Matematika»Analisiak

Segida konbergenteak eta dibergenteak. segiden limiteak

Beste ikuspegi batetik aztertuko ditugu orain segidak. Haien gaien arteko erlazioa aztertu ordez, segidak gorakorrak edo beherakorrak diren jakiten saiatuko gara, eta batez ere oso aurrera diren gaiei buruz zer nolako jokabidea duten argitzen.

 

I. Segida gorakorrak, segida beherakorrak.

 

Definizioa :

Bedi, zenbaki errealen segida bat.segida gorakorra da baldin, eta gorakor hutsa, baldin.segida beherakorra da baldin, eta beherakor hutsa, baldinSegida bat gorakorra edo beherakorra denean monotonoa dela esaten da.Segida monotono bateko gaiak honela ordenatzen dira :Segida gorakor batean :Segida beherakor batean :

 

Nola jakin segida bat gorakorra edo beherakorra den gai orokorra ezaguturik?

inserted textN edota, bestela, baldin, edozein n-rentzatdela.Segida beherakorra da baldin:edota, bestela, baldin, edozein n-rentzatdela.• Adibideaka) Aztertu segida hau,,gorakorra edo beherakorra den.SoluzioaKenketaren bidez :Beraz, segida gorakorra da.b) Aztertu segida hau,, gorakorra ala beherakorra den.SoluzioaZatiketaren bidez :zeren

 

I I. Segida bornatua, goiko bornea eta beheko bornea

• Adibideaka) Har dezagun segida hau :Agerikoa denez, segida horretako gai guztiak 6 baino handiagoak dira. 6a, beraz, beheko borne bat da segida horretan ; -la, 5a eta 7a bera ere, beheko borneak dira. Segida batek beheko borneak baldin baditu behetik bornatua dela esaten da.Bestalde, ikusten denez, ez dago zenbakirik segidako gainerako guztiak baino handiagoa denik ; hau da, ez dago goiko bornerik ;segida ez dago, beraz, goitik bornaturik.b) Bedi orain beste segida bat :Segida honetan 1 zenbakia goiko bornea da, eta ez dago beheko bornerik. Segida beherakor bat da, lehenengo gaiak goitik bornatua.Aurreko bi adibide horien ondorioz pentsa daiteke segida gorakor batek ezin dezakeleea goiko bornerik izan eta, era berean, segida beherakor batek ezin dezakeela beheko bornerik izan. Hori, ordea, ez da hala. Ikusi, bestela, beste adibide hau :c) BediSegida hau segida beherakor bat da, eta hala ere, badu beheko bornerik, 2, hain zuzen ere, zeren zenbakitzailea izendatzailea halako bi baino handiagoa baita beti. Gainera, beherakorra den aldetik, goiko bornea du,

 

Definizioak

segida goitik bornatua izango da baldin eta badazenbakirik eta betetzen badadela.segida behetik bornatua izango da baldin eta badazenbakirik eta betetzen badadela.Goiko eta beheko borneak dituen segida bat segida bornatua dela esaten da.Adibide eta definizio horiek kontuan harturik ondorio hauek atera daitezke : a) Gai orokorreko segidetan,, goiko eta beheko borneak beti 1 eta 0 dira, hurrenez hurren.b) Segida gorakor batean, edozeinetan, segidako lehenengo gaia da beheko bornea.c) Bedidenerako definiturik dagoen gai orokorreko segida bat :.Segida beherakor huts bat da, eta, beraz, goitik bornatua dago, bere lehenengo gaiak, 6ak bornatua alegia. Bestalde, zenbakitzailea beti izendatzailea baino handiagoa denez, gai guztiak 1 baino handiagoak dira, eta 1 segidako beheko borne bat da : Beraz :eta

 

- Ariketak

1. Aztertu segida hauek gorakorrak ala beherakorrak diren kenketaren teknika baliatuz:2. Aztertu segida hauek gorakorrak ala beherakorrak diren zatiketaren teknika baliatuz :3. Aurkitu segida hauentzat beheko eta goiko borne bana :4. Froga ezazu segida hau ez dela monotonoa eta ez dagoela bornatua ez goitik ez behetik :5. Segida hau emanik :

 

I I I. Segida bateko limitea.

Segida konbergenteak eta dibergentak.

Segida bateko gaiak zer baliotarantz jotzen duten aztertu behar dugu atal honetan. Horretarako segidan oso aurrera diren gaiak aztertzea da egokiena.• Adibideaka) Segida honek, adibidez,gai guztiak positiboa eta gero eta txikiagoa dituenez, argi dago zerorantz jotzen duela. Oso aurrera diren gaiak kalkulatzean ere,eta, gero eta zerotik hurbilago diren zenbakiak lortzen dira. Hala beraz, segidaren limiteak zerorantz jotzen duela esaten da, eta honela adierazten da hori :b) Beste segida honetan, berriz,, 2 zenbakiari gero eta kopuru txikiagoak kenduz lortzen dira gaiak (aurreko adibidean ikusi denez, zerorantz jotzen dute kopuru horiek). Segidak, beraz, logikoa denez, 2-rantz joko du. Hori frogatzeko, segidan aski aurrean diren gaiak kalkulatu behar dira :. Espero izatekoa zen bezala, lortu diren zenbakiak gero eta hurbilago daude 2 zenbakitik. Segidan aurrerago diren gaiak harturik baina, are txikiago ere egin daiteke tarte hori. Hala beraz, kasu honetan, segidaren limiteak birantz jotzen duela esaten da, eta honela adierazten da :.etabezalako segida mugatu edo limitedunak segida konbergenteak direla esaten da.c) Beste segida honetan, ordea,, segidako gaiek bi balio baino ez dituzte hartzen, 5 eta -5, eta bi balio horien artean mugitzen dira, orain batera, orain bestera, etengabe oszilatzen. Horregatik segida mota hauek segida oszilatzaileak direla esaten da. Gisa honetako segida gehiago aztertuko da aurrerago.Azter ditzagun orain beste bi segida hauek :d) Bietako lehena,segida beherakorra da eta ez nago behetik bornatua. Edozein -k balioa baino balio txikiagoak har ditzake, den handiena izanik ere k hori.

Halakoetan segidak minus infiniturantzjotzen duela esaten da eta honela adierazten da :e) Beste segida, berriz,gorakorra da eta ez dago goitik bornatua.

Edozein -k balioa baino balio handiagoak har ditzake, denik eta handiena izanik ere k hori. Halakoetan segidak plus infiniturantzjotzen duela esaten da eta honela adierazten da :.eta

 

Segida konbergenteak. Limiteren definizioa.

Limiteren definizio zehatzago bat lortzeko kontuan hartu behar dira segida konbergenteei buruz esanak : alegia, segidako gaien eta limitearen arteko distantzia gero eta txikiagoa dela eta are txikiago ere zitekeela, aurrera eginez gero segidan. Segidako gai baten,, eta horren limitearen, a, arteko distantzia kalkulatzeko, batari bestea kentzen zaio eta kenduraren balio absolutua kalkulatzen da,.

Bestalde, matematiketan, kopuru positibo txiki-txiki bat adierazteko, e letra erabiltzen da,. Beraz, a segidaren limitea a izango da, baldin eta edozein e-rentzat, den txikiena izannik ere,betetzen bada segidakogaitik aurrera (-ren arabera kalkulatuko da

 

Definizioa:

segidaren limitea a izango da, alegia,, baldin eta,etaizatea betetzen bada. Definizioak zera adierazten du : segidako gaien eta limitearen arteko distantzia nahi bezain txikia izan daitekeela, e baino txikiagoa izan daitekeela, alegia, edozein eta oso-oso txikia izanik ere e hori, eta horretarako, segidangaiaz aurrera diren gai guztiak hartu beharko direla, zenbat eta txiloago e, orduan eta handiago izango delarik• Adibideak a) Segida bateko n-garren gaia harturik,, segidaren limitea 2 dela frogatzeko,inekuazioa ebatzi behar da:. Beraz,eta- ren balio bakoitzarentzatzenbat den aterako da hortik. Adibidez,, orduan, hots,Hala,-tik aurrera,inserted text. Aldiz, e= 0,001 hartzen bada, orduaneta, hala,gairaino aurreratu beharko da. izan dadin.b) Segida hau emanik,, frogatu segidaren limitea3 dela, eta aurkitu segidako zer gaitik aurrera betetzen denizatea.Soluzioaeta zatidura hori nahi adina txiki daiteke. Adibidez, O'001 baino txikiago izan dadin,gaiak izan beharko lukeen balioa kalkula daiteke inekuazio hau ebatziz :; beraz, n+2 > 11.000, eta n > 10.988. Izan ere, froga daitekeenez,; alegia, gai horretatik 3-ra dagoen tartea O'001 baino txikiagoa da. Alegia, segidan 10.998. lekua hartzen duen gairaino aurreratu behar da segidako azken gaietatik 3 limiterainoko tartea e- ren balioa (e = 0'001, aurrez zehaztua) baino txikiagoa izan dadin.

Jakina, e-ri beste balio bat emango balitzaio,-k ere beste balio bat hartuko luke. Bi balio horien arteko erlazioa inekuazio hau ebatziz lortzen da, 0'001-en lekuan e jarriz :

 

- Ariketak

6. Segida hau emanik,, frogatu segidaren limitea 2 dela, eta kalkulatu zenbat aurreratu behar den segidan, limiterainoko tartea 0'01 baino txikiagoa izan dadin, batetik, eta O'001 baino txikiagoa izan dadin, bestetik.7. Segida hau emanik,, frogatu segidaren limitea

 

Limiteen kalkulurantz

Artean ikusiriko adibideetan, limitea aurretik ematen zen, eta definizioko baldintzak betetzen zituela frogatzea eskatzen zen.

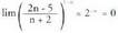
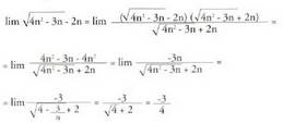
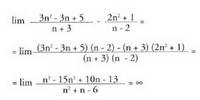
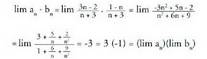
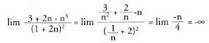
Gehienetan ordea limitea ez da ezagutzen, huraxe da kalkulatu behar izaten dena. Kalkulagailu batez, ez da zaila limitea zein izango den jakitea. Izan ere, segidan oso aurrera diren gaiak kalkulatuz lortzen diren hurbilketetatik atera baitaiteke, adibide hauetan ikusiko den bezala, zein den limitea.• Adibideaka) Kalkulatu segida honen limitea :Soluzioa Nolagaiek ez digutenaskorik lagunduko limitea aurkitzen, askoz arrerago diren gaietara joko dugu:. Beraz, limitea 3 dela esan daiteke.Ohartu nola,adierazpenean, zenbat eta handiago izan n, orduan eta eragin gutxiago dute 1 eta -2 batugaiek zatikian. Beraz, berdin idatz daiteke :Ondorio bera ateratzen da zenbakitzailea eta izendatzilea zatiegiten badira :.Izan ere, n gaiakinfiniturantz jotzen dueneanetagaiek zerorantz jotzen dute,eta zatidurak 3-rantz, beraz.b) Kalkulatu segida honen limitea :Soluzioaetakalkulatuko ditugu:. Ematen du segida handi tuz doala, baina ez dakigu edozein zenbaki gainditzeko gauza izango den -eta beraz, infiniturantz joko duen-, edota balio jakin baterantz joko duen, oso handia bada ere.Kontuan hartu,adierazpenean, zenbat eta handiago izan n, orduan eta eragin gutxiago dutela emaitzan zenbakitzailea eta izendatzailea batzen dituzten -3 eta 5 batugaiek. Beraz, berdin idatz liteke :Emaitza bera lortzen da zenbakitzailea eta izendatzailea zati n (n ber bietarik berretzaile maila txikiena duenaren berretzailerik handiena, izendatzailearena kasu honetan) egiten badira :, zeren n gaiak infinituarantz jotzen dueneangaiek zerorantz lotzen baitute.c) Kalkulatu segida honen limitea :Soluzioaeta. Limitea minus infinitudela esan daiteke. Hala den edo ez frogatzeko, zenbakitzailea eta izendatzailea zati(alegia, n ber bietatik berretzaile maila txikiena duenaren berretzailerik handiena, izendatzailearena ere bai, kasu honetan) egingo ditugu :zeren n gaiak infiniturantzantz jotzen duenean,eta, gaiek zerorantz jotzen dute.• Adibidead) Kalkulatu segida honen limitea :SoluzioaetaDirudienez, 0 zero izango du limitea. Hala den egiaztatzeko, zenbakitzailea eta izendatzailea-ren artean zatitzen dira :

 

Segida dibergenteak

Hasieran, sarrera gisa-edo, jarritako adibideetan, eta baita aztertu berri ditugun b) eta c) adibideetan ere, limite finituko segidak ez ezik -limite konbergentak, alegia- plus edo minus infinturantz jotzen duten segidak ere azaldu dira, segida dibergenteak alegia.

Orain, horiek zer diren definitzen saiatuko gara.Segida batekinfinturantz jotzen duelaesaten da, baldin eta K balio batentzat, edozeintzat, den handiena izanik ere, segidako gai batetik aurrera, alegia-tik aurrera gai guztiak K baino handiagok badira. Hau da :. Eta limite finituaren definiziorako erabili den notazioa baliatuz :Definizioa :, baldin eta soilik baldinnonMinus infiniturantz jotzen duten segiden definizioa ere antzekoa da.Definizioa :baldin eta soilik baldinnonda.• AdibideaLimiteaduen segida hau emanik,, aurkitu segidako zer gaitik aurrera den an < -100.000.SoluzioaInekuazioa ebatzi : 5 - 3n < -100.000, -3n < -100.005, n > 33.335.

Beraz,, eta. gaitik aurrea, segidako gai guztiak - 100.000 baino txikiagoak ira.

 

- Ariketak 3n- 1 1 + n

8. Kalkulatu ondoko limiteak balio handiak emanez n-ri.

Frogatu emaitza bera ateratzen den zenbakitzailea eta izendatzailea zati berretzaile maila txikiena duenaren berratzaile handiena egitean edo n handitzean garrantzia galtzen duten gaiak arbuiaturik.

 

IV Segiden arteko eragiketak

Bitez bi segida:eta.

Kalkula ditzagun haien limiteak :. Bi segidak gaiz gai batuta edo haien n-garren gaiak batuta,emaitza bera da :eta limitea, beraz :. Bestalde, n-garren gaien limitea ere :Batuketari buruz esanak biderketarako ere berdin-berdin balio du :

 

Segida konbergenteen tasunak

Baldin, orduan...:1.2.3.4.eta5., non eta a eta b ez diren biak zero.6., non eta ez den a < 0 eta p bikoiti.Tasun horiek aplikatuz limite asko kalkula daitezke, ez denak ordea. Zer gertatzen da, adibidez, limdenean, baldin etabada? Ikus ditzagun adibide batzuk :a ) Bitez bi segida,eta,eta horien limiteak,etaBeraz,b) Aldiz, baldinbada (b) Aldiz, baldin b n = - 2 bada (b -k zerorantz jotzen duela orainere, eta-k, berriz, aldagabe irauten duela), orduan :c) Gauzak are gehiago korapilatzen dira, ordea,denean. Orduan,

 

0/0 indeterminazioa

Zenbakitzaileak ez ezik izendatzaileak ere zerorantz jotzen duenean azaltzen da kasu hau. Indeterminazioaz, ordea, ez dago erregela orokor bat ; kasu partikular bakoitza aztertu behar da, zeren, zenbakitzailearen eta izendatzailearen segidak nolakoak, limitea zenbaki finito, zero edo infinitu izan baitaiteke. Hiru adibide aztertuz ikusiko da hori :• 1. adibidea BitezOrduan,• 2. adibideaBitezetaetaOrduan,• 3. adibideaBitezetaetaOrduan,

 

Zenonen paradoxak

Zenon Eleakoa filosofo greziarra K.a. V mendean bizi zen. Parmenidesen ikasle eta laguna izan zen, eta Eleako filosofia eskolako filosofo nagusia.

Eskola horretako filosofoek izatearen batasuna eta iraunkortasuna defenditzen zuten bitartean, beste filosofo batzuek, aldiz, Pitagorasen jarraitzaileek, esate baterako, aniztasuna eta mudantza defenditzen zuten.

Batzuen eta besteen arteko tirabira horietan, Zenon gailendu zen : metodo filosofiko berri bat asmatu zuen, dialektika, eta higidura ezinezkoa dela frogatu zuen, behatze hutsak bestela erakusten badu ere. Baina higidura izan, badenez, arrazoibide itxuraz egiazko horiei "Zenon paradoxak" esaten zaie. Horien artean ezagunenetako bat Akilesen eta dortokaren arteko pasadizoa da. Zenonek segidaren ideia erabili zuen paradoxa horretan eta horregatik da guretzat interesgarria. Honela dio :"Akiles hanka-arinak dortoka bat ikusi eta hura harrapatzea erabaki zuen. Lasterka abiatu zen haren atzetik, baina dortokoa zegoen lekura iritsi orduko, dortoka, oso-oso poliki mugitzen bazen ere, mugitu zen pixka bat aurrera, lekuz aldatu zen. Akiles, orduan, berriz abiatu zen haren atzetik, baina dortoka ikusi zuen lekura iristean, hura ez zegoen jada han, lekuz aldatua zen berriro. Nahi adina aldiz errepika daiteke prozesua, baina Akiles eta dortoka ez dira sekula leku berean aldi berean egongo : Akiles iristerako dortoka alde egina izango da. Akilesek ezingo du sekula harrapatu. "Higidura ez da esistitzen, dena da batasuna eta egonkortasuna, bukatzen zuen Zenonek. Akilesek ez duela dortoka harrapatuko esatea, Akilesen eta dortokoaren arteko distantzien segidak ez duela zerorantz jotzen esatea bezala da, edo zerorantz jotzen duela baina ez duela limiterik esatea.

Akiles dortoka baino esate baterako hamar aldiz bizkorrago joango balitz, distantzia-ren arabera gutxituz joango litzateke (d = hasierako distantzia ; n = Akiles zenbat aldiz saiatzen den). Zerorantz jotzen duen segida bat da. Zenonek adierazi nahi duena da, dortoka harrapatuko bazuen, Akilesek infinitu ahalegin egin beharko zituela. Zenonek Akilesen ahalegin guztiek denbora jakin bat behar dutelako ideia erabili zuen, kontuan hartu gabe denbora, ahaleginetik ahaleginera, laburtuz doala, hau da, ahalegin bakoitzeko zerorantz jotzen duen beste segida bat osatzen dutela denborek. Gainera, denbora partzial infinituen batura -alegia, matematiketan segida esaten dena- konbergentea da, eta, beraz, Akilesek harrapatu, harrapatzen du dortoka.

 

- Ariketak

9. Kalkulatu limite hauek:10. Asmatu bi segida, limitea 0 eta haien arteko zatiduraren limitea 0 ez beste dutenak.11. Asmatu bi segida, limitea 0 izan eta lim

 

V. Segida dibergenteen arteko eragiketak

Infiniturantz edo minus infiniturantz jotzen duten bi segida dibergenteen artean ere egin daiteke zenbait eragiketa.Baldineta. Hau da,BaldinetaHau da,Ordea, baldin bietako batek infiniturantz eta besteak minus infiniturantz jotzen badute, orduan, bi segiden baturaren limiteaeta

 

Infinituen arteko konparatzea

Hasteko, ikus ditzagun adibide batzuk :Bedieta. Orduan :., eta,etaarteko baturak norantz jotzen duen jakiteko, segidan oso aurrera diren gaiak kalkulatuko ditugu, zeren,-ren koefiziente 100 dela eta, lehenengo gaiek huts eginaraz diezagukete :. Baina. Beraz,. Aitzitik, baldin, eta, orduan :

 

Definizioa

Baldin, eta, eta , gainera,; orduanda ordena goragoko infinitua. Baldin, eta, eta, gainera,; orduanda ordena goragoko infinitua.

Baldin, eta, eta gainera,; orduanetaordena bereko infinituak dira.Definizio hori kontuan harturik, infinituak konparatzeko erregela hauek eman daitezke.a) Bi segiden gai orokorra n-ren berredura positibo bat biderkonstante bat baldin bada, bietatik zeinek duen berretzaile handiena,hori da goren ordenako infinitua. Baldin, eta, esate baterako; orduan, b ,, da ordena gorenekoa da, zeren :Baldin eta segida baten gai orokorra polinomio bat bada, goren ordenako gaiak -maila handiena duenak, alegia- adieraziko du haren limitea. Hala,segidak, maila handieneko gaiaren koefizientea positiboa denez, infiniturantz jotzen du.

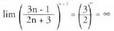
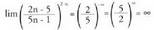
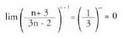
Aitzitik,; segidak minus infiniturantz jotzen du.b) Bi segiden gai orokorrak n mailako berreketak baldin badira (berrekizuna 1 baino handiagoa duelarik), berrekizun handiena duena goren ordenako infinitu bat da. Adibidez :, etabaldin badira ; orduan, b goren ordenakoa da, zeren :Beraz, hortik ateratzen denez halaber :segidak minus infiniturantzjotzen du, eta infiniturantz, aldiz,segidak.c) Bi segidetatik, baten gai orokorra n mailako berreketa baldin bada (berrekizuna 1 baino handiagoa duelarik), eta bestearena n- ren berreketa (berretzailea positiboa duela), esponentziala duena goren ordenakoa da. Adibidez :, etabaldin badira ; orduan,goren ordenakoa da. Hori n-ri balio handiak emanez (75-tik gorakoak) frogatzen da. Beraz,segidak minus infiniturantzjoko du zeren eta beste honek, berriz,, infinturantzBiderkadurak, ordea, ez du aparteko arazorik :

 

a) n mailako polinomioen arteko zatidura.

indeterminazioaErregela eman aurretik, izan daitezkeen hiru kasuak aztertuko dira adibide banaren bidez.• 1. adibideazerenetaLehenbizi izendatzailearen eragiketa burutu da ; gero, zenbakitzailea eta izendatzailea zati berretzailea handiena duen n-ren berredura egiten da (, kasu honetan). Ondorioa : n maila bera duten bi polinomioen arteko zatiduraren limitea maila handieneko koefizienteen arteko zatiduraren berdina da.• 2. adibideaZenbakitzailea eta izendatzailea zati bietatik berretzaile txikiena duenaren n-ren berredura handiena egiten da (n, kasu honetan).

Araua : n mailako bi polinomioen zatiduraren limitea, zenbakitzailearen maila izendatzailearena baino txikiago denean, zero da.• 3. adibideaAurreko kasuan bezala, zenbakitzailea eta izendatzailea zati bietan berretzaile txikiena duenaren n-ren berredura egiten da (kasu honetan).• 4. adibideaZenbakitzailea eta izendatzailea zatiegin da, hori baita izendatzailearen berredura handiena. Horretarako, parentesi barruan, zati n egiten da.Emaitza orokortuz, zera esan daiteke : zenbakitzailearen maila izendatzailearena baino handiagoa denean, n mailako bi polinomioen arteko zatiduraren limiteada baldin zenbakitzailearen eta izendatzailearen maila handieneko gaiak zeinu bera baldin badute etada, berriz, kontrako zeinua badute.Laburbilduz :Bedin mailako bi polionomioenarteko zatidura, orduan : BaldinBaldinBaldin p > q, eta a-ren eta b-ren zeinuak berdinakBaldin p > q, eta a-ren eta b-ren zeinuak desberdinak• AdibideakOhar zaitez zenbakitzailea eta izendatzailea zati n egiten badira erro barruan diren gaiak zati

 

b) Infiniturantz jotzen duten segiden kendura.

indeterminazioaKasu honetan ere ez da erregela orokorrik limiteak kalkulatzeko.

Izan ere,etaaldatzean aldatu egiten baita limitea ere. Badira ordea arau batzuk. Limite hauek bi kasuren arabera sortzen dira.

Ikus dezagun, beraz, adibide batzuen bidez, nola ebazten diren limiteok.• 1. adibidea• 2. adibidea• 3. adibideac) Segiden berredura.1. kasua Baldin, etaAdibidea:2. kasua Baldin, etaAdibidea :3. kasua BaldinAdibidea :Adibidea :4. kasua Baldin, etaAdibidea :5. kasua Baldinizanik 0 < a < 1 , etaAdibidea :6. kasua Baldin, izanik 0 < a < 1, etaAdibidea:7. kasua BaldinetaAdibidea:8. kasuaBaldin, etaAdibidea:

 

Limite indeterminatuak

Limiteen berreduretan, zenbait kasutan, limitea indeterminatua da, eta kasuz kasu aztertu behar da. Kasu hauek izan daitezke :Hori guztia taula batera bil daiteke :

 

- Ariketak

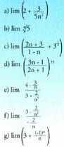
12. Kalkulatu limite hauek, limiteak konparatzeko erregelak kontuan hartuz :

 

- Ariketak

13. Kalkulatu !imitC hauek :14. Kalkulatu limite hauek :

 

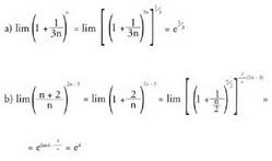
V I. 1´ indeterminazioa. e zenbakia

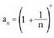
eta gisako limiteez arituko gara orain, hau da, berrekizunak 1-erantz eta berretzaileak infiniturantzjotzen duten berreketa gisa adierazten diren horiez.Azter dezagun, adibidez, segida hau,, eta kalkula ditzagun hura osatzen duten gaietako batzuk:Segida gorakorra eta goitik bornatua da, limiteduna, beraz. Limite horren hurbileko bat lortzeko, segidan oso aurrera diren gaiak kalkulatuko beharko dira.Ikusten denez, hirugarren zifra hamartarrak aldagabe irauten du 10.000. gaiaz geroztik, eta berdin 5. zifra hamartarrak 100.000.. aiaz geroztik. Segida horren limitearen 6 zifra zehatz lortu da, beraz. Limite horri e zenbakia esaten zaio, eta zenbaki transzendentea da.Esandakoaren arabera :Aurreko segida horren limitea ez ezik berrekizunak 1-erantz eta berretzaileak infiniturantzjotzen duen berredura gisa adierazita dauden -hau da,indeterminazioa ematen duten- segida gehienen limitea kalkulatzeko bidea emango digu horrek.Ikus dezagun zenbait kasu :eta oro harORO HARBaldin, etaFroga :AdibideakLimiteak kalkulatzeko, prozesu hau jarraitu da :a)gisako indeterminazioa den frogatzen da.b) Zenbakitzailea zati izendatzailea egiten da, eta gisa honetara adierazten oinarria :d) Berretzailea bider zenbakitzailean geratu den adierazpena eta horren alderantzizkoa egiten da, berretzailea alda ez dadin. Etaizendatzen bada, gisa honetako adierazpen bat r(n) geratzen da :Segiden berredura baten limitea oinarriaren limitea ber berretzailaren limitea dela aplikatuz, eta kontuan hartuz e zenbakia dela oinarriaren limitea, hau emaitza da :

 

e zenbakia

Zenbaki erreala da e zenbakia, eta, gutxi gorabehera, balio hau du :e = 2,71828182845904523536028Zenbaki traszendentea da e, hau da, ezin da adierazi zenbaki osoen erro edota zatidura kopuru finitu baten bidez.XVII. mendean azaldu zen lehenbiziko aldiz, logaritmo nepertarren oinarri gisa. Harrezkero matematikaren alor guztietara zabaldu da. Izena, e zenbakia, Euler matekari suitzarrak jarri zion 1748an, bere Introductio in Analysis Infiniturum liburuan.Modu askotara lor daiteke e zenbakia.Segiden limite gisa, adibidez :Serie gisa :Zatiki jarrai ez-periodiko gisa :Eta beste era askotara.Erabili ere, gauza akostarako erabil daiteke. Analisian adibidez sarritan erabiltzen da oinarritzat e zenbakia duen berreketa funtzioa :Kontu batean, kapitalizatze Jarraiko interes finkoan ezarrita dagoen kapitalaren bilakaera adierazteko balio dezake, adibidez, funtzio horrek.

Gai baten urritzea adierazteko era balio dezake, baldin eta, gai erradiaktiboen desintegrazioan bezala, geratzen den masaren arabera urritzen bada.

Edo populazioaren gehikuntza adierazteko, baldin eta, aldeko ingurunean eta harraparirik gabe bizi diren espezieetan gertatzen den bezala, duen banako kopuruaren arabera gehitzen bada.Bi gakotatik zintzilik dagoen soka edo katea baten forma adierazteko ere balio du. Forma hori bera du funtzioaren grafikoak. Kateanaria deitzen zaio, eta ekuazio honen bidez adierazten da :Stirling-en formulan ere, n oso handia denean n-ren faktoriala hurbiltzeko erabiltzen den formulan alegia, azaltzen da e zenbakia :Baita probabilitate problemetan ere. Idazkari batek n karta n pertsonei zuzenduriko sobre banatan aliritzira sartzen baditu, nork berea ez duen karta hartzeko probabilitatea, n asko handitzen denean, hau da gutxi gorabehera: 1/e =_ 0,367...Baina berdintza harrigarriena, zenbaki konplexuak erabiliz lortzen dena da:Matematikan diren hiru zenbaki famatuenak elkarrekin batera daude berdintza horretan : e zenbakia, i irudizko banakoa, eta

 

- Ariketak

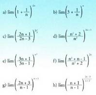
15. Kalkulatu limite hauek :

 

Eranskina

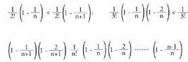
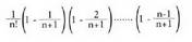
a) Gai orokorraduen segida beherakor hutsa da.Froga Frogatu behar daizatea, eta horretarako, elkarrekin konparatu behar dira bi gaiak, `Newtonen binomioaren" formulaz baliatuz :.segidako gai bakoitzasegidan dagokiona baino txikiagoa da, edo berdina. Lehenego biaI berdinak dira, baina gero :Gainera,, segidak gai bat gehiago dubaino:Beraz,; segidagorakorra da.b)segida goitik bornatua dago, 3-k bornatua hainzuzen.FrogaSOLUZIOAK1.. )Gorakorra, beraz.. ). Gorakorra, beraz.2.. )Beherakorra, beraz.. ). Beherakorra, beraz.3.a) Beheko bornea zero edo zero baino txikiagoa, eta goiko bornea 1 edo 1 baino handiagoa.b) Beheko bornea 2 edo 2 baino txikiagoa, eta goiko borneaedoren baino handiagoa.c) Beheko borneaedobaino txikiagoa, eta goiko bornea 1 edo 1 baino handiagoa.4.Ez da monotonoa, gaiek zeinuak txandakatzen dituzte. Ez dago goitik bornatua, zeren edozein K kota K-aren zati osoaren ondoko zenbaiki bikoiti osoa K baino termino handiagoa baita, eta azpitik ere ez dago bornatuta, zeren -K-aren zati osoaren ondoko zenbaiki bakoiti osoari K baino termino txikiagoa baitagokio.5..Goiko borneak : 3 eta 3 baino handiagoak. Beheko bornea: 2 edo 2 baino txikiagoak. 2,999999 ez da goi-borneetako bat,eta hurrengoak handiagoak baitira hura baino.6., baldin etaBeraz, limitea 2 du. Baldin e = 0,01, orduanBaldin 0,00005, orduan7., baldinBaldin e = 0,001, orduanBaldin e = 0,00005, orduan. Beraz,edo hurrengoak.8.a) 1 = 5 ; 1/n duen batugaia arbuiatuz lortzen da.b) 1 = -2 ; zenbakitzailea eta izendatzailea zatiegitean etazatitzen dituen batugaiak arbuiatzean geratzen dena da.c); zenbakitzailea eta izendatzailea zatiegitean, zenbakitzailea eta izendatzailea 3n eta -1 dira hurrenez hurren.d). Zenbakitzailea eta izendatzailea zati n egitean, zenbakitzailea eta izendatzailea 5n eta 3 dira hurrenez hurren.e) 1 = 5. Lehenengo batugaia 2 da, eta bigarrena, zenbakitzailea eta izendatzailea zati n egitean, 3/1.9.c) 0 ;gaiak menperatzen baitu.f)zenbakitzailean eta -3n izendatzailean baitira indartsuenak.g)bider erroen batura.h) 9i) 0j) 1, izendatzaile komuna ateraz