Matematika»Konbinatoria

Konbinatoria

 

Sarrera

Konbinatoria multzo finito baten elementuak hautatzeko edota ordenatzeko dauden era desberdinak aztertzen dituen matematikaren alorra da. Elementuak hautatzeko eta ordenatzeko arau jakin batzuk daude, eta batez ere, arau horiei jarraituz osa daitekeen taldeen kopurua du aztergai konbinatoriak. Taldeak osatzeko kontuan hartu behar izaten diren baldintza ohikoenek talde bakoitzean elementu guztiak ala batzuk bakarrik hartzen diren, elementuak errepika daitezkeen ala ez, eta elementuen ordenak eragina duen ala ez adierazten dute.Ezar daitezkeen baldintzak hainbat motakoak izan daitezkeenez, ordea, konbinatoriako problemak era askotakoak izan daitezke. Problema arruntenak konbinazioak, aldakuntzak eta errepikatu gabeko ala errepikatuzko permutazioak dira. Sarri askotan problema bat ebazteko, problema hori kasu ezagunetara eramaten duten problema txikiagoetan deskonposatu behar izaten da. Orokorrean, konbinatorian jarraitu behar den metodologia ez da analisian bezain uniformea, problemak ebazteko era desberdinak egon daitezkeelako. Hau dela eta, konbinatorian bereziki aplika daitezkeen kontzeptu batzuk berrikustea komenigarria da.

 

Konbinatoriaren jatorria

Konbinatoria modernoak Pascal eta Leibnitzen idatzietan du jatorria, beraz, alor nahikoa berria da. Haien aurreko garaietan ez zen aurreramendu handirik egin alor honi dagokionez mendebalean ; ekialdeko zibilizazioetan, Indian eta Txinan egin ziren aurrerapen nagusiak XVII. mendea bitarrean.Konbinatoriaren lehenengo urratsak aritmetikako problemekin erlazionaturik daude, erroak ateratzearekin adibidez, edo aljebrarekin, binomioen berredurarekin, esaterako. Horrez gainera konbinatoriako gaiak agertzen ziren erlijioan edo igarmenean ere : txinatar karratu magikoetan, juduen Cabalan edo Ramon Llull Beatoren eskema konbinatorioetan, hain zuzen ere.Aldaketen liburua, edo I Ching, aintzinako ezagupide txinatarren bilduma bat da, K.a. VII. mendetik aurrera argitara emana. Liburu honetan bi elementutatik abiatuta -Yang eta Yin- hirunakako edo seinakako zenbat talde desberdin osa daitezkeen aztertzen da. Bere helburua zoriz hartutako hiru edo sei ikur erabiliz etorkizuna asmatzea da. Yang edo Yinekin osa daitezkeen segidak ezagutzea konbinatoriako problema bat da, eta igarmenari lotuta dagoenez, Txinan interes handia sortu zuen gure aroa baino lehenagotik.Bestalde, Indian, dirudienez K.a. VI. mendeko medikuntzako idatzietan agertzen dira lehen aldiz konbinatoriako arazoak ; oinarrizkoak diren sei zapore erabiliz, zenbat zapore desberdin lor daitezkeen azaltzen saiatzen dira besteak beste. K.a. 11. mendean Pingala liburuak silaba luze edo motzen kopuru jakin batetik abiaturik poesian zenbat erritmo desberdin eman daitezkeen aztertzen du (sei silabekin zortzi aukera desberdin hain zuzen). Gure aroko VI. mendean badirudi Indian ezagunak zirela konbinazio kopurua kalkulatzeko formulak. Bhaskararen Lilivati liburuan, XII.. endean gutxi gora behera, konbinazioen hainbat problema ebazten dira.Konbinatoriako problema bezala har daiteke, halaber, Txinan aintzinatik aztertua izan zen karratu magikoen problema ere, nahiz eta problema horrek ez duen aplikazio asko eta hori dela eta ez den hemen aztertuko . Karratu magiko bat 1 -etik n--ra zenbaki multzo bat da, n lerro eta n zutabetan ordenatua halako eran non lerro bakoitzean dauden elementuen batura berdina baita.Adibidez 9 zenbakiekin K.a. I. mendean txinatar idatzietan azaltzen den karratua kalkula daiteke.XIII. mendean Yang Huik 9x9 ordenako karratu magiko bat eman zuen. Arestian, XVIII. mendearen bukaeran, Euler suitzarrak karratu magikoak aztertu zituen, eta XX. mendean, haren ustea zuzena zela frogatu da : ez dago 6x6 karratu latino ortogonalik, hau da, 6x6 karratu batean graduazio eta errejimentu desberdinetako sei ofizial nolanahi ordenatuta ere, ez da lortuko lerro eta zutabe bakoitza graduazio eta erregimentu desberdineko ofizialez osatzea. Hala ere, 1Ox10 karratu magikoak ezinezkoak direla ere uste izan zuen, eta uste hori ez da zuzena. Gaur egun, hainbat eta hainbat kasu frogatu behar direla-eta ebazten zailak ziren elementu finitoen problemen kalkulua asko erraztu da ordenagailuei esker.Badirudi, txinatarrek eta indiarrek aztertu zutela, halaber, triangelu aritmetikoa. Triangelu aritmetikoa Pascal edo Tartagliaren triangelua izenez ere ezagutzen da, edota koefiziente binomialen triangelu izenez.Mendebalean, Ramon Llullek (Palma de Mallorca 1232-1315) konbinatoria ezagutzeko interesa sortu zuen. Zuzenak diren proposizioak lortzeko metodo unibertsal bat proposatu zuen, hitz idatziak gurpiletan, triangeluetan edo laukietan nahastuz. Nahasketa hauekin era guztietako egiak -kristau erlijioarenak barne- frogatzea zuen helburu, eta bere metodoa erabiliz, musulmanak kristautasunera limurtzea. Bere ideiak ArsMagna liburuan eta beste obra askotan bildu zituen. Konbinatoriaren alorrean prozedura deskribatzaileak erabili zituen prozedura matematikoak baino areago ; beraz, ez zuen aurreramendu handirik ekarri. Nolanahi ere, Erdi Aroan eta Berpizkundean eragin handia izan zuen ; besteak beste, Llull izan zen olerkiak katalanez idatzi zituen lehenengoetakoa.

Aipagarria du "Llibre d'amic i d'amant " olerki liburua.Juduen artean Cabalari azaltzen dira konbinatoriako problemak, Erdi Aroan eta Berpizkundean zenbakiak, hizkiak eta betiko salbaziorako bideak nahastuz.Azkenik, XVIIL mendean zehar finkatu ziren konbinatoria sistematikoki tratatzeko oinarriak, probabilitateen kalkulu problemak, koefiziente binomikoak eta logikako problemen oinarriak aztertuz eta ebatziz.

Horrela, Pascalen "Triangle Aritmetique" (1654) eta Leibnitzen "Dissertatio de Arte Combinatoria" (1666) liburuak gaur egungo konbinatoriaren abiapuntutza hartuak dira.

 

I. Metodologia

Konbinatoriako problemak ebazteko era baliagarri orokor bat ez badago ere, badaude hainbat metodo, kasu askotan baliagarriak izan daitezkeenak. Hasteko, badira bi bide beti saiatu beharrekoak :- Problema sinplifikatu. Enuntziatuak esaten badu baldintza jakin batzuetan 50 pertsonen artean 20 hautatu behar direla, horren baliokide izango den problema bat planteatu behar da zenbaki errazagoez (txikiagoez) baliaturik ; alegia, 5 pertsonen artean 2 hautatu. Era honetan errazagoa izango da zerrendak eta eskemak egitea, emaitzak behatzea eta orokorrean aplika daitezkeen legeak ateratzea.- Problemaren terminoak sinplifikatu. Agirresarobe, Barkaiztegi, Urretabizkaia eta Zuazabeitia abizenak dituzten lau pertsona ordenatu behar badira, izen horiek A, B, U eta Z letrez izendatzeak, edo era horretako sinplifikazioak egiteak, problema errazten du.

Bukaeran berriro abizen osoak eman daitezke, beharrezkoa izanez gero.Sinplifikazio hauek ondoren aipatzen diren bideak erabiliz kalkuluak egiteko aukera ematen dute :- Zuhaitz diagramak. Probleman azal daitezkeen kasu guztiak ezagutzeko aukera ematen dute.Adibidez: hiru seme-alaba dituen sendi batean, seme-alabak sexuaren arabera ordenatuz gero, zenbat kasu desberdin izan daitezkeen jakin nahi da ; alegia, mutila, mutila, mutila izango litzateke kasu bat, mutila, mutila, neska beste kasu bat, etab. Adinaren arabera nagusia, erdikoa eta txikia badira, eta sexuaren arabera o (mutila) eta a (neska) izendatzen baditugu, honela osatuko litzateke zuhaitz diagrama :8 kasu posible daude beraz. Nagusitik txikienera ordenatuta : : (mutila, mutila, mutila), (mutila, neska, mutila) , etab.- Zerrendak. Ez dira zuhaitzak bezain erabilgarriak baina problema batzuetan lagungarriak izan daitezke. Zerrendak erabiltzerakoan elementuen artean ordena jakin bat markatzea komenigarria da, alegia, txikienetik handienera zenbakiak badira, edo alfabetoaren arabera hizkiak badira :Adibidez, 1, 2, 3, 4 zifrez bi zifrako zenbat zenbaki osa daitezkeen jakin nahi da. Txikienetik handienera : 11, 12, 13, 14, 21, 22, 23, 24, 31, 32, 33, 34, 41, 42, 43, 44 izango lirateke.- Diagrama kartesiarra. Bi multzotako elementuak parekatu behar direnean izan daiteke erabilgarria.Adibidez, 3 mutil eta 4 neska daude. Dantza egiteko zenbat bikote desberdin egin daitezke?Neskaketa mutilakizendatzen baditugu :

 

I I. Multzoen bilketa eta biderkadura kartesiarra

Multzo baten elementuen kopuruari edo kardinalei dagozkien bi propietate daude konbinatorian aplikazio ugari dutenak :- Baldin eta multzoa bi multzo disjunturen bilketaren bidez sortua bada, bilketaren elementu kopurua bi multzoen elementu kopuruen arteko batura izango da. Adibidez, baserri batean behiak eta oiloak badaude, animalia kopurua behi kopurua gehi oilo kopurua izango da. Propietate hau bi multzoek elementu amankomunik ez dutenean bakarrik betetzen da. Izan ere, lau pertsonari abestea gustatzen bazaie eta hiruri dantza egitea gustatzen bazaie, litekeena da lau pertsona bakarrik izatea orotara eta horietako bati dantza egitea ez gustatzea, eta litekeena da, halaber, zazpi pertsona izatea eta hauen artean dantza egitea eta abestea, biak, gustatzen zaionik inor ez egotea.- Bi multzoren arteko biderkadura kartesiarraren elementu kopurua bi multzoen elementu kopuruen arteko biderkadura izango da. Multzo bateko elementu bat eta beste multzo bateko beste elementu bat hartuz, osa daitezkeen bikoteen kopurua bi multzoen elementu kopuruen arteko biderkadura da. Aurreko adibidea, diagrama kartesiarrarena, da adibidez biderkadura kartesiarraren adibide bat.Metodo orokor hauek konbinatoriako hainbat problema ebazten laguntzen dute ; baina zailtasun nagusia kasu orokorra deskonposatzerakoan sortzen diren problema txikiak ebazten datza.

Esaterako, gosaltzeko kafe hutsa ala kafesnea, edota tea limoiaz ala tea esneaz har badaitezke, guztira eskaintzen diren aukerak 2 + 3 = 5 dira ; beste askotan ordea, ez da hain erraz egiten problema bateko kasu posibleen kalkulua. Biderkadura kartesiarraren adibide bat izan daiteke : ekipo batek 4 margoko kamisetak eta hiru margoko galtzak ditu aukeratzeko. Zenbat uniforme desberdin jantzi ditzakete jokalariek? Uniforme bakoitza bikote ordenatu bat da, beraz, guztira

 

- Ariketak

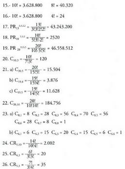
1.- Jatetxe batean eguneroko menuan 1. platerarako 4 aukera dituzte, 2. platerarako 3 aukera eta postrerako 5 aukera. Zenbat menu desberdin osa daitezke?2.- Bost alkandora, 3 galtza pare eta 3 zapata pare badituzu, zenbat jantzi desberdin osa ditzakezu?3.- Herrialde batean autoen matrikula osatzeko alfabetoko lehenengo hogei letren artean hautatutako hizki bat jartzen da eta gero 1000-ren artean hautatutako zenbaki bat. Zenbat matrikula desberdin atera daitezke?4.- Antzinako problema bat : zazpi atso Erromarantz doaz, zazpina mandorekin, mando bakoitzak zazpina zaku daramatza, zaku bakoitzean zazpina ogitzar daude, ogitzar bakoitzak zazpina aizto ditu eta aizto bakoitzak zazpina leka. Zenbat gauza daude guztira? (Fibonacci Liber Abaci, Italia XIII. mendea)

 

I I I. Errepikatuzko aldakuntzak

k-naka harturiko n elementuen errepikatuzko aldakuntzak n elementu horietatik k elementuak hartu eta ordenean jarriaz, bainaelementuak errepikatzen direla, osa daitezkeen taldeak dira.

Adibidez : AEO elementuak ditugula, binaka hizki hartuaz ondoko errepikatuzko aldakuntzak lortuko dira :Beraz, AA, AE, AO, EA, EE, EO, OA, OE, 00 dira. Hau da, k elementuz osatutako multzoak dira, non 1. elementua edo 2.a edo k.a, n horietako edozein izan daitekeen. Beraz, aurreko puntuan ikusitako biderkadura kartesiarraren kasu berezi bat da, non multzo berbera k aldiz errepikatzen den. Multzo kopurua kalkulatzeko nahikoa litzateke hemen ere biderkadura egitea. Adibidez, 10 korrikalarik 3 lasterketa egiten badituzte, lasterketetako irabazleen zerrenda osatzeko zenbat era daude?Lehenengo lasterketa 10 korrikalarien artean edozeinek irabaz dezake, bigarrena berriz ere 10-en artean edozeinek ; 1. lasterketa irabazi duenak, 2.a ere irabaz dezake ; eta gauza bera 3. lasterketan.Beraz :Hau da, 3-rekin biderkatzen da multzoan dagoen elementu kopurua. Beraz, bat dator biderkadura kartesiarrarekin.Orokorrean multzoak n elementu baditu eta aldakuntzak osatzeko k elementu hartzen badira, gerta litezkeen kasu guztiak formula honen bidez aterako ditugu :

 

- Ariketak

5.- Ordenagailu batean "bit" izenekoa da oinarrizko informazio banakoa; bitak bi aukera bakarrik onartzen ditu : 0 eta 1. Informazio hauek 8 bit-ek osatutako byte izeneko talde ordenatuetan sailkatzen dira. Esaterako 01010010 edo 10001011. Zenbat byte desberdin lor daitezke?6.- Zenbat auto matrikula desberdin lor daitezke 25 hizkien artean 3 hizki eta ohiko 10 zifren artean (0 9) 5 zifra hartzen dituen herrialde batean? (Matrikuletan zifrak eta letrak errepika daitezke).7.- Kiniela bat egitean, kiniela osatzen duten 15 partiduen aurrean ,l, X edo 2 jartzen da; 1, etxean jokatzen duen taldeak irabaziko duela pentsatzen bada, X, berdindu egingo dutela pentsatzen bada eta 2, kanpokoak irabaziko duela pentsatzen denean. Zenbat kiniela desberdin egin daitezke?

 

IV. Ohiko aldakuntzak

k-naka harturiko n elementuen aldakuntza esaten zaie k-nako elementu sailekin osa daitezkeen talde bakoitzari, talde guztietan k elementu desberdinek parte hartzen dutela, eta talde guztien arteko desberdintasuna elementuren bat edo elementuen ordena dela.Aldakuntza kopuruaadierazten da gazteleraz ("variaciones"),frantsesez ("arrangements"). Liburu batzuetanedoazaltzen da. Kalkulagailuetan eta ingelesezko liburuetanAdibidez, 3 margoko banderak egin nahi dira oihal gorria, berdea, urdina eta txuria erabiliz. Margoak beti zerrenda horizontaletan jarriaz, zenbat bandera desbedin egin daitezke hiruna margokoak?Lehenengo zerrenda 4 kolore horietako edozeinetakoa izan daiteke, erdikoa gelditzen diren 3 margoetatik batekoa izango da eta 3. zerrenda oraindik erabili ez diren beste bi margoetako batekoa.

Beraz, guztira :Orokorrean, n margo kopurua bada eta k zerrenda kopurua, 1.. errenda osatzeko n era izango dira, 2. zerrenda osatzeko n-1 era, 3. zerrenda osatzeko n-2 era eta azkenik, k. zerrenda osatzeko n - (k - 1) era desberdin izango dira, aurreko zerrendak osatzeko erabilitako margo kopurua k-1 izango baita. Hau da :

 

- Ariketak

8.- 40 karta dituen karta sorta batetik, karta bana ematen zaie lau jokalariri. Zenbat karta joku desberdin osa daitezke lau jokalarien kartez?9.- 30 ikasle dituen ikasgela batean ordezkaria eta ordezkari-laguntzailea aukeratu behar dira. Zenbat era desberdinetan egin daiteke aukeraketa?10.- 3 opari desberdin banatzen dira 5 neska-mutilen artean. Zenbat era desberdinetan egin daiteke banaketa, inork ezin badu opari bat baino gehiago hartu?11.- Hamar korrikalarik lasterketa bateko azken proban parte hartzen dute. Lehenengo iristen diren hiruei urrezko domina, zilarrezkoa eta brontzezkoa emango zaizkie hurrenez-hurren. Zenbat eratan bana daitezke dominak?

 

V. Permutazioak

n elementuren permutazioak n elementu horiekin sor daitezkeen talde desberdin guztiak dira. Multzo baten permutazioetan multzo horretako elementu guztiak sartzen dira beti eta bi permutazioen arteko diferentzia elementuen ordenean datza soilik. n- naka harturiko n elementuen aldakuntza bakoitzean n elementuak sartuko dira eta bi aldakuntzen arteko diferentzia elementuen ordenean bakarrik ikusiko da, beraz, n-naka harturiko n elementuen aldakuntzak eta n elementuen permutazioak berdinak dira.

Beraz, n elementuen permutazioakizango dira.n elementuren permutazio kopurua n elementuen aldakuntza kopuruaren kasu berezi bat da, non biderkagaiek beherako baloreak hartzen dituzten, n-tik hasi eta 1-era iritsi arte. Esaterako, OGI hitzaren hizkiak zenbat eratan ordenatu daitezkeen jakin nahi bada, ondorengo zuhaitz diagrama egin daiteke :Hau da, sei kasu daude : OGI, OIG, GOI, IOG, IGO. Eta multzoak elementu gehiago balitu, berdin. Hamar pertsonak korritzen duten lasterketa batean, zenbat sailkapen desberdin era daitezkeen jakin nahi bada, I.a, 10 korrikalarietatik edozein izan daiteke, 2.. ailka daiteke lehenengo iritsi ez diren gainerako 9 korrikalarietako edozein, 3.a gelditzen diren 8-ren arteko bat, eta horrela azkena iritsi arte. Beraz :Orokorrean n elementu ordenatu behar badira, goiko prozedura bera erabiliz :Faktorialan (n - 1) (n - 2) (n - 3) 3-2.1 biderkadurari n faktorial esaten zaio, eta n! idazten da.• Adibidez:Orokorrean :betezen da.0!-entzat definizio honek ez luke balioko, eta hitzarmenez 1 balioa duela onartzen da: 0! = 1Aldakuntzen kopurua :

 

- Ariketak

12.-Kalkula itzazu :13.-Adierazi faktorial moduan :

 

VI. Errepikatuzko permutazioak

n elementu dituen multzo baten permutazioak errepikatuzkoak dira permutatzen diren elementu horien artean batzuk berdinak direnean. Berdinak diren elementuak batzuk besteekin aldatuko bagenitu, ordenazio berbera lortuko genuke ; beraz, kasu honetan ordenazio kopurua txikiagoa izango da. Adibidez, zein da ELE hizkien permutazio kopurua?Bakarrik ELE , EEL eta LEE izan daitezke. Hiru elementu desberdin permutatzerakoan berriz, 6 kasu desberdin lortuko lirateke.Errepikatuzko permutazioakadierazten dira, n permutatzen den elementu kopurua izanik, etabidez adierazten dela zenbat aldiz errepikatzen den elementu bakoitza.Adierazpen orokorra lortzeko, ikus dezagun aurrekoa baino adibide zailtxoagoa : zenbat adierazpen lor daitezke NAFARROA hitzaren hizkiak permutatzerakoan? Guztira 8 hizki daude, baina A 3 aldiz azaltzen da, eta R 2 aldiz. Hitza NAFaRroa idatziko balitz permutazio guztiak 8! izango lirateke. Baina bi R-ak ezin direnez bereizi,etaeta desberdintasun bakarra R letra duten gainerako bikoteak berdinak direnez, erdira murrizten da permutazio kopuru posiblea. Baina gauza bera gertatzen da A- rekin, ezin baitira hiru A-k bereizi. Beraz A hizkiak trukatzerakoan lortzen diren kasu guztiak berdinak dira.Beraz, hasierako 8! kasuak, 2! eta 3!-rekin zatitu beharko dira, zenbat permutazio desberdin lor daitekeen jakiteko.Azalpen hori jarraituz, orokorrean :

 

- Ariketak

17.- Zenbat hitz desberdin, ahozkatu daitezkeenak ala ez, idatz daitezke PINPILINPAUXA hitza osatzen duten hizkiekin?18.- Hamar korrikalariko multzoa gainerako korrikalariei aurrea hartuta iritsi da helmugara, hauetatik 5 dira A ekipokoak, B ekipokoak 3 eta C ekipokoak 2. Helmugan ekipoen ordenari bakarrik erreparatzen badiogu, zenbat ordena desberdin egon daitezke?19.- Ikasgela bateko 20 ikasleak era honetan banatu behar dira : 10-ek fisikako laborategira joan behar dute, 5-ek informatikako klasera eta 5 klaserik gabe gelditzen dira. Zenbat eratan bana daitezke?

 

VII. Konbinazioak

n elementu dituen multzo bat emanda, k elementu hartuz talde desberdinak osatu behar dira, kontuan harturik talde desberdinak direla elementu bat beste taldeekiko desberdina dutenak, hau da, konbinazioetan ez dela kontuan hartuko ordena.Adibidez, Miren, Jaione, Ander eta Koldoren artetik bik platerak garbitu behar dituzte eta beste biak libre gelditzen dira. Zenbat eratan egin daiteke banaketa?M, j, A, K izendatuko ditugu, alfabetikoki : A, j, K, M.Osa daitezkeen bikoteak hauek dira : AJ, AK, AM, JK, JM, KM.

Beste edozein bikote hartzen badugu, hauetako bat izango da, elementu berberez osatua baina ordena aldatuta.Konbinazio kopuruaadierazten da; adierazpen horretan n letrak multzoan dauden elementu kopurua adierazten du, eta k letrak aukeratzen diren elementuen kopurua. Horrela, aurreko kasuan :Ikus dezagun beste adibide bat : Ikasgela batean 15 ikasle daude eta horietatik 3 hautatu behar dira lasterketa batean parte hartzeko . Zenbat eratan egin daiteke hautaketa?Hirurak ordena kontuan harturik hautatu beharko balira -lehenengoa, lehen ordezkoa eta bigarren ordezkoa- aldakuntza problema bat izango litzateke. Baina kasu honetan ordenak ez du eraginik, berdin zaigu ABC edo ACB edo BCA. Aldakuntza problema gisa hartzen badugu, konbinazio bakoitza 3Y aldiz errepikatuko litzateke, hori baita 3 elementuren artean era daitekeen ordenazio kopurua.Beraz, konbinazioak= 455 izango dira.Problema hau ikusteko beste era bat ere badago. Eman dezagun 15 ikasleen artetik hiru direla aukeratuak, A (aukeratuak), eta 12 ez aukeratuak, EA (ez aukeratuak). Era honetan errepikatuzko permutazio problema bat izango genuke, non A hiru aldiz errepikatzen den eta EA 12 aldiz. Eta errepikatuzko permutazio kopurua :Orokorrean, n elementuren artetik k elementu aukeratu behar badira :

 

- Ariketak

20.- Fabrika baten mantenuaz 10 pertsona arduratzen dira. Aste bukaeran hiruk lan egin behar dute.

Zenbat eratan aukeratu daitezke?21.- Matematikako irakasleak ostiralero gelan dituen 20 ikasleetatik bosti galdetzen die. Zenbat eratan egin dezake galdetu nahi dion ikaslearen aukera? Zenbat kasutan galdetuko dio Mireni? Zenbat kasutan ez dio galdetuko?22.- Azterketa batek dituen 20 galderetatik 10 aukeratu behar dira erantzuteko. Zenbat eratan egin daiteke hautaketa?23.- Antzinako problema bat : eraikitzaile ospatsu batek 8 ateko eraikuntza atsegin, handi eta dotore bat eraiki du hemengo Lurren jaunarentzat. Aurki itzazu ate baten, biren, hiruren,... irekiera desberdinak (konbinazioak).- Matematikari, esaidazu zenbat nahastura desberdin egin daitezkeen zeinek bere zapore berezia (gozoa, mina, heste lehorgarria, garratza, gazia eta mingotsa) duten sei osagaiz, osagaiak banaka, binaka, hirunaka etab. hartuaz (Bhaskararen Lilivatti liburutik, India XIII. mendea).

 

VIII. Errepikatuzko konbinazioak

Errepikatuzko konbinazio esaten zaien elementu desberdin dituen multzo bat emanda, elementu horiek k-naka harturik egin daitezkeen talde desberdinei (ohiko konbinazioetan bezala ordena kontuan izan gabe), k horien artean elementuak errepika daitezkeela . Elementu bakoitza gehienez ere k aldiz errepikatuko da, k- naka harturiko taldeak osatu behar baitira. Adibidez, A eta B hizkiekin hiruna letrako zenbat talde lor daitezke? Alfabetoaren arabera ordenaturik : ABLau aukera bakarrik daude : AAA, AAB, ABB, BBB. Errepikatuzko konbinazioakadierazten dira eta ohiko konbinazioetan n > k izaten bada ere, errepikatuzko konbinazioetan n < k izan daiteke.Ohiko konbinazioetatik errepikatuzko konbinazioetarako pausoa ez da permutazioetan bezain argia. Hona adibide bat : har ditzagun 2, 3, 5, 7 zenbaki lehenak. Zenbat zenbaki desberdin lor daitezke faktore horien artean hirunakako biderkaketak eginaz? Esaterako :Biderkaduraren emaitza biderkagaien arabera aldatuko da, baina biderkagaien ordenak ez du eraginik izango emaitzean eta, gainera, elementuak errepika daitezke, beraz errepikatuzko konbinazioak dira. Zenbat biderkaketa desberdin egin daitezkeen jakiteko, zerrenda bat egingo dugu guztiekin. Biderkadura bera bi aldiz ez agertzeko biderkagaiak txikienetik handienera ordenatuko ditugu edo txikiena jarriko dugu beti aurretik, eta bestela hurrengo txikiena (edo berriro txikiena, errepikaturik agertzen bada), etab.

Adibidez: 12 biderkadurabiderkaketa egitean lortzen dela emango dugu eta ez ditugu kontuan harturkoedobiderkaketa, emaitza bera lortuko dugulako. Lehenengo biderkagaia edozein izan daiteke 2, 3, 5 edo 7. Lehengoa 2-a bada, bigarrena 2-a errepika daiteke,adieraziko dugu, edo bestela 3 edo 5 edo 7 izan daiteke. Lehenengoa 3-a bada, bigarrena 3 izan daiteke berriz ere edo bestela 5 edo 7. Honela, bigarren biderkagaia lehengo bera errepikatuta badaazpi-indizea jarriko diogu. Lehenengo biak 2 eta 2 badira, hirugarrena beste 2 bat izan daiteke -bi aldiz errepikatuko litzateke etajarriko genuke-, edo bestela 3 edo 5 edo 7. Lehenengo biak 23 badira, hirugarrena beste 3 bat izan daiteke,edo bestela 5 edo 7. Era honetanadieraziko da. Bainaedoinserted textjartzerakoan, 2, 3 edo 5 ekidin daiteke beti, aurreko zenbakiaren berdina baita. Orduan bigarrena lehenengoa errepikatuta bada azpi-indizea jarri beharrean, L bat jar daiteke lehenengoa dela adierazteko ; hirugarrena bigarrena errepikatuta bada B bat jar daiteke bigarrena dela adierazteko, etab. Inoiz errepikatuko ez dena hirugarrena izango da, hiru toki bakarrik baitaude.

Era honetan 223, 2L3 jar daiteke eta 355, 35B. Honela konbinazio guztiak idatziko genituzke beren elementuetan errepikapenik egon gabe : 2LB, 222 litzateke, eta 57L, 557 litzateke.

Biderkaketa bat bi aldiz ez kontuan hartzeko 2,3,5 eta 7 zenbakiei L eta B gehitu beharko genizkieke. Orduan 3-naka harturiko lau elementuen errepikatuzko konbinazioak ohiko konbinazio problema bezala har daiteke, non elementu desberdinak 4+3-1 hirunaka harturik izango diren. Gehitu behar direnen kopurua 3-1 da, zeren eta ordenatzen baditugu, edozein elementu errepika daiteke azkenengo lekuan dagoena ezik.Kopuruaizango litzateke.Hau zuhaitz diagraman lortutakoarekin bat dator.Orokorrean,

 

- Ariketak

24.- Fabrika batek kolore desberdinetako arkatzak saltzen ditu 10 arkatzeko paketetan. 5 kolore desberdinetako arkatzak egiten badituzte, zenbat pakete desberdin egon daitezke?25.- Pertsona batek hiru alkandora erosi behar ditu, baina lau marka desberdinen artean zalantzak ditu.

Marka bakoitzeko bat baino gehiago eros balezake, zenbat eratan aukera ditzake markak?26.- Hiru laguni opari bana egin behar diezu. Gehien gustatzen zaizkizun bost diskoen artean bakoitzari bana oparitzea erabaki duzu. Dendara erostera zoazenean, zenbat eskaera desberdin egin ditzakezu bi lagunei diska berdina oparitzea axola ez bazaizu?

 

- Ariketa orokorrak

27.- Kalkulatu :

 

I X. Zenbaki konbinatorioak

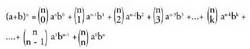
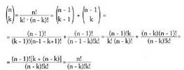
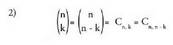
k-naka harturiko n elementuen konbinazio zenbakiak matematikaren alor askotan azaltzen dira. Adibidez, n elementuz osaturiko multzo batetik elementuak k-naka harturik zenbat azpimultzo osa daitezkeen aurkitzean, aljebran binomioaren berreketak egitean, konbinatoria problema askotan edo probabilitatean banaketa binomiala ikastean.Zenbaki hauen propietateak dira : 1) n! n! 1 _ _ (n - n)! n! • 0!Tartagliaren triangeluan, binomioaren berreketak egitean monomioen lehenengo koefizientea eta azken koefizientea 1 dira. n elementutatik n-naka harturiko multzoak osatzeko era bakarra dago, denak hartuz multzo bat osatzea alegia ; eta elementurik gabeko azpimultzoak osatu nahi badira, aukera bakarra dago, multzo hutsa, hain zuzen. Adierazpen hauetan 0! = 1 egitea komenigarra da, muturretan kasu bereziak ez kontsideratzeko.n elementuez osaturiko multzotik elementuak k-naka hartuz osa daitekeen talde kopurua eta n elementuetatik n-k-naka hartuz osaturikoak berdina izan behar du, erlazio bijektiboa baitago. Froga hori aljebra bidez ere egin daiteke, n - (n - k) = k baita.k-naka harturiko elementuez osa daitezkeen taldeak dira : elementu finko bat dutenak, gelditzen diren n - 1 elementuetatik k - 1 elementu hartuz osatutako taldetzat har daitezkeenak, eta elementu jakin hori baztertzean gelditzen diren n - 1 elementuetatik k elementu atereaz osaturiko taldeak. Hemen froga aljebraikoa luzeagoa da :(izendatzaile komuna atereaz)Zenbaki konbinatorioen aplikazioaren adibideak :Bila ezazu zenbat bide desberdin dauden bidegurutze batera iristeko n etxe multzo ibili ondoren, kontuan harturik kale guztiak elkarzutak direla eta ezin dela behin ere atzera egin.Bidegurutze bakoitzean ezkerrera edo eskuinera egin aukeratu behar da. Guztira n etxe multzo ibiliko dira; beraz, n hautaketa egin beharko dira. Eskuinera edo ezkerrera jotzen den, bidegurutze batera edo bestera iritsiko da ; beraz, ezkerreko muturretik hirugarren bidegurutzera iristeko bide posibleen kopurua, n bidegurutzetan eskuinera bi aldiz jotzeko posibilitateen kopurua izango da,. Laugarren bidegurutzera iristeko, ezkerrera hiru aldiz jo behar da; beraz,; eskuinalderago dagoen bidegurutzera iristeko beti eskuinera jo beharko da ; beraz,, beti eskuinera jotzeko aukera bakarra baitago.Beste adibide bat izan daiteke txanpon bat n aldiz boteaz k aurpegi zenbat eratara lor daitezkeen kalkulatzea.zenbaki konbinatorioak txanpona n aldiz botatzerakoan k aurpegi lortzeko formak emango dizkigu.Aljebran, berretzaile osoko binomio baten n. berredura monomioen baturaren bidez ebaztean lortzen dira zenbaki konbinatorioak.

Newtonen binomioaren ebazpena izenez ezagutzen da ebazpen hori.zeren etaEtaberredura agertuko da biderkatzen diren n parentesietan, a faktorea n-k aldiz eta b faktorea k aldiz hartzeko dauden modu bakoitzeko.Newtonen binomioaren kasu berezi bat a = b = 1 denean azaltzen da. Era honetan zenbaki konbinatorioen beste propietate interesgarri bat lortzen da :

 

- Ariketak

38.- Ebatz ezazuberreketa.

39.- Ebatzi :

 

Triangelu aritmetikoa

Zenbaki konbinatorioak edobinomioaren berredura aurkitzeko koefizientea triangelu eran antolatu ohi da. Triangelu honi Tartagliaren triangelua edo Pascalen triangelua ere esaten zaio ; 1, 2, 3, 4 etab. elementuen konbinazioak jarriaz lortzen da, halako eran non lerroa elementu kopuru osoarekin bat datorren (n) eta zutabea hautatzen den elementu kopuruarekin.Badago beste era bat zenbaki berberak lortzeko triangelu isoszele bat osatuz: alboetan batekoak jartzen dira eta erdian goiko lerroko ezkerreko eta eskuineko bi zenbakien arteko baturaren emaitza.Triangelu aritmetikoari buruz hemen emandako azalpenak eta ezaugarriak Pascalek eman zituen ezagutzera 1654. urtean, triangelu aritmetikoari buruz argitaratu zuen liburuan, baina askoz antzinagotik ere erabilia zen. Triangelu hori Tartagliak XVI. mendean erabiltzen zuen, eta Peter Apianek 1527.urtean eta Michael Stiefelek 1544. urtean argitaratu zuten beren liburuetan.Lehendik ere, 1430. urte inguruan, Al-Kashik argitaratua zen. Baina hauek denak baino lehen Yang-Huik XIII. mendean eta batez ere Chu Shih Chiehk 1303. urtean bere "Ispilu ederra" liburuan, marraztu zuten.

 

Laburpena

 

Kalkulagailuaren erabilpena konbinatorian

Kalkulagailu zientifikoek tekla bat edukitzen dute zenbaki baten faktoriala lortzeko. Tekla horrek "!" ikurra darama, eta teklan adierazita egon ordez teklaren gainean adierazi ohi den bigarren funtzio bat da. Kasu batzuetan aldakuntzetarako eta konbinazio ez errepikatuzkoetarako ere tekla bat izaten da.Faktorial teklarekinkalkulatu nahi badugu, faktorial tekla erabiliz,dela kontuan hartuz, prozedura honako hau da :inserted texteta 210 azalduko zaigu pantailan.Konbinazioak kalkulatzeko, adibidezprozedura honako hau da :eta pantailan 252 azalduko zaigu.Zenbaki negatibo baten faktoriala edo osoa ez den zenbaki baten faktoriala kalkulatzerakoan kalkulagailuan errorea emango digu.Aldakuntzak edo permutazioak teklarekin :Aldakuntza teklaren bigarren funtzio bat izaten da etabidez adierazten da (inglesetik dator, aldakuntzetarako "permutations " erabiltzen dute). Tekla honek r-naka harturiko n elementuen aldakuntzak zuzenean ematen ditu.kalkulatzeko adibidez, prozedura honela da :eta pantailan 210 azalduko zaigu.Funtzio hauetan r > n hartzen bada, kalkulagailuak errorea emango digu.

 

Koenigsberg-eko zubiak

Ikusi diren konbinatoria problemen ebazpena nahikoa erraza da.

Baina beste kasu batzuetan enuntziatua sinplea izan arren, ebazpena zail samarra izan daiteke. Topologiari buruzko problema batzuk eta batez ere grafoen teoriari buruzkoak edo puntuen arteko sareenak konbinatoriako problemak bailiran ebatz daitezke. Enuntziatu klasiko bat da Koenigsbergko zubien problema deitua, Eulerrek emana.

 

Emaitzen eranskinerako

 

Carl Friedrich Gauss

(1777-1855)Gauss-i "Princeps Mathematicorum" esaten zaio, izan ere, askorentzat, garai eta aro guztietan izan den gaitasun handieneko matematikaria baita, bai landu zituen matematika adar desberdinengatik, bai adar horietan guztietan egin zituen aurkikuntzengatik.Gotingenen jaio zen 1777an, eta alemaniar hiri horretan berorretan bizi izan zen bizitza osoan. Langile familia bateko semea zen eta bere aitak askoz ere nahiago izango zukeen gazte-gaztetatik ikasten hasi ordez lanean hasi izan balitz. Carl, ordea, haur miragarria zen eta Brunswick-eko dukearen babesa lortu zuen ; hark unibertsitateko ikasketak ordaindu zizkion . 19 urte zituela, zirkuluaren barruan 17 aldeko poligono erregularra inskribatzeko modua aurkitu zuen, erregela eta konpasa soil-soilik erabilita. Antzinako Greziatik ezagutzen zen nola inskribatzen ziren hirukia, laukia, pentagonoa eta aldeak bi, hiru edo bosten multiplo zituzten poligonoak. Gauza jakina zen, bestalde, heptagonoa ezin zitekeela inskribatu eta susmoa ere bazegoen alde gehiagoko poligonoak, alde kopuru lehena zutenak, ezin izango zirela erregela eta konpasaz inskribatu. Gaussek frogatu zuen zenbaitetan posible zela hori egitea.Gaussen garrantzi handiko lehen lana doktore tesia izan zen. Tesi hartan teorema bat frogatzensaiatu zen, alegia polinomio ekuazio oro lehen eta bigarren mailako faktoreetan deskonposa daitekeela, hau da, polinomio ekuazio orori emaitza erreala edo konplexua aurki dakiokela. Teorema hori, ordea, Eulerrek eta Legendrek frogatua zuten ordurako, baina Gaussek haien frogabideak kritikatu zituen eta frogabide osoago bat proposatu zuen.

Gaussek geometria metodoak erabili zituen froga hartarako, baina irtenbide hura ez zuen gustukua izan, eta beste bi frogabide argitaratu zituen, aljebra metodoetan oinarrituak batez ere.Ondoren, zenbakien teoria landu zuen. Disquisitiones Arithmeticae liburua argitaratu zuen, latinez idatzia-garai hartan, alemaniar unibertsitateetan horrela zuten ohitura-. Kongruentzien teoria landu zuen liburu hartan. Teoria hura lantzeko, modulu izeneko zenbaki oso batez egindako zatiketen hondarretatik abiatuta lortzen diren zenbakiez defini daitezkeen eragiketak aztertu zituen.

Elkarrekiko karratuen teorema ere aztertu zuen, baita Gaussen zenbakiak izenez ezagutzen direnak ere; zenbaki lehenen propietate berri asko adierazi zituen.Astronomia eta zenbaki kalkuluak aztertu zituen eta metodo berriak aurkitu zituen argizarien orbitak hurbilketa bidez kalkulatzeko. Lan horiei esker 1807an Gotingen-go astronomia behatokiko zuzendari izendatu zuten. Elektromagnetismo, mekanika eta geodesia gaietan ere egin zituen lanak.

Froga fisiko batean zoriaren arabera gertatutako akatsei buruz egin zituen azterlanek y = e ` moduko funtzioak aztertzera eraman zuten ; funtzio horiek "Gaussen kanpaia' izenez ezagutzen den kurba dute grafikotzat eta estatistikako banaketa normalaren dentsitate funtzioari dagozkie.Bestalde, matematika gaiak lantzen jarraitu zuen, hala nola, funtzio eliptikoak, zenbaki lehenak edota geometria. Geometrian, esaterako, geometria ezeuklidearrak ez zirela elkarren aurkako atera zuen ondorio, baina ez zen ausartu emaitza haiek argitaratzera, garai hartan gai haietan lan egiten zuen jendeak zer esango zuen beldur baitzen. Bolyaik eta Lobatxevskik geometria ez-euklidearraren azterketan Gaussen idazlanak argitaratu zituztenean, Gaussek onartu egin zituen berekiko, baina ez zuen haien aldeko adierazpenik egin.Gaussek idazki asko argitaratu zituen, baina are gehiago utzi zituen argitaratu gabe. Ikertzaile askok, egindako aurkikuntzaren bat berari aurkezten zizkiotenean, Gaussek ordurako emaitza haiek atereak zituela ikusi ahal izan zuten. Gauss hil ondoren, koadernotxo bat aurkitu zen, haren aurkikuntza eta susmo guztiak idatzita zituena. Ohar horien bidez jakin ahal izan da haren pentsamenduak zer-nolako bilakaera izan zuen eta argitaratu ez zituen aurkikuntza asko egin zituela. Adibidez, zenbaki jakin bat baino txikiagoak diren zenbaki lehenen kopuruaren eta zenbaki horren arteko arrazoia (zatidura), zenbaki horren logaritmoaren alderantzizkoa dela zenbakia mugarik gabe handitzen denean, hau da :Non,, n baino txikiagoak diren zenbaki lehenen kopurua den. Ez zuen, ordea, frogapen hura idatzi eta ez zen 1896 arte frogatu.Izaeraz itxia eta hitz gutxikoa zen. Bere famili bizitza berriz, oso zaila egin zitzaion, izan ere, izan zituen bi emazteek osasun txarra izan baitzuten, eta gainera, seme-alabekin harreman txarrak izan zituen eta USAra emigratu zuten. Alaba gazteenarekin bakarrik konpondu zen ondo eta bere azken urteetan ere hura izan zuen lagun bere ondoan.

Bakarrik lan egiteko ohitura zuenez gero, harreman gutxi izan zuen bere garaiko matematikariekin, nahiz eta haren izen handia denek aitortu. Unibertsitatean lan egin ordez astronomia behatokian lan egin zuenez, laguntzaile distiratsu gutxi batzuk baizik ez zituen izan, baina bere ikerkuntzei esker ez zien eskola eman behar izan interes handirik gabeko ikasleei.Hil zorian zegoela, bere hilobian zirkunferentzia batean inskribatutako 17 aldeko poligono aldekidea grabatzeko agindua eman zuen, hori izan baitzen bere bizitzako garrantzizko lehen aurkikuntza, hain zuzen ere, bere bizitza osoan zehar ospetsu sentiarazi zuena. Zoritxarrez, alabak ezin izan zuen aitaren nahia bete, izan ere, harginaren ustez hainbeste aldeko irudia eta zirkunferentzia nahastu egin baitziren.

 

Bernoulli

Familia berean ez dira matematikari handi asko izaten. Arau horren salbuespena ordea, Bernoulli familia da, bost belaunalditan matematikari handiak izan baitziren familia horretan, XVII. mendeko azken laurdenetik XIX. mendearen hasiera arte. Beren izenak errepikatu egiten direnez, bereizteko, I.a, II.a, etab. eransten zaie izenari errege dinastietan egin ohi den bezala (Jean I.a, Jean II.a, Daniel I.a, Daniel II.a, etab.).Bernoullitarrak kalvindarrak ziren, flandriarrak jatorriz. Espainiako erregearen gudarosteakAnberes hartu zuenean, nahiago izan zuten Basileara alde egin, protestantea baitzen hura. Dinastiaren sortzailea, Nicolaus, estatu kontseilari izan zen Basilean ; seme etab alaba asko izan zituen. Aitak ez zuen bat bera ere matematikari izateko prestatu ; hala ere, bosgarrenak, Jacques I.ak, aitak artzai protestante izateko izendatuak, eta hamargarrenak, Jean I.ak, mediku edota merkatari izatekoa zenak, matematikari izatea erabaki zuten.Jacquesek bidaiak egin zituen sei urtetan zehar Frantzian, Herbehereetan eta Ingalaterran barrena.

Ondoren, Basileara itzuli zen matematikan aritzeko. 1684an, kalkulu infinitesimalaren metodo berriak aztertu zituen eta berehala ohartu zen haiek indar handia izango zutela. Eta hala kalkulu infinitesimalaren defendatzaile sutsu bihurtu zen.

Gainera, Jacques Bernoulli I.a eta jean Bernoulli I.a Leibnizen metodoen aldeko agertu ziren XVII.. endearen amaieran eta XVIII.aren hasieran Leibnizen eta Newtonen metodoak zirela eta izan ziren eztabaidetan.Jacques I.ak, segiden, kalkulu infinitesimalaren eta probabilitateen arloetan lan egin zuen. Berak idatzi zuen Ars Conjenctandi liburua, lehen probabilitate liburutzat hartzen dena. Berak proposatu zion Leibnizi "kalkulu integral" izena kalkulu diferentzialaren alderantzizkoa izendatzeko.

Ekuazio diferentzialen hainbat problema ebatzi zituen ; Bernoulliren ekuazioa deituabere anaia Jeanekin eta Newtonekin batera ebatzi zuen.Jean I.ak, ekuazio diferentzialak ebazten lan egin zuen batez ere eta emaitza kopuru izugarria argitaratu zuen. Besteren artean, grabitatearen mende egon eta airearen edota uraren erresistentzia duela higitzen den gorputz pisudun baten ibilbidea aurkitzeko problema ebatzi zuen. Irakasle handia izan zen ; ikasle izan zituen, besteak beste, 1'Hospital-go markesa, gazte zela, eta ondoren bere seme Daniel I.a eta Euler. Oso haserre erraza zen eta Leibnizen eta Newtonen jarraitzaileen artean izan ziren eztabaidetan, berak izandako esku hartzeak ozpindu egin zituen eztabaidak.Bernoullitarren familia barruko harremanak ez ziren oso gozoak izan. Jean I.ak uste osoa zuen Jacquesek paternalismoz tratatzen zuela, anaia gazteena izateagatik-edo. Jeanek, erronka jo zion anaiari brakistokronaren problema ebazteko, hau da, pisudun gorputz batek puntu batetik beherago eta bere parean ez dagoen beste puntu batera erortzen igarotzen duen denbora minimoa kalkulatzeko.

Jacquesek zikloide izeneko kurba aurkitu zuen, eta gainera, frogatu zuen jeanen frogapena ez zela zuzena. Bestalde, Jean I.ak etxetik kanpora bidali zuen bere seme Daniel I.a, bera ere aurkeztua zen l'Academie des Sciences-ek antolatutako lehiaketa batean saria atera zuelako.Hurrengo belaunaldian lau matematikari izan ziren, hiru Jean I.aren semeak eta laugarrena, Nicolaus II.a hain zuzen, Nicolaus La margolariaren -Jeanen anaiaren- semea. Nicolaus II.a irakasle izan zen Paduan, Galileok izan zuen katedran.

Hark argitaratu zuen bere osaba Jacques I.aren probabilitate liburua. Nicolaus III.a eta Daniel La irakasle izan ziren San Petersburgon.

Lehena gazterik hil zen. Daniel I.a, berriz, matematikari handia izan zen ; kalkulu infinitesimalaren eta hidrodinamikaren aplikazioetan ihardun zuen batez ere. Hari zor zaio "Bernoulliren printzipio" esaten zaiona. Matematikan, Daniel I.ak, probabilitate gaiak landu zituen batez ere, baina funtzio trigonometrikoetan eta zatiki jarraietan ere aritu zen. San Petersburgon era Basilean irakasle izan zen. Aita eta osaba ez bezala, Newtonen teorien aldekoa zen.Dinastiako gainerako kideei dagokienez, Jean II.a matematika irakasle izan zen Bernan eta fisika gaietan aritu zen batez ere. Haren seme jean III.a matematika irakasle izan zen Berlingo Akademian eta probabilitateez idatzi zuen. Dinastiako gainerako kideek ez zuten ekarpen nabarmenik egin matematikaren alorrean.'