Matematika»Analisiak
Funtzio baten deribatua
I. Sarrera historikoa
Newtonek eta Leibnizek zeinek bere aldetik garatu zituzten kalkulu
infinitesimalaren oinarrizko ideiak, eta ordu arte ebatzi ezin
izan ziren problemak erraz ebatzi ahal izan ziren, haiek asmatutako
metodo berriak erabiliz.Kalkulu integrala eta kalkulu diferentziala bateratzea izan zen
haien lorpenik handiena.Kalkulu diferentzialaren ideia nagusia deribatuaren kontzeptua
da. Integralaren antzera, geometria arazo batek sorrarazi zuen deribatua
: kurba baten puntu batean zuzen ukitzailea kalkulatu beharrak,
alegia.Deribatuaren kontzeptua oso berandu azaldu zen matematikaren
historian, XVII. mendean, Pierre Fermat matematikaria funtzio
batzuen maximoak eta minimoak aztertzen hasi zenean.Fermatek hau ikusi zuen : ukitzaileak puntu batean duen norabideak
adierazten du kurbak puntu horretan duen norabidea, eta kurbak
maximoa edo minimoa azaltzen duen puntuetan ukitzailea
horizontala da ; beraz, muturrak aztertzeko, ukitzaile horizontalak
aztertu behar dira.
I I. Higikari baten lastertasunaren arazoa
Demagun jaurtigai bat goraka jaurtikitzen dela 45 m/s-ko lastertasunaz. Marruskadura kontuan hartzen ez bada, grabitateak bakarrik izango du eragina. Hori dela eta, jaurtigai horren lastertasuna gero eta txikiagoa izango da, harik eta zerora iristen den arte ; orduan jaurtigai hori erortzen hasiko da ; f(t) baldin bada t segundutan hartzen duen altura,
da, esperientzia fisikoen arabera.f(t) = 0 egiten da t = 0 eta t = 9 denean. Jaurtigaia 9 segundura erori da lurrera, beraz
Jaurtigaiaren lastertasuna une bakoitzean zein den jakiteko, t
unearen "unean uneko lastertasuna" definitu behar da. Lehenengo,
batez besteko lastertasuna kalkulatu behar da t-tik t + h-ra dagoen
bitartean :
eta t finkatuz, batez besteko lastertasunarekin zer gertatzen den
ikusten da, h-ren balioak O-runtz hurbiltzen direnean.
Kalkula dezagun unean uneko lastertasuna t=3 denean.
Batez besteko lastertasuna (3, 3 + h) tartean :
.
-rantz doanean, bataz besteko lastertasuna 15 m/s-ra hurbiltzen da. Balio horri aldi bateko lastertasuna deitzen zaio, t= 3 s. denean.Beraz :
I I I. Kurba baten ukitzaileak puntu batean duen malda.
Demagun y = f(x) funtzioaren kurba (2.a irudia).Har ditzagun kurba horren bi puntu,
eta
; kurbarekin ebakitzailea den
zuzenaren hau da malda :
.
-ri h deitzen badiogu ;
Beraz,
ebakitzailearen malda honela idatz daiteke :
puntua
-rantz hurbiltzen den neurrian,
-rantz hurbiltzen da eta
-rantz jotzen du.2b irudian ikusten den bezala,
zuzen ebakitzaileak t zuzenera hurbiltzen dira, hots,
puntuan haren ukitzailea den zuzenera.Beraz, ebakitzaileen maldek ukitzailearen maldaruntz jotzen dute
puntuan.
Kurbaren malda
puntuan, puntu horretan kurbak duen ukitzailearen malda da.Hemen azaltzen den formula unean uneko lastertasuna kalkulatzeko lortu denaren antzekoa da. Horrela f(x) funtzioaren deribatuaren definiziora garamatza
IV. Deribatuaren definizioa funtzio baten puntu batean.
Demagun y= f(x) funtzioa eta
x ardatzaren puntu bat.
puntua hartzen badugu,
-tik oso gertu dagoena (h zenbakia infinitoki txikia da),
-runtz doan neurrian,
eta
lotzen dituen zuzen ebakitzaileak, kurbak
puntuan duen ukitzailearekin bat egiteko joera du.
ebakitzaileak
ardatzarekin eratzen duen angelua baldin bada, eta
ukitzaileak
ardatzarekin eratzen duen angelua baldin bada,
eta
eta
erpinak dituen hiruki zuzenean hau egiaztatzen da :
-rantz doanean eta ebakitzailea ukitzailearen zuzenki batekin bat egiten duela kontuan hartuz,
-rantz jotzen du, hau da,
puntuan kurbak duen ukitzailearenmaldarantz.Matematikoki honela adierazten da :
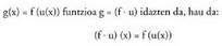
Funtzio baten deribatua puntu batean
y= f (x) funtzioa emanik, f-ren deribatua
puntuan ondoren definitzen den limiteari deitzen zaio, limite hori existitzen bada eta finitoa (zenbaki bat) bada :
eta
edo
adierazten da.
Limite hau existitzen denean (eta finitoa denean), f(x) funtzioa
Deribatuaren esanahia :
denez gero, funtzio baten deribatua
puntuan, kurbak
puntuan duen ukitzailearen malda da.• Adibideak1) Kalkula ezazu f(x) = 5x-2 funtzioaren deribatua x=1 abzisa
duen puntuan.Emaitza :
-en balioa da eskatzen dena.
Beraz,
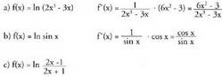
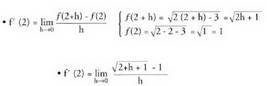
da.2) Kalkula ezazu
funtzioaren deribatua x=2 denean.Emaitza :
(zenbakitzailea eta izendatzailea zenbakitzailearen konjokatuaz biderkatuz :
)
Beraz,
3) Kalkula ezazu
funtzioaren zuzen ukitzailearen ekuazioa abzisa 3 den puntuan.Emaitzax=3 bada ;
Ukitzailea P (3,7) puntuan bilatu behar da. Zuzen ukitzailearen malda
da, beraz, zuzenaren ekuazioa :
Beraz,
da.Beraz, f'(3) = 6 da.
Ukitzailearen ekuazioa : y-7 = 6(x-3) da.. -7 = 6x-18
6x-y-11 = 0
da.
V. Funtzio baten deribagarritasuna puntu batean.
f(x) funtzioa "a" puntuan deribagarria izan dadin
existitu behar du, eta horretarako
• AdibideaAzter ezazu
funtzioaren deribagarritasuna
eta
puntuetan.Emaitza :a)
-n deribagarritasuna• h < 0 denean f (-2 + h) = 4, -2 + h < 2 delako
• h > 0 denean
delako
Beraz, eskuin limitea -4 da eta ukitzailearen malda eskubitik -4
da.Aldeetako limiteak desberdinak direnez, ez da existitzen
eta f(x) ez da deribagarria
abzisa duen puntuan.b)
-n deribagarritasuna.• h < 0 denean
delako
Beraz, ezker limitea x= 1 abzisa duen puntuan 2 da.• h > 0 denean f (1 +h) = 2(1+h) - 1 = 2h + 1, 1 + h > 1 delako
Beraz, eskuin limitea x=1 abzisa duen puntuan 2 da.Aldeetako limiteak berdinak direnez, funtzioa deribagarria da x=1 denean eta
VI. Funtzio deribatua.
f (x) funtzioa, (a,b) tarte irekian definitua, deribagarria bada tarte horretarako puntu guztietan, hau da,
-rentzat
existitzen bada, funtzio berri bat defini daiteke, "funtzio deribatua" deitua.
• Adibidea
Beraz,
VII. Jarraitasunaren eta deribagarritasunaren h arteko erlazioa.
Funtzio bat deribagarria bada puntu batean, puntu horretan
jarraia da derrigor.(Alderantziz ez da beti betetzen).Frogapena :Demagun y=f(x) funtzioa deribagarria dela
, puntuan. Funtzioa jarraia dela ikusteko
dela frogatu behar da, edo horren baliokidea dena:
Baina :
Limiteak hartuz
-rantz hurbiltzen denean :
f(x) deribagarria denez :
VIII. Deribatuak kalkulatzeko arauak.
Funtzio polinomiko baten deribatua kalkulatu nahi dugu, hasteko.
Horretarako, hau ikasi behar da lehenengo :1) f (x) = k ; funtzio konstantearen deribatua.2)
,
funtzioaren deribatua.3)
(k konstante) funtzioaren deribatua.4) Bi funtzioen baturaren deribatua.
1) Funtzio konstantearen deribatua: f(x) = k
f(x) = k bada, f(x+h) = k izango da baita ere.Beraz,
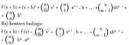
2) f (x) = x´´ funtzioaren deribatua (fn -rentzat)
Lehenengo, f(x+h) kalkulatuko dugu :
Beraz,
(beste batugai guztiak 0 egiten baitira limitea kalkulatzerakoan).
Arau hau n zenbaki arrunta denean bakarrik frogatu da, baina edozein berreketa funtziorentzat ere balio du arau horrek,
izanik.• Adibideak
3) Konstante baten eta funtzio baten biderkaduraren deribatua.
4) Bi funtzioen baturaren deribatua.
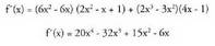
Lau arau horiek ikasi eta gero, edozein funtzio polinomikoren
deribatua kalkula daiteke.
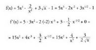
funtzioaren deribatua hau da :
• Adibidea:Demagun:
Era berean
,
funtzioaren deribatuaren ondorioak aplikatuz, funtzio hauen deribatuak kalkula daitezke.
• Adibidea:
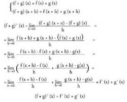
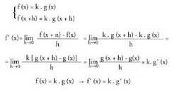
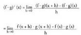
5) Funtzioen biderkaduraren deribatua
Frogapena :
(Zenbakitzailean batzen eta kentzen badugu
, emaitza hau lortuko da)
(Lehenengo bi batugaietan g (x+h) biderkagai komuna atereaz,
eta f(x) atereaz azkeneko bietan) :
(funtzioen baturaren eta biderkaduraren limiteen ezaugarriak
erabiliz)
(Horixe nahi baitzen frogatu).• Adibidea :
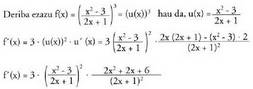
Kalkula ezazu
funtzioaren deribatua.
- Ariketak
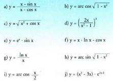
1. Kalkula itzazu funtzio hauen deribatuak
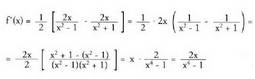
IX. Alderantzizko funtzioaren deribatua
Frogapena:
• Adibidea Deriba ezazu
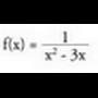
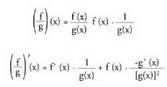
X. Bi funtzioen zatiduraren deribatua
Frogapena :
(izendatzaile komunera bihurtuz).
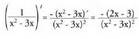
(hain zuzen ere frogatu nahi zena).• Adibidea
Deriba ezazu
- Ariketak
2. Deriba itzazu :
XI. Funtzio konposatuaren deribatua.
Katearen araua.
Normalean erabiltzen diren funtzioak, funtzio konposatutzat har daitezke. Esate baterako
funtzioa beste bi funtzioen konposaketa da :
Funtzio honen deribatua kalkulatuko dugu.
(biderkaduraren limitea limiteen biderkadura denez, eta n(x) jarraia denez
-rantz doanean
Hori da katearen arau izenez ezagutzen dena ; arau hori hiru funtzioz
edo gehiagoz osaturiko funtzio konposatuetara heda daiteke.
• Adibidea
XII. Funtzio trigonometrikoen deribatua
Arau hauek frogatuko ditugu
(Sinuen kendura biderkadura bihurtzeko formula trigonometrikoa
erabiliz).
Irudian ikus daiteke
Sin x-ez biderkatuz
.
-rantz jotzen duenean :
Beraz,
2)
kalkulatzeko,
dela kontuan hartu behar da, eta katearen araua aplikatu behar da funtzio konposatuetan.
(hain zuzen ere frogatu nahi zena)3)
denez, zatidura baten deribatua kalkulatzeko formula
• Adibideak :
Deriba itzazu :
Emaitza:
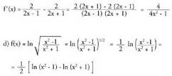
XIII. Funtzio logaritmikoen deribatuak
a) Logaritmo nepertarraren funtzioaren deribatua.
Frogapena :
(h nahikoa txikia izanik x+h>0 izan dadin)
(logaritmoen ezaugarriak erabiliz)
(logaritmo baten limitea, limitearen logaritmoa denez).
Beraz,
(hain zuzen ere frogatu nahi zena).b) Funtzio logaritmikoaren deribatua oinarria "a" izanik.
Frogapena :Logaritmoaren oinarri aldaketaren formula aplikatuz
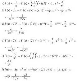
• Adibideak:Deriba itzazu :
Deribatu baino lehen, logaritmoen ezaugarri hau aplikatzea
komeni da :
Deribatuz :
Deribatuz :
Oharra : Hemen katearen araua erabili dugu, y =1n u (x) funtzioari
aplikatua :
Laburtuz :
X I V. Funtzio exponentzialen deribatua
a)
funtzioaren deribatua
da.Frogapena :
(baldintzaren bi ataletan logaritmo nepertarrak hartuz).
(Berdintzaren bi ataletan x-ekiko deribatzen bada).
(hain zuzen ere frogatu nahi zena).. )
funtzioaren deribatua
da.Frogapena :
(aurreko kasuan bezala, logaritmo nepertarrak hartuz berdintzaren bi ataletan).
XV Deribazio inplizitoa
Demagun konika baten ekuazioa hau dela :
x-ekiko deribatuz :
XVI. Funtzio trigonometrikoen funtzio alderantzizkoen deribatuak.
a) y = arc sin x funtzioaren deribatua
da. Funtzio horiek ikasterakoan ikusi zen bezala, y = sin x funtzioak alderantzizko funtzioa izan dezan, haren izate eremua mugatu behar da, hala funtzioa injektiboa izan dadin :
Deribazio inplizitoa erabiliz :
Beraz,
b) y = arc cos x funtzioaren deribatua
da.Kosinu funtzioak alderantzizko funtzioa izan dezan, haren izate eremua mugatu behar da, hala injektiboa izan dadin :
-ra hain zuzen ere.
y = arc cos x baldin bada
Deribazio inplizitoa erabiliz :
Beraz,
c) y = arc tg x funtzioaren deribatua
da. Tangentefuntzio horrek alderantzizko funtzioa izan dezan, haren izate eremua mugatu behar da, hala funtzioa injektiboa izan dadin. Hori gertatzen da
funtzioan.Beraz,
funtzioan, hau definitzen da :
Horren deribatua kalkua dezagun.y = arc tgx x= tg yDeribazio inplizitoa erabiliz :
• Adibideak :a) y = arc sin 2x
D)
c)
.
beraz, x= cotg y deribatzerakoan, inplizitoki :
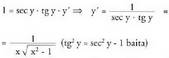
d) y = arc sec x x =sec y.Badakigu
Beraz, x = sec y inplizitoki deribatzerakoan :
Beraz,
Deribatu taula
- Ariketak
4. Logaritmoen ezaugarriez baliatuz, kalkula itzazu funtzio
hauen deribatuak.
5. y = arc sec x funtzioaren deribatua kalkulatzeko erabili
dugun metodoaz, kalkula ezazu y = arc cosc x funtzioaren
deribatua6. Deriba itzazu :
XVII. Ondoz ondoko deribatuak.
Ordena goreneko deribatuak
Funtzio bat emanda, f(x), eta funtzio hori (a, b) tartean definituz
gero.
f deribagarria baldin bada,
-rentzat funtzio berri bat defini daitekeela ikusi dugu.
funtzio deribatua izenekoa.Demagun
deribagarria dela
, hau da,
existitzen da.Deribatu horri f-ren bigarren deribatua
-n esaten zaio, eta
adierazten da.Baina
deribagarria baldin bada
-rentzat,
defini daiteke, eta bigarren funtzio deribatua deitzen da :
Era horretara ondoz-ondoko deribatuak defini daitezke :
.
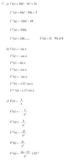
funtzio horiei, n > 2 delarik, existitzen badira, ordena goreneko deribatuak deitzen zaie.1. adibidea
2. adibidea
Idatz genezake :
3. adibidea
- Ariketa
7. Bila itzazu funtzio hauen ondoz ondoko deribatuak.
XVIII. Funtzio baten diferentziala
Demagun y = f(x) funtzioa. Abzisatzat x duen puntu bat hartuz
gero, gehikuntza txiki bat egiten zaio x+h abzisa duen puntua lortzeko
.Abzisatzat x duen puntutik kurbaren ukitzailea marrazten da, eta x + h-tik ordenatu, ardatzarekiko paraleloa den zuzen bat marrazten da, kurba eta ukitzailea ebaki arte.
baldin bada ukitzaileak OX ardatzarekin eratzen duen arngelua :
Funtzio baten diferentziala puntu batean.
y=f(x) funtzioaren diferentziala x puntuan, dy edo df(x) adierazten da, eta honela definitzen da :
Definizio horren ondorioak.
• Funtzio baten diferentziala puntu batean bi aldagaien mende
dago : x puntuaren eta hartu den h gehikuntzaren mende.•
denez, funtzio baten diferentziala puntu batean, abzisatzat x duen puntua h-z gehitzerakoan ukitzailearen ordenatuak duen gehikuntza da.y = f(x) = x funtzioa hartzen badugu,
Horrela, dx = h da, eta
idatz daiteke.Beraz :
.
denez, limitearen ideiatik,h infinitoki txikia denean
ondorioztatzenda, eta h=dx denez,
Ariketen ebazpenak