Matematika»Analisiak

Oinarrizko funtzioak

 

I. Sarrera

Gai honetan oinarrizko funtzio batzuk aztertuko dira. Lehenbizi funtzio konstanteak ikusten dira, garrantzi handikoak baitira beste funtzioekin batu eta kendu daitezkelako funtzio berriak sortzeko.

Ondoren funtzio linealak aztertuko dira; garrantzi handia dute proportzionaltasun zuzena aztertzeko, eta gainera, bi ezezaguneko ekuazio linealen interpretazio grafikoa egiteko balio dute.Ondoren bigarren mailako funtzio polinomikoak aztertzen dira.

Funtzio horien grafikoa parabola bat da. Funtzio linealekin batera aztertzean, bigarren mailako sistemen adierazpen grafikoak interpretatzeko balioko dute. Horiekin amaitzen da oraingoz funtzio polinomikoen azterketa.Ondoren proportzionaltasun alderantzizkoaren funtzioa eta funtzio horri funtzio konstante bat batzean edo funtzio konstante batekin konposatzean ateratzen diren funtzioak aztertzen dira.Gaiaren osagarri bezala beste funtzio mota batzuk azaltzen dira :erakoak, y = E(x) zati osoaren funtzioa,

 

I I. Funtzio konstantea

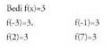
Funtzio konstanteak zero mailako polinomio baten bidez definiturik daude : f(x)=kFuntzio horren bidez,edozein baliori k zenbaki berdina dagokioAdibidea

 

Proportzionaltasun zuzenaren funtzioa

Bi aldagaiak proportzionalak dituzten funtzioak dira. Produktu batetik ordaindu behar den B.E.Z-a prezioaren funtzioa da ; bi kopuru horiek proportzionalak dira, produktu baten prezioa erositako kantitatearen funtzioa da, etab.1. adibideaEspainian, produktu askoren B.E.Z-a salneurriaren %16-a da.

Kalkulatu, gaiaren salneurria jakinda, zein adierazpenen bitartez ezagutu daitekeen B.E.Z-a.EbazpenaBitez x salneurria eta y ordaindu beharreko B.E.Z.-a. y = x-en %16-a da, hau da, y = 0´16 x. Hortaz,da proportzionaltasun konstantea.2. adibideaAuto bat 80 kilometro orduko lastertasunean doa. Zein erlazio dago horretarako behar izan den denboraren (ordutan) eta egindako bidearen (kilometrotan) artean?EbazpenaDistantziari e eta denborari t esanez gero, e = 80 t. Kasu honetan 80 da proportzionaltasun konstantea.Lortutako ekuaziotik abiatuta, ibilitako distantzia atera daiteke t aldagaiaren balio desberdinetarako. Hala, balio taula bat ateratzen da :Balio horiek ardatz koordenatu ortogonaletan adieraz daitezke, denbora (aldagai askea) abzisa ardatzean jartzen da, eta distantzia ordenatu ardatzean.Beraz :Proportzionaltasun funtzioa y=mx ekuazioak ematen du. Funtzioa aztertzeko m-ren balio desberdinei dagozkien grafikoak egiten dira.adieraziko dira, eta horretarako balio taulak egingo dira.

 

y = mx + n funtzio afina

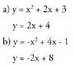
y = mx funtzioari y = n funtzio konstantea batzen bazaio, funtzio afina ateratzen da. Horren ekuazioa "y = mx + n" da. Grafikoa eta haren parametroen interpretazioa aztertuko da orain.Ardatz berdinetan y = 2x, y = 2x - 2, y = 2x + 3, eta y = 2x - 5 adieraziz gero, horien grafikoak lerro zuzen paraleloak direla ikusten da, izan ere malda berdina baitute : guztietan m = 2. Gainera x = 0 denean, y-k n balioa hartzen du eta hori dela eta, parametro horri jatorrian ordenatua esaten zaio. P (0,n) puntua zuzenaren eta y ardatzaren arteko ebakidura puntua da.etafuntzioen grafikok eginez gero.

 

Zuzen baten ekuazioa puntu bat eta malda ezagututa

Orain artekoaren arabera, grafikoa lortzeko, funtzioaren ekuaziotik abiatu eta balio taula bat egiten da; guztien adierazpen grafikoa zuzen bat izango da. Baina bada beste bide bat. Demagun zuzeneko malda m etapuntua ezagutzen direla eta ekuazioa eta dagokion funtzioa ezagutu nahi direla.Bedi P(x,y) zuzeneko edozein puntu ; 4c irudian ikus daiteke A P- ra pasatzean x-en gehikuntzadela eta y-ri dagokion gehikuntzadela ; hortaz, aurreko atalean ikusitakoaren arabera, m maldaeginez ateratzen da;m malda da,etapuntutik pasatzen den zuzenaren ekuazioa. Dagokion funtzioaren ekuazioa ateratzeko y bakantzen da.Adibideak1. Bilatu funtzio baten ekuazioa, kontuan harturik grafikoa zuzen bat dela A(-3, 1) puntutik pasatzen dena, eta malda -4 duela.Ebazpenaberdintzatik hasten da,eta y bakanduz y = 1 - 4(x + 3) lortzen da, hau da, y = -4x - 11 ; malda -4 da eta jatorriaren ordenatua -11.2. Bilatu funtzio baten ekuazioa, funtzio horren grafikoa A(-1,3) eta B(2,1) puntuetatik doan zuzena dela kontuan hartuta.EbazpenaMalda lortzeko y-ren gehikuntzaren eta x-en gehikuntzaren (A-tik B-ra pasatzerakoan gertatutakoa) arteko zatiketa egiten da.formula erabili da, (xO, y0) bezala A hartuz (B hartuta ere egin daiteke) ;

 

- Ariketak

1. Ondoko funtzioetan esan zein den malda, eta jatorriaren ordenatua eta grafikoa egin.2. Ondoko funtzio afinen ekuazioa bilatu.a) A(2,-3) puntutik doa eta

 

Funtzio kuadratikoa

Horrela esaten zaio definitzen duen ekuazioaren 2. atala 2. mailako polinomioa delako. Hau dada.Funtzio kuadratiko sinpleena hau da :Funtzio horri dagokion grafikoari parabola esaten zaio. Ezaugarri hauek ditu :Funtzio bikoiti bat da, f(-x) = f(x) baita; horregatik, y ardatzarekiko simetrikoa du grafikoa.• O(0,0) puntua, funtzioak minimo erlatiboa duena, parabolaren erpina da.• Funtzioa hertsiki beherakorra datartean, eta hertsiki gorakorra

 

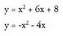
y = x2 + c funtzioa

funtzioari y = c konstantea gehituz ateratzen da.-ren bidez ere lor daitekebektore traslazioa eginez.Hala,-ren grafikoa lortzen da-ren grafikotik abiatuta eta puntu guztiak hiru banako jasoz.grafikoa,-ren grafikotik abiatuta, puntu guztiak bi banako jaitsiz ateratzen da.

 

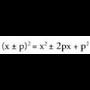
y = (x - p) 2 funtzioa

bektoretzat duen traslazioa eginez etafuntziotikabiatuta atera daiteke.Hain zuzen ere, egiazta daiteke V(p, 0) puntua duela erpina, horixe baita funtzioaren minimoa.funtzioaren y-ren balioak negatiboak ez direnez gero, balio minimoa y = 0 izango da, eta hori x = p-rako gertatzen da.• Simetria ardatza x = p zuzena du.• Funtzioa beherakorra datartean, eta gorakorratartean.• Grafikoaren forma-renaren berdina da.AdibideaBilatu ondoko funtzio hauen erpina, simetria ardatza eta grafikoa .

 

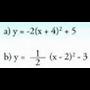
y = (x - p) 2 + q funtzioa

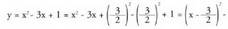
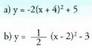
Funtzio hau,funtzioaribektoretzat duen traslazioa eginez ateratzen da; edofuntziotik abiatuz,bektorearen traslazioaren bidez.Egiazta daiteke, beraz, funtzio horren erpina V (p, q) puntua dela, eta horixe da funtzioaren balio minimoa. q konstantea denez, minimoabalio txikienentzat lortuko da, eta adierazpen hori negatiboa ez denez balio txikiena zero izango du, eta horretarako egiaztatu behar da x = p. x-en balio horretarako, y = q ; hortaz erpina V(p, q) da.Hala, funtzio honen grafikoa-ren grafikoa p banako eskubira (ezkerrea p < 0 bada) eta q banako gora (behera q < 0 bada) eramanez ateratzen da.• Simetria ardatza x = p zuzena da.• Funtzioa beherakorra da-n eta gorakorra-n.• Grafikoaren forma-renaren berdina da.Adibideafuntzioen erpina, simetria ardatza eta grafikoa bilatu.

 

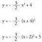
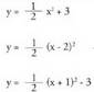
y = ax 2 funtzioa. "a" parametroa

"a" parametroak funtzioaren grafikoan duen eragina ulertzeko, a-ren balioa desberdina duten zenbait funtzioaren grafikoak eginez hasiko gara.a < 0 kasuetatik hasita :grafikoak ematen dira.Ikusten denez a-ren balioa handitu ahala, y-ren hazkuntzatartean bizkorragoa da, eta aldi berean y-ren txikitzea bizkorragoa datartean. Beraz, a-ren balioa zenbat eta txikiagoa izan, orduan eta zapalagoa izango da parabola, eta a-ren balioa zenbat eta handiagoa izan, orduan eta estuagoa da parabola.Parabola horiek guztiak O(0, 0) puntuan dute erpina etatartean beherakorrak dira eta-n gorakorrak, hau da, erpina funtzioaren minimo erlatibo bat da.a < 0 kasua aztertzeko a-ren balio desberdinetarakomotako funtzioen grafikoak egingo dira.Ikusten denez, guztiek O (0, 0)-an dute erpina.• Hertsiki gorakorrak dira-an• Hertsiki beherakorrak dira-an• a-ren balioa zerotik zenbat eta gertuago egon, orduan eta makalagoa izango da gorakortasuna eta beherakortasuna.•zenbat eta handiagoa izan, orduan eta arinagoa izango da gorakortasuna eta beherakortasuna.• Erpina funtzioaren maximo erlatibo bat da.Hortaz, a-ren balioak finkatzen du parabolaren forma.-tik abiatuz, eta traslazioz, hau lortzen da, hurrenez hurren :bektoreko traslazioa aplikatzeanbektoreko traslazioa aplikatzeanbektoreko traslazioa aplikatzeanHortaz, a-ren balio berdinerako, parabolek forma bera dute, eta kokaeraren arabera bereizten dira ; erpinak mugatzen du kokaera.Hala,, erpina E(0, c)-n du., erpina E(p, 0)-n du., erpina E(p, q)-n duLaburtuz :• a > 0 bada, erpina minimo erlatiboa izango da, eta parabolaren adarrak gorantz egongo dira.• a < 0 bada, erpina maximo erlatiboa izango da, eta parabolaren adarrak beherantz egongo dira.Ariketa ebatziak1) Balio taula bat eginparabola irudikatzeko. Egin grafiko hauek parabolaren arabera :Ebazpena2) Taula bat eginparabola irudikatzeko, eta parabolatik abiaturik, grafiko hauek egin :EbazpenaKasu orokorraBedi funtzio koadratiko hau :Parabola horren erpina aurkitzeko,eran adierazi behar da bigarren atala.Ikus adibide hauek :Adibideak1) Bedi. Binomio baten karratua gehi konstante bat bezala adierazi behar da :konparatuz gero, 2p = 4 da, eta p = 2. Orduan,, eta honela idatz daiteke :Hortaz, parabola horrekforma du, baina erpina E(-2,-5) puntuan du.2) Bedi. Kasu honetaneginez gero,, eta orduan :kasu honetan ere parabolaren bora-ren berdina izango da eta erpina3) Bedi, erpina bilatu nahi da eta horretarakoeran idatzi behar dugu 2. mailako polinomioa. 2 biderkagai komuna ateraz hasten da :Hortaz, parabola horrekforma du, baina erpina E(-1, -1) puntuanHortaz, erpinadenan lortzen da etada.Nola egiten da parabola baten grafikoa? °a) Erpinaren abzisa lortzen da. Horretarako,formula erabiltzen da.b) Erpinaren ordenatu lortzen da. Horretarako, x-en balioa funtzioaren ekuazioan ordezkatzen da.AdibideaBediBeraz,Eta horrenbestez, simetria ardatzazuzena da.c) Balio taula egiten da.Parabolak bere erpinetik pasatzen den zuzen bertikalarekiko duen simetria kontuan hartuz, erpina taularen zentroan jarri, eta x-i 3 edo 4 balio eskuinera eta beste horrenbeste ezkerrera ematen zaizkioNahiz eta orain arte ikustakoarekin nahikoa den parabola marraz- teko, interesgarria da beste puntu garrantzitsu batzuk ezagutzea.d) Ardatzekin dituen ebakidura puntuak kalkulatzen dira.y ardatzarekin (x = 0 ekuazioa duena) duen ebakidura puntua P(0, c) izango da. Adibide honetan P(O, 2) izango da.x ardatzarekin (y = 0 ekuazioa duena) dituen ebakidura puntuak.sistema ebazteko,ekuazioa ebazten da. Dakigunez, ekuazio horrek bi soluzio (bi ebakidura puntu), soluzio bat (x ardatza parabolari buruz ebakitzailea denean, erpina ukitze puntua delarik), edo batere ez (parabola osorik x ardatzaren gainetik edo azpitik dagoenean) atera daitezke.-rentzat soluzioak x = 1 eta x = 2 dira, hortaz, ebakidura puntuak Q, (1, 0) eta Q,(2, 0) dira.e) Lortu diren datu guztiekin grafikoa egiten da.

 

- Ariketak

3. Hurrengo funtzio hauetan, kalkulatu erpina, esan maximoa edo minimoa den, aurkitu simetria ardatza, eta balio taula bat eta haren grafikoa egin :

 

Parabolaren eta zuzenaren arteko ebakidura puntuak

Oro har, parabola baten eta zuzen baten arteko ebakidura puntuak, edo bi parabolen artekoak, kalkulatzeko, bi ekuazioek osatzen duten sistema ebazten da.Parabolaren eta zuzenaren artekoak :Hiru aukera daude :Bi soluzio : zuzena parabolaren ebakitzailea denean bi ebakidura puntu daude.• Soluzio bakarra : zuzena parabolaren ukitzailea denean ukitze puntu bat dago.• Soluziorik ez : zuzena parabolaz kanpokoa da.Adibideak1) Bilatu ebakidura puntuak:Ebazpena :Bi parabolen artekoakBi parabolen ekuazioek osaturiko sistema bat ebazterakoan ondoko hiru kasu hauek gerta daitezke :Lehen mailako ekuazio bat gelditzen bada, parabolek puntu bakar batean ebakitzen dute elkar.Adibidea• 2. mailako ekuazio bat gelditzen bada, bi soluzio edo soluzio bakarra izan ditzake, edo bat ere ez.- Bi soluzio baditu, parabolek bi puntutan ebakitzen dute elkar.- Soluzio bakarra badu, parabolak elkarren ukitzaileak dira.- Soluziorik ez badu, parabolek ez dute puntu komunik.Adibideaka) Bitezb)BitezEbazpenaAlderantzizko proportzionaltasunaren funtzioaBitez bi neurri, x eta y, y x-en alderantzizkoaren proportzionala dela,. Orduan esaten da x eta y alderantziz proportzionalak direla.AdibideaBaserritar batek 3 hilabetetan 35 animalia bazkatzeko adina belar du baserrian bilduta. Zenbat animalia saldu beharko ditu baldin etaa) belar kopuru horrekin bere animaliak 4 hilabetez bazkatu nahi baditu?b) eta bost hilabeterako bazka izan nahi badu?Egin taula bat animalia kopurua eta animalia horiek bazka ditzakeen egun kopuruaren arteko erlazioa adieraziz.EbazpenaDenbora egunetan adierazten badugu -30 eguneko hilabeteak harturik-, animalia kopuruari n esaten badiogu eta egun kopuruari d, erlazio hau izango dugu :. Ekuazio horretatikateratzen da. Hortaz, baserritarrak bere animalientzako bost hilabeterako bazka izan dezan :egun ;, beraz 14 animalia saldu beharko ditu.Alderantzizko funtzioa Alderantzizko proportzionaltasuna aztertzeko aukera ematen duen funtzioafuntzioa da.

Era horretako funtziorik sinpleenada, eta hori erabiliko dugu, hasteko.Funtzio horren izate eremuaBalio taula bat egingo dugu :Ezaugarri hauek nabarmentzen dira :• Funtzioa beherakorra da bere izate eremu guztian.• Etengune bakarra du, x = 0 puntuan ; jarraia daetatarteetan.

 

- Ariketa

4. Adierazi funtzio hauen arteko ebakidura puntuak analitikoki eta grafikoki :

 

- Ariketa

5. Irudikatu eta deskribatu

 

y= 1/x + a funtzioa

funtziotik abiatuta lortzen da,bektore traslazioz, edo funtzioari y =a funtzio konstantea batuz.Adibidez,funtzioafuntzioaren grafikoko puntu guztiak hiru banako goratuz lortzen da. Hortaz: • Izate eremua D = R - {0} du.• Etengune bakarra x =0 da, beraz, jarraia daetatarteetan.

• Beherakorra da bere izate eremu guztian.

• Asintota bertikala x = 0 ekuazioko ardatza da.

• Asintota horizontala y = a zuzena da.Adibideafuntzioa aztertu (izate eremua, gorakortasuna, asintotak) eta grafikoa egin.Ebazpena :D = R - {0}, beherakorra eta jarraiaetatarteetan.Asintotak x = 0 eta y = 3

 

y = 1/x-c funtzioa

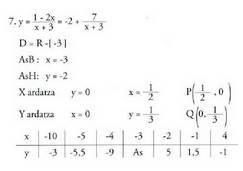
funtziotik abiatuta lortzen da,bektoreko traslazioz.• Bere izate eremuada eta jarraia eta beherakorra da izate eremu horretan.• Bere asintota bertikala x = c ekuazioko zuzena da.• Bere asintota horizontala x ardatza da.Adibidea Aztertufuntzioa eta grafikoa egin.

Ebazpena D = R - {-2}. Jarraia eta beherakorra da bere izate eremuan. Asintota bertikala x = -2 da, eta horizontala y = 0 (x ardatza)

 

Y= 1/x-c + a funtzioa

funtziotik abiatuta lortzen da, v (c, a) bektore traslazioz.

• Bere izate eremua D = R - {c} da.• Jarraia eta beherakorra da bere izate eremuan.• Asintota bertikala x = c ekuazioko zuzena da.• Asintota horizontala y = a ekuazioko zuzena da.AdibideaAztertufuntzioa eta grafikoa egin.EbazpenaD = R - {-3}. Asintotak x = -3, y = 2Orain k parametroakfuntzioaren grafikoan duen eragina aztertuko dugu, eta horretarako k-ren zenbait balio hartzen dituzten funtzio batzuk irudikatuko ditugu :Bitezfuntzioak.funtzioen bitartez,bektoreko traslaziozerako funtzio guztiak lortzen dira.Mota honetako funtzioek ezaugarri hauek dituzte :• Izate eremua D = R - {c} da, eta x = c etengune bakarra.• Asintota bertikala x = c zuzena da.• Asintota horizontala y = a zuzena da.• Simetria zentroa asintoten P(c, a) ebakidura puntua da.• Bi simetria ardatz dituzte, P(c, a) puntutik igarotzen direnak.Hortaz, c eta a parametroek kurbaren kokagunea adierazten digute ; k parametroak kurbaren forma zein den esaten digu, eta horren zeinuak kurbak asintotei buruz zuen kokaera.AdibideaEgiaztatu ezaugarri hauek guztiaketafuntzioen grafikoen bidez.

 

Kasu orokorra y = ax+b/x+c funtzioa

Funtzio hau aztertzeko zenbakitzailearen eta izendatzailearen arteko zatiketa egiten da lehendabizi. Adibide batekin ikusiko dugu :Adibideaa) Izan bedi, eta era honetan ikusten dugu emandako funtzioabektoreko traslazioz lortzen dela.Bere izate eremua D = R - {2} da, beherakorra da izate eremuan eta bere asintotak x = 2 eta y = 3 dira.

 

- Ariketa

 

Oinarrizko beste funtzio mota bat

funtzioaOrain oinarrizko funtzio irrazional mota bat aztertuko dugu, errokizuna lehenengo mailako polinomio bat denean.erako funtzioak dira eta parametro bakoitzak funtzio horietan duen eragina aztertuko dugu.Lehenengo 4 sinpleenak adieraziko ditugu.Lehenengo bi funtzioen izate eremuada.c) eta d) funtzioen izate eremuada.a) eta c) funtzioen ibilbideada.b) eta d) funtzioen ibilbideada.a parametroaren eragina zein den ikusteko, parametro horren balio desberdinak hartu eta zenbait funtzio aztertuko ditugu :Ikusi den bezala a-ren zeinuak funtzioaren izate eremua mugatzen du.Zenbat eta handiagoa izan, orduan eta arinagoa izango da funtzioaren gorakortasun edo beherakortasuna.Orokorrean,erako funtzio baten grafikoa egiteko :D izate eremua kalkulatzen da, errokizuna positiboa egiten duten x-en balioak osatzen dute :• Balio raula bat egiten da x-ari izate eremuko balioak emanezAdibideaFuntzioak aztertu era beren grafikoak irudikatu.

 

Tarteka definituriko funtzioak

Tarte desberdinetan formula desberdinez definituriko funtzioa ; dira.Era honetako funtzioen grafikoa egiteko balio taula bat egiten da formula bakoitzeko dagokion tarteko balioak x-i emanez.Adibideak

 

y = E(x) - [x] zati osoa funtzioa

Funtzio hau da x zenbaki erreal bakoitzari x baino txikiagoa den zenbaki oso handien, hau da bere zati osoa, egokitzen diona.Honela, E(2,7) = 2, E(3,42222...) = 3, E(-5,4) =-G, E(0,67) = 0, E(-0,3G) = -idefini daiteke.Bere grafikoa etengune infinitoko funtzio mailakatu bat du.Irudian ikus daitekeenez, x-eko puntu guztiak etenguneak dira.Grafiko bitxia da, 1lalabet, y E(x) - x funtzioarena.

 

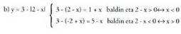
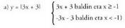
y = |ax + b| funtzioa

Funtzio hau R guztian dago definitua eta da positiboa, eta tartekako funtzio gisa ere defini daiteke honela :Adibidea

 

- Ariketak

8. Aurkitu ondoko funtzioen izate eremua, balio taula eta grafikoa9. Egin funtzio honen grafikoa :

 

Emaitzak:

 

LEONHARD EULER

(1707-1783)Basilean jaio zen, eta Basilean bertan egin zituen ikasketak : teologia, medikuntza, fisika, sortaldeko hizkuntzak eta matematika. Johan Bernoulli izan zuen matematika irakasle, eta haren seme Daniel eta Nikolaus, ikaskide. 1727an lana lortu zuen San Petersburgoko Akademian, medikuntza sailean.

Nikolaus eta Daniel ere han ari ziren, matematikari gisa. Nikolaus, baina, gazterik hil zen, eta Danielek katedra lortu zuelarik Basileako Unibertsitatean, matematika arduradun geratu zen Euler, San Petersburgon. 1741ean, Federiko Handiak deituta, Berlingo Akademian hasi zen lanean, eta hogeitabost urte eman zituen han. 1766an Katalina Handiak lana eskaini zion berriro San Petesburgon, eta Errusiara itzuli zen atzera. Eulerrek, nahiz eta Errusian eta Berlinen bizi, eta alemana izan haren ama hizkuntza, frantsesez eta latinez idatzi zituen lanik gehienak. Hiru dira garrantzitsuenak,analisi matematikoaren oinarriak : Introductio in analysin infinitorum (1748), funtzioei buruzkoa, Institutiones calculi differentialis (1755), deribatu eta ekuazio diferentzialei buruzkoa, eta Institutiones calculi integralis (1768-1770), integralei buruzkoa.Eulerren irizitz, funtzioak ziren analisiaren aztergai nagusia. Problema bat ebaztea, problema horri dagokion ekuazio diferentzialaren soluzio izango den funtzioa aurkitzea zen.Dardar ari den soka baten mugimenduaren kasuan, esate baterako, horri dagokion ekuazio diferentziala, hau da, dx = zdz/(a-z) ebazteko, Eulerren ustez aski zen ekuazioaren soluzioak x + z + a.log (a-z) = konstantea funtzioak zirela jakitea.Haren maisu Joan Bernoulliren ustez, ordea, urrats bat besterik ez zen hori, eta funtzio horien interpretazio geometrikoa behar zen ezagutu, problema osorik ebatziko bazen. Eulerrek funtzio trigonometrikoak, esponentzialak eta logaritmikoak landu zituen, eta berdintza hauek proposatu zituen :D'Alemberten eta Johan Bernoulliren iritziz bestera, funtzio multibaluatu gisa definititu zituen zenbaki konplexuen logaritmoak. Eraiki zuen teoria, baina, ez zen oso sendoa oinarrietan, eta funtzioaz eman zuen definizoa ere ez oso zehatza : "kopuru aldakorrez eta zenbaki edo kopuru lconstanteez osaturiko edozein adierazpen analitiko" gisa definitu zuen. Oso emaitza baliagarriak lortu zituen serie konbergente edo dibergenteetako emaitzak funtzioetan aplikatuz. Baina frogatu zuen beste biderik ere, segidak batuketa finitoak balira bezala tratatuz, eta bide horrek zenbait huts eginarazi zion.Bestalde, gaur egun matematiketan erabiltzen diren ikurretako asko, berak erabili zituen lehenengoz: x-en funtzioa f(x) bidez adieraziz, e zenbakia e letraren bidez, irudizko banakoa i letraren bidez. Zirkunferentzia eta diametroaren arteko zatidura adierazteko, berriz, n zenbakia erabiltzea zabaldu zuen. Geometrian, triangelu baten angeluak adierazteko, A, B, C letrak erabili zituen, eta aldeak adierazteko, berriz, a, b, c ; halaber erabili zituen, zirkunferentzia inskribatuaren erradiorako, r letra, zirkunferentzia zirkunskribatuaren erradiorako, R, eta erdiperimetrorako, s. Triangeluetan 4Rs=abc betetzen dela aurkitu zuen berriro.

Zenbakien teorian Fermaten teorema frogatu zuen : a eta p zenbaki lehenak badira, ap-1 eta p zatitzean, zatiketaren hondarra 1 da. Orobat frogatu zuen oker zebilela Fermat, n lehena baldin badazenbaki lehena dela zioenean, zeren n=5 denean