizontalac) Asintota zeiharraJarraitasuna.Y'Y ardatzarekiko ebaki-puntuak. Puntu lagungarriakOndoz ondoko deribatuetatik lortutako f-ren propietateak.Monotoniaa) Tarte gorakorrak
b) Tarte beherakorrakMuturrak : Maximo eta minimoakAhurtasuna eta ganbiltasuna
a) Tarte ahurrak
b) Tarte ganbilakInflexio-puntuak
I. Izate-eremua, ibiltartea, simetriak, zeinuak.
Atal honetan funtzioaren formulatik, limiteak eta deribatuak aplikatu gabe ateratzen diren ezaugarriak aztertzen dira.
1. Izate-eremua
f funtzio baten izate-eremua, funtzioa definitua dagoen zenbaki
errealen multzoari esaten zaio.Praktikan, y = f(x) adierazpenaren bidez emandako funtzio baten
izate-eremua ez da zehazten, halakotan, y = f(x) adierazpenak zentzua
duen izate-eremurik handiena bilatu behar da.• Adibideak:1. Bilatu
funtzioaren izate-eremua.Frakzio bat denez, izendatzailea anulatzen ez den beste balio
denetan definituta dago.
eginez x = 2 edo x = 4 lortzen da. BerazE = R - {2,4}.2. Bilatu
funtzioaren izate-eremua.Erro karratu funtzioa definituta dago errokizuna 0 baino handiagoa edo berdina denean; beraz, kasu honetan f definituta dago
denean, edo gauza bera denez,
funtzioa positiboa denean. g funtzioaren grafikoa 1. irudikoa da, eta bertan ikusten denez, R - (1,2) tartetan definituta dago.
3. Bilatu
funtzioaren izate-eremua.Logaritmo funtzioa definituta dago, zenbakia 0 baino handiagoa denean ; beraz f definituta egongo da
2. Simetria
a) OY ardatzarekiko simetria. Funtzio bikoitiaf funtzioa bat, Y'Y ardatzarekiko simetrikoa dela esaten da, izateeremuko edozein f(-x) = f(x) denean. f funtzioa, funtzio bikoitiadela ere, esaten da.P(x,y) puntu bat f grafikakoa bada, eta f funtzioa Y'Y ardatzarekiko
simetrikoa bada, orduan P'(-x,y) puntua ere grafikakoa da.
Beraz, abzisa negatiboeri dagokion grafika zatia abzisa positiboeri
dagokion grafika zatiaren simetrikoa da Y'Y ardatzarekiko.Adibidea.
, funtzio bikoiti bat da.
b) 0(0,0) jatorriarekiko simetria. Funtzio bakoitia.f funtzioa bat jatorriarekiko simetrikoa dela esaten da, izate-eremuko
edozein x-entzat f(-x) _ - f(x) denean. f funtzioa, funtzio
bakoitia dela ere esaten da.P(x,y) puntu bat f grafikakoa bada, eta f funtzioa jatorriarekiko
simetrikoa bada, orduan P'(-x,-y) puntua ere grafikakoa da. Beraz
abzisa negatiboei dagokien grafika zatia, abzisa positiboei dagokien
grafika zatiaren simetrikoa da jatorriarekiko.• Adibidea :
funtzio bikoiti bat da.
• Adibidea:1.
bada, orduan
; beraz, f-ren grafikoa Y'Y ardatzarekiko simetrikoa edo bikoitia da.2.
bada, orduan
; beraz, f-ren grafikoa jatorriarekiko simetrikoa edo bakoitia da.3.
bada, orduan
; beraz, ez da jatorriarekiko simetrikoa.
Baina ez da Y'Y ardatzarekiko simetrikoa ere, izan ere,
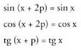
3. Periodikotasuna
f(x) funtzio bat periodikoa da periodoa deritzan eta nulua ez den
T zenbaki erreal bat existitzen bada, izate-eremuko edozein x baliorentzat
f(x + T) = f(x) dela betetzen dena.F funtzio periodiko bat bada, eta T periodo bat,
, ere periodo bat da. T periodo duen funtzio periodikoa aipatzen denean, T periodorik txikiena dela ulertzen da. Periodo honi periodo nagusi esaten zaio.(x, x+T) periodo bateko baliotarako funtzio baten grafikoa ezaguna
bada, OX ardatzean traslazio bat eginez atera daiteke funtzio
osoa.
Funtzio Trigonometrikoak funtzio periodikoak dira :
• Adibideak :1.
funtzioa, funtzio periodikoa da, eta bere periodoa p da, izan ere,
4. f funtzioaren zeinuak. X'X ardatzarekiko ebaki-puntuak
f funtzioak E izate-eremuan hartzen dituen balioen zeinua honako
erlazio hauen araberakoa da :a) f(x) > 0, funtzioa hertsiki positiboa da.b) f(x) = 0, funtzioa nulua da.c) f(x) < 0, funtzioa hertsiki negatiboa da.b)-n lortutako x puntuak, funtzioaren erro edo zeroak dira. Geometrikoki,
funtzioak eta abzisa-ardatzaren arteko ebaki-puntuak
dira.• Adibidea :1. Aztertu
funtzioaren zeinua.f funtzioaren zeinua aztertzeko, zenbakitzailearen eta izendatzailearen
zeinuak, zein bere aldetik hartuko dira, eta gero batera zatidura
bezala hartuko dira.
5. Bornatzea eta ibiltartea.
Funtzio bat bornatua dago ibiltartea bornatuta dagoenean. Funtzioa
bornatua badago, honako hau kalkulatu daiteke :a) Goi-muturra. Ibiltartekoa bada, maximoa deitzen zaio.b) Behe-muturra. Ibiltartekoa bada, minimo deitzen zaio.Funtzio bat bornatuta badago, haren grafikoa y = goren(f) eta y =
beheren(f) zuzenek mugatutako tartean dago.
• Adibidea:1. Aztertu f(x) = cos x funtzioaren bornatzeaDakigunez, kosinu funtzioaren baliorik handiena 1 da, eta baliorik
txikiena -1 da ; beraz goi eta behe-bornatua dago.Bere grafikoa y = 1 eta y = -1 zuzenek mugatutako bandan dago.
2. Aztertu
funtzioaren bornatzea.
Baliorik handiena x = 0 eta f(0) = 1 denean hartzen du.
Funtzioa beti positiboa denez, behe-borne bat y = 0 da.
Behe-muturra zein den ikusiko dugu. Honako hau daukagu :
Funtzioaren asintota horizontala y = 0 = beheren(f) zuzena da.
y = f(x) funtzioa emanda, ibiltartea aurkitzeko erarik errazena,
alderantzizko funtzioaren izate-eremua bilatzea da.Adibideak :1.
. Alderantzizko funtzioa
. y bakanduz edo despejatuz :
. Funtzio honen izate-eremua, zenbaki erreal positiboek, zeroa barne, osatzen dute. Beraz hori da lehenengo funtzioaren ibiltartea.2.
funtzioaren alderantzizko funtzioa
da. y bakanduz, xy + x = 1 denez,
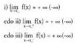
I I. Asintotak. Jarraitasuna.
L'Hopital-en erregela
1. Asintotak
Atal honetan, hasteko, x edo y hautaz oso handiak edo oso txikiak,
hau da oo-rantz jotzen dutenean, zer gertatzen den aztertuko da.Egoera desberdinak,
-rantz jotzen duen aldagaiaren arabera sailka daitezke :y-k mugarik gabe gora edo behera jotzen du, hau da
-rantz edo
-rantz jotzen du, x aldagaia
balio finitura hurbiltzen denean.
Hau gertatzen 9. irudiko x = 1 puntuan. Kasu honetan kurbaren grafikoa zuzen bertikal batera hurbiltzen da, eta funtzioak asintota bertikal bat duela esaten da.
x aldagaiak mugarik gabe gora edo behera jotzen du, y menpeko
aldagaiak k balio finitu baterantz jotzen duen bitartean. Kasu honetan,
grafikoa zuzen horizontal batera hurbiltzen denez, kurbak
asintota horizontal bat duela esaten da. Hau gertatzen da 10. irudian
y = 0 zuzenarekin.
-rantz edo
-rantz doanean, y aldagaia ere, hautaz, gora edo behera doanean. Infinitu balio horretara hurbiltzen den eraren arabera egoera desberdinak bereiz daitezke :Kurba zuzen batera hurbiltzen da, orduan, kurbako y aldagaia,
edozein zuzenetan egiten duen baino lasterrago edo geldiroago haz
daiteke,
kasuan bezala zuzen batera hurbiltzen denean, kurbak asintota zeihar bat duela esaten da.
-rantz zuzen batean baino lasterrago jotzen badu, adar paraboliko bertikal bat duela esaten da. Hau da
edo
funtzioetan gertatzen dena.
-rantz zuzen batean baino geldiroago jotzen badu, adar paraboliko horizontal bat duela esaten da. Hau da y = ln x edo
funtzioetan gertatzen dena..
eta
-rantz jotzen dutenean ikusitako hau zailtasunik gabe
a) Asintota bertikala
Bedi f funtzio bat, bere izate-eremua R-ko E duena.
zuzena asintota bertikala dela esaten da, honako hau betetzen denean :
hau da,
-n asintota bertikala izateko, gutxienez limiteetariko batek existitu behar du eta limite horrek infinitu izan behar du.Funtzio baten asintota bertikalak, i), ii), edo iii) erlazioetariko bat egiaztatzen duen
zenbaki errealak zehaztuz lortzen dira.• Adibideak :1. Bilatu
, funtzioaren asintota bertikalak.x= 0 denean
da.
Asintota bertikala x = 0 da.
2. Bilatu
, funtzioaren asintota bertikalak.Funtzio hau aurreko adibidean azaldutako funtzioaren aurkako
funtzioa da. Bere asintota x= 0 izango du, izan ere :
da.Bere grafikoa aurrekoaren OX ardatzerekiko simetrikoa du.3.
funtzioaren grafikoa hiperbola aldekide bat da. x = 0 zuzena asintota bertikala da.
funtzioak ere asintota bera dauka.
b) Asintota horizontala
Bedi f funtzio bat, bere izate-eremua R-ko E duena. y = k zuzena
asintota horizontala dela esaten da, honako hau betetzen denean :
edo
Asintota horizontala izateko, gutxienez aurreko limite horietako
batek existitu behar du.• Adibideak:1.
funtzioaren asintota horizontala y = 0 da, izan ere
2.
funtzioa eta
c) Asintota zeiharra
-rantz, edo
-rantz doanean y = mx + b zuzena y = f(x) kurba baten asintota zeiharra dela esaten da, funtzioaren grafikoaren eta zuzen horren arreko diferentzia gero eta txikiagoa denean, x gero eta handiago edo gero eta txikiago egin ahala. Honen ondorioz, ordenatuen arteko aldea gero eta txikiagoa da.x bakoitzarentzat honako hau daukagu :
Argi dagoenez,
-k zerorantz jotzen duenean asintota eta kurbaren adarra hurbildu egiten dira. Hori kontuan izanik definizio hau eman dezakegu :Bedi f funtzio bat, bere izate-eremua R-ko E duena. y = mx + b,
, zuzena f-ren asintota zeiharra dela esaten da, honako hau betetzen denean :
Asintota zeiharra izateko, aurreko limite horietako batek, gutxienez,
existitu behar du.y = mx + b,
asintota zeiharra zehaztuta geldituko da, m eta b-ren balioak ezagutzen direnean.Ikus dezagun nola kalkulatzen diren x-ek
-rantz jotzen duenean :
1) m maldaren kalkulua :
mx + b gehitu eta kendu
propietate banakorra
batura baten limitea=mizan ere lim (f(x) - mx - b) = 0 da.Beraz
•
bada, orduan, kurbak asintota zeihar bat dauka.. Kasu honetan m-ek asintotaren norabidea ematen du, eta "norabide asintotikoa" esaten zaio. Kurbaren adarra "hiperbolikoa" dela esaten da.•
bada, orduan, kurbak asintota zeihar bat dauka, t- , x eta dagokion adarrari, OY norabideko "adar parabolikoa" esaten zaio.•
bada, orduan, kurbak asintota zeihar bat dauka, eta dagokion adarrari, OX norabideko "adar parabolikoa" esaten zaio.Hiru aukera hauek 9. eta 11. iruditan ikus daitezke.2) b jatorri-ordenatuaren kalkuluam ezagutuez gero, b horrela kalkulatzen da :
Beraz,
• Adibideak:1. Bila
fimtzioaren asintotak.a) Asintota bertikalak : x = 2b) Asintota horizontala : ez daukae) Asintota zeiharra :
Beraz, asintota zeiharra y = x + 1 da.2. Bila
funtzioaren asintotak.Kasu honetan asintota zeiharra metodo orokorra erabiliz kalkula
daiteke, baina praktikan, beste metodo hau oso egokia izaten da :
(zatiketa egitea aski da)Beraz asintota zeiharra y = x - 1 da ; izan ere, x-ek plus edo minus infiniturantz jotzen badu, funtzioa y = x - 1 zuzenera hurbiltzen da,
2. L'Hôpital-en erregela
Funtzioak korapilatsuagoak direnean, asintotak kalkulatzeko egin behar diren limiteak ere korapilatu egiten dira. Kasu horretan
edo
edo indeterminazioak ebazteko balio duen L´Hôpital-erregelaerabiltzea komeni da. Zenbakitzaileko eta izendatzaileko adierazpenek,ohiko funtzioetan arazo ez diren jarraitasun eta deribagarritasun
baldintza batzuk bete behar dituzte.
edo
erako indeterminazio bat bada, orduan,
Erregela hau ,
-rantz edo
-rantz doan kasurako orokortu daiteke.• Adibideak :
Baina erregela erabiltzen hasi aurretik, indeterminazioa
edo
erakoa dela ikusi behar da, izan ere holakoak gerta daitezke :
Edo desberdina den beste hau :
Aplikazioa :Bila
funtzioaren asintotakFuntzio hau R osoan jarraia da, eta ez dauka asintota bertikalik.
Asintota horizontalik duen ikusteko hau egingo da :
L´Hôpital-ene erregela erabili ahal izateko,
indeterminazioa
erara pasa behar da :
Beraz asintota horizontal bat dauka, eta bere ekuazioa
-rantz doanean y = 0 da, eta
3. Jarraitasuna
Gogora dezagun : f funtzioa,
puntuan jarraia da hau betetzen denean :
4. Y'Y ardatzekiko ebaki-puntuak. Puntu lagungarriak
Izan bedi y = f(x) funtzio bat. f funtzioaren grafikoak eta OY
ardatzaren arteko ebaki-puntuak, honako sistema hau ebatziz lortzen
dira:
Beraz, ebaki-puntuak (0,f(0)) erakoak dira.
I I I. Ondoz ondoko deribatuetatik lortutako f-ren propietateak.
Monotonia, maximo eta minimoak, ahurtasuna eta ganbiltasuna eta inflexio puntuen azterketa deribagarria den edo ez den edozein funtziotan egin daiteke. Funtzioa deribagarria denean , propietate hauen azterketa sakona aurreko gaian egin da. Zorionez, oinarrizko maila honetan erabiltzen ditugun ia funtzioa denak, puntu bakan batzutan ezik, beste denetan, deribagarriak dira.Deribatuekin landu behar diren puntuak, laburbilduz, hauek dira :
f '(x) lehenengo deribatuarekin :
- Tarte gorakor/beherakorrak.
-entzat, f '(x) > 0 bada, y = f(x) funtzioa (a,b) tartean gorakorra da.
-entzat, f '(x) < 0 bada, y = f(x) funtzioa (a,b) tartean beherakorra da.
- Mutur erlatiboak : f(x) funtzioa,
- ren ingurune batean deribagarria bada, eta
bada.
-entzako positibo izatetik,
-entzako negatibo izatera aldatzen bada, funtzioak maximo erlatibo bat dauka
puntuan.
puntuan negatibo izatetik positibo izatera pasatzen bada, funtzioak minimo erlatibo bat dauka
puntuan.f '(x) funtzioaren zeinua,
puntuan aldatzen ez bada, funtzioak inflexio-puntu bat dauka
f "(x) bigarren deribatuarekin:
- Ahurtasuna eta ganbiltasuna :
-
-entzat, f "(x) > 0 bada, y = f(x) funtzioa 0 (a,b) tartean ahurra da. Beraz, f'(x o ) = 0 eta f "(x) > 0 badira, funtzioak,
puntuan, minimo erlatibo bat dauka.
-entzat, f"(x) < 0 bada, y = f(x) funtzioa (a,b) tartean ganbila da. Beraz,
eta f "(x) < 0 badira, funtzioak,
puntuan, maximo erlatibo bat dauka.
- Inflexio-puntua : f "(x o ) = 0 bada eta
bada eta
edo beste edozein deribatu bakoitiren balio
puntuan zero ez bada, y = f(x) funtzioak,
puntuan, inflexio puntu bat dauka.• Adibideak :1. Azter ezazu
funtzioa.- f-ren izate-eremua : E = R- Simetria : f bikoitia da,
delako.- Asintotak eta adarrak :
- Ardatzekiko ebaki-puntuak :x = 0 ; f(0) = 0
- Tarte gorakor/beherakorrak
inserted text
denean bakarrik egingo da.
tartean denez, f funtzioa
tartean hertsiki gorakorra da.f ' (x) < 0, (0,1) tartean denez, f funtzioa [0,1 ] tartean hertsiki
beherakorra da.- Maximo eta minimo erlatiboak
; funtzioak maximo bat dauka x = 0 puntuan
; funtzioak minimo bat dauka x = 1 puntuan.- Tarte ahur/ganbilak
f"(x)<0 da
tartean, beraz, f funtzioa ganbila da
tartean.. ´´ (x) > 0 da
tartean, beraz, f funtzioa ahurra da
- Inflexio-puntuak
puntuan, funtzioak inflexio-puntu bat dauka, puntu horretan funtzioa, ganbila izatetik ahurra izatera pasatzen delako.
- Taula
Funtzio honi dagokion grafikoa hau da.
2. Irudika ezazu
funtzioa.
Funtzio hau horrela idatzi daiteke :
- f-ren izate-eremua : E = R* = R - {0}- Simetria: ez dauka.- Asintotak hauek dira : x = 0 eta y = x - 1- Funtzioa izate-eremu osoan jarraia da.-
puntuan alboetako limiteak hauek dira :
- Ardatzekiko ebaki-puntuak :Ardatzak ez ditu ebakitzen ; izan ere, x > 0 denean y > 0 da, eta x
< 0 denean, y < 0 da.- Tarte gorakor/beherakorrak eta maximo/minimoak :Lehenengo deribatua y'= 1 -X da.
da.
, beraz f gorakorra da
eta
tartetan.
edo
beraz f funtzioak maximo bat dauka
puntuan, eta minimo bat dauka
puntuan, gero bigarren deribatua lantzerakoan ikusi daiteken bezala.
, beraz f beherakorra da
eta
tartetan.- Tarte ahur/ganbilak eta inflexio-puntuak :Bigarren deribatua :
da y " > 0 (x > 0, beraz f ahurra da R , -ny "= 0 ez du soluziorik, beraz ez dauka inflexio punturik.y " < 0 (x < 0, beraz f ganbila da R-n-Taula
Funtzio honi dagokion grafikoa hau da.
3. Azter ezazu
funtzioa- Izate-eremua : E = R- Simetria :
beraz f bikoitia da.- Asintotak : Horizontala
-rantz eta
-rantz doanean.- Ardatzekiko ebaki-puntuak :OY ardatza (0,1) puntuan ebakitzen duOX ardatza ez du ebakitzen, izan ere
-entzat f(x) > 0 da.- Tarte gorakor/beherakorrak
f '(x) > 0, x < 0 denean denez, f funtzioa
tartean gorakorraf '(x)< 0, x > 0 denean denez, f funtzioa
tartean beherakorra da.- Maximo eta minimo erlatiboak(0,1) puntua maximo erlatiboa da- Tarte ahur/ganbilak
denean izango da.f --aren zeinua
funtzioarena izango da, beraz :
f´´(x) > 0 da
eta
tarteetan, beraz, f funtzioa,tarte horietan, ahurra da.. "(x) < 0 da
tartean, beraz, f funtzioa, tarte horretan, ganbila da.- Inflexio-puntuak :
eta
puntuetan ahurtasuna/ganbiltasuna aldatzen denez, 3 puntu horiek inflexio-puntuak dira.- Taula
Funtzio honi dagokion grafikoa hau da :
4. Azter ezazu f(x) = x - sin x funtzioa- Izate-eremua: Zenbaki erreal guztiak- Simetria : f(-x) = - f(x). Funtzio hau bakoitia da.- Asintotak : Ez dauka asintotarik, nahiz eta
izan, baina gero
kalkulatzerakoan, limitea indeterminatuadeia ateratzen da.- Ardatzekiko ebaki-puntuak : P(O,O)- Periodikotasuna
dela egiaztatu arren, funtzio hau ez da periodikoa.- Tarte gorakor/beherakorrak
da ; beraz beti gorakorra da eta ez dauka ez maximo ez minimo erlatiborik.- Bigarren deribatua : f "(x) = sin x da, eta
denean, anulatu egiten da,
puntu horiek inflexio-puntuak dira, izan ere balio horietan
da.- Taula
Funtzio honi dagokion grafikoa hau da :
IV Ezagunak diren funtzio batzuetatik abiatuz, beste funtzio batzuk irudikatzeko era
Askotan, funtzio batzuk, ezagunak diren beste funtzio batzuk erabiliz eraiki daitezke, baina bi funtzio horiek, funtzioen arteko eragiketen bidez elkarrekin erlazionaturik egon behar dute.Besteren artean hiru kasu hauek aipatuko dira :1. Aurkako funtzioak2. Alderantzizko funtzioak3. Balio absolutu funtzioak
1. Aurkako funtzioak
Aurkako diren bi funtzio, OX ardatzarekiko simetrikoak dira.
Bietariko bat ezagutuz gero, bestea, simetriaren bidez eraikitzen da.• Adibidea:1. Irudika itzazu
eta g(x) _ - sin x funtzioak.
Bi funtzio hauek,
eta (-g)(x) = sin x funtzioen aurkakoak dira. Beraz, hauen grafikoak, -f eta -g Funtzioak ezagutzen
direnez, 20 irudikoak dira.
2. Alderantzizko funtzioak
Alderantzizko diren bi funtzio, lehenengo eta hirugarren koadranteko
erdikariarekiko simetrikoak dira. Bietariko bat ezagutuz
gero, bestea, simetriaren bidez eraikitzen da.• Adibidea:1. Irudika itzazu bi funtzio hauek :
Bi funtzio hauek R -etan definitutako
eta R-tan definitutako
funtzioen alderantzizko funtzioak dira. Beraz,
eta
grafikoak ezagutuz, eskatutakoak 21. Irudiko (a) eta (b) dira :
3. Balio absolutu funtzioa
f funtzioa ezagutuz, Ifl funtzioa eraiki behar da. Horretarako, f
eraiki ondoren, f-ren zati negatiboa, OX ardatzarekiko simetriaren
bidez irudikatuko da.• Adibidea:1. Irudika itzazu funtzio hauek :
Bi funtzio hauek, y = x - 1 eta y = sin x funtzioen balio absolutu
funtzioak dira. Beraz, f eta g funtzioen grafikoak ezagutuz, eskatutakoak
22. irudiko (a) eta (b) dira :
- Ariketak
1. Azter eta irudika ezazu
funtzioa.
2. Azter eta irudika ezazu
funtzioa.
3. Azter eta irudika ezazu
funtzioa.4. Azter eta irudika ezazu
Ebazpide edo soluzioak :
1.
2.
3.
4.