Matematika»Analisiak
Funtzioak. Gai orokorrak
Sarrera
Eguneroko hizkuntzan, askotan erlazionatzen dira bi kantitate ; esan ohi da, adibidez, zerbait erostean ordaintzen den zerga salneurriaren mende dagoela, edo postaz pakete bat bidaltzeko prezioa pisuaren araberakoa dela. Adierazpen horiek nahiko ondo azaltzen dute matematikan funtzio bat zer den ; ideia hori azalduko da hain zuzen, atal honetan eta hurrengoan.Funtzio kontzeptua garrantzi handiko kontzeptua da matematika modernoan (XVII. mendeko bigarren erdialdetik aurrera zabaldu zen bezala hartuta). Leibniz (1646-1716) izan zen funtzio hitza lehenengo erabili zuena, baina Euler (1707-1783) izan zen kontzeptu hori gehien sakondu zuena. Haientzat erlazio funtzionalaren ideia bat zetorren formula matematiko batekin, erlazioaren nolakotasuna adierazten zuen formularekin hain zuzen. Baina kontzeptu hori oso mugatua zen, eta zabaldu egin zen gaur egungo kontzeptura iritsi arte.
Definizioa, Izate-eremua, Ibilbidea, Grafikoa
Bedi D zenbaki errealen multzo bat. D-n definitutako funtzio
erreala, D-ko elementuei R-ko elementu bana dagokien D-ren eta
R-ren arteko aplikazioa da. D multzoari izate-eremu esaten zaio.
Funtzioak hartzen dituen balio multzoari funtzioaren ibilbidea
esaten zaio.Funtzio bat honela adierazten da :
x aldagai askea day (x-en irudia f-ren bitartez) mendeko aldagaia da.Ondoren adibide batzuk azaltzen dira.Adibideak:1.
funtzioa hartuko da lehenbizif-ren izate-eremua R da.x-ek R-ko balio guztiak hartzean, x2+1-ek 1 baino handiagoak diren zenbaki erreal guztiak hartzen ditu. Hortaz, ibilbidea
inserted text
2.
. g-ren izate-eremua emanik dator[2,7] tarte bezala.x = 2 denean g(2) = 2+2 = 2x = 7 denean g(7) = 7+2 = 9 = 3, x-ek 2 eta 7-ren artean dauden
balio guztiak hartzen dituenean, g(x)-k 2 eta 3 artean dauden
balio guztiak hartzen ditu. g-ren ibilbidea [2,3] tarte itxia da. Hau
da:
Bedi f funtzio bat izate-eremua D duena ; f-ren grafikoa, definizioz, P(x,f(x)) puntuen multzoa da,
izanik. Hala,
funtzioaren grafikoa la irudiko parabola da, eta g(x)= x+2
funtzioaren grafikoa l b irudiko arkua da.
Oharra : garrantzi handikoa da azpimarratzea, baldin eta x-en funtzioa y bada,
bakoitzeko y-ren balio bakar bat dagoela, izan ere, hala ez balitz ez bailitzateke funtzio izango.y x-en funtzioa den erraz jakin daiteke grafika ezagutzen denean.. x-en funtzio bada, ez dago zuzen bertikalik grafikoa puntu batean
baino gehiagotan ebakitzen duenik. Beraz, 2,2a) 2d) eta 2e) grafikoetakoak
funtzioak dira, 2c) eta 2f) grafikokoak, berriz, ez.
Askotan funtzioaren izate-eremua ez dator esplizitoki emanda,
edo
idatz daiteke, ezer gehiago erantsi gabe. Kasu horietan f(x) zenbaki erreala duten x zenbaki errealen multzo handiena hartzen da izate-eremu bezala. Beraz,
funtzioarentzat
eta
funtzioarentzat berriz,
Horien grafikoak hauek dira
Ariketa ebatziaka) Bilatu
funtzioaren izate-eremua eta ibilbidea.Ebazpena
Izate-eremua bilatzeko kontuan hartzen da
zenbaki erreala izateko
izan behar duela, hau da,
. Baina x = 1 denean,
da eta
ez da existitzen ; hortaz,
Orain ibilbidea kalkulatzen da. x-ek
tarteko balioak harterakoan,
-ek zenbaki erreal positiboak guztiak hartzen ditu eta gauza bera
-ek, hortaz
eta f-ren ibilbidea =
da.b)
funtzioaren izate-eremua eta ibilbidea bilatu.Ebazpena
zenbaki erreala izango da, baldin eta
bada; hortaz,
izan behar du eta hori x < -3 eta
denean betetzen da. Beraz, funtzioaren izate-eremua bitarte hauek bilduz lortzen da:
x-ek izate-eremuko balioak hartzerakoan g(x)-ek zenbaki erreal positibo guztiak eta zero balioak hartzen ditu, hau da, g-ren ibilbidea
- Ariketak
1) Bilatu ondoko funtzioen izate-eremua eta ibilbidea
2) Bilatu ondoko funtzioen grafikoa
Funtzio bikoitiak, funtzio bakoitiak
Definizioak
f funtzio bat bikoitia dela esaten da
betetzen denean.f funtzio bat bakoitia dela esaten da
betetzen denean.Funtzio bikoiti baten grafikoa simetrikoa da y ardatzari buruz (5.. rudia). Funtzio bakoiti baten grafikoa, O koordenatuen jatorriari
buruz simetrikoa da (6. irudia).
Adibideak:a)
funtzio bikoitiak dira :
b)
h(x) = sen x, funtzioak bakoitiak dira :
- Ariketak
3. Esan ondoko funtzioak bakoitiak edo bikoititak diren,
edo ez bata ez bestea :
4. f funtzio bat zenbaki erreal positiboentzat ondoko eran
definitzen da :
Funtzioen arteko eragiketak
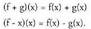
Izate-eremu bereko funtzioak batu eta ken daitezke :
Biderka daiteke
Eta
bada,
kalkula daiteke eta
.
a zenbaki erreala bada eta f funtzio bat,
.Eta
eta
zenbaki errealak badira, konbinazio linealak egin daitezke
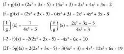
Adibideak :a) Bitez
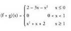
b) Tarteka definitutako bi funtzio hartuz gero :
(f+g), (f-g) eta
bilatzeko bi funtzioen izate-eremua tarte berdinetan banatu behar da.
Hortik aurrerakoa erraza da :
- Ariketak
Funtzioen konposaketa
Orain arte funtzioen arteko eragiketa aljebraikoak nola egiten diren aztertu da ; ondoren, bi funtzioen arteko konposaketa f " g azalduko da.
Definizioa
Bitez f eta g funtzioak, g-ren ibilbidea. f-ren izate-eremuaren azpimultzo bat izanik, hau da
konposaketa ("g konposatua f-rekin" irakurtzen da) g-ren izate-eremuan honela definitutako funtzioa izango da :
Hortaz,
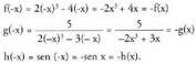
balioaren irudia bilatzeko lehenbizi g(x) bilatzen da eta ondoren horren irudia f-ren bitartez.Adibideaka) Bitez g(x)=2x+1 eta
, orduan
Ondoren
kalkulatzen da
Ikusten denez, trukakortasunaren propietatea ez da betetzen izan ere,
baita.. ) Bitez
eta
. Orduan :
c) Bitez
eta
, orduan
d) Bilatu f eta g bi funtzio
beteko dutenak, baldin eta
bada.Ebazpena
eta f(x) = 2x+5, izan ere
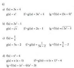
- Ariketak
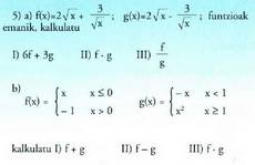
6) Ondoko funtzioekin
eta
konposaketak kalkulatu
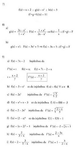
7) Bilatu
eta h(x) = 3x izanik8) Bilatu f, baldin eta
bada.
Funtzio injektiboak. Alderantzizko funtzioa
Funtzio injektiboak
Zenbait funtziotan x aldagaiaren balio desberdinek y irudi berdina dute. Hori, esate baterako, funtzio konstanteetan gertatzen da, f(x) = 3 funtzioan izate-eremuko balio guztiak irudia 3 dute.
funtzioan,
Definizioa
Funtzio bat injektiboa dela esaten da, baldin eta soilik baldin ez
badaude izate-eremuan bi puntu irudi berdina dutenak.
Era honetan ere idatz daiteke :
Adibideak
eta
injektiboak dira.f funtzioa injektiboa da ez daudelako bi zenbaki desberdin kubo
berdina dutenak; g funtzioa injektiboa da, ez daudelako erro koadroa
berdina duten bi zenbaki desberdin.Behin grafikoa ezagutzen denean, erraza da funtzio bat injektiboa
den ala ez jakitea. Zuzen horizontal batek grafikoa behin baino
gehiagotan ebakitzen duenean funtzioa ez da injektiboa (7. irudia).
Baina ez badago zuzen horizontalik grafikoa behin baino gehiagotan
ebakitzen duenik, orduan funtzioa injektiboa da (8. irudia).
Alderantzizko funtzioa
funtziotik abiatuta, demagun badakigula puntu baten irudia 8 dela, hau da,
, badago galdetzea ea zein den x-en balioa, eta horren erantzuna x = 2 da. Funtzioa injektiboa denez gero,
-ren balio bakoitzeko x-en balio bakarra dago.
Hortaz, badago funtzio bat definitzea f-ren ibilbideko puntu bakoitzari bere aurreirudia egokituko diona. Funtzio horri f-ren alderantzizkoa esaten zaio eta
adierazten da. Kasu horretan funtzioa
da.
.
funtzioarekin gauza bera egin nahi izanez gero, g-ren ibilbideko puntu bat ezagutzen da eta horren aurreirudia aurkitu nahi da ; bedi
, x-entzat bi aukera daude 2 eta -2, eta hori dela eta ezin aurki daiteke
Alderantzizko funtzioaren definizioa.
Bedi f funtzio injektibo bat. f-ren alderantzizkoa,
adierazten dena, funtzio bakarra da izate-eremutzat f-ren ibilbidea duena eta ekuazio hau betetzen duena :
ere egia da.Frogapena
hartzen da eta
denez gero :
y-ren ordez f(x) jarriz gero,
. Horrek esan nahi du f-k x-en eta
-en balioa hartzen duela, eta horrenbestez,f injektiboa denez,
izan behar du, frogatu nahi zen bezala.
Berdintza horrek esan nahi du
-ek f-ren lana desegiten duela (9. irudia).Era berean,
definizioak adirazten du f-ek
-en lana desegiten duela (10. irudia).
Konposaketan ikusi bezala
Ibil(f), hortaz,
identitate funtzioa da (elementu bakoitzaren irudia, elementua bera da).Era berean,
, hortaz,
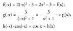
identitate funtzioa da f-ren izate-eremuan definitua.Adibideak1) Egiaztatu f(x) = 4x-3 funtzioa injektiboa dela eta alderantzizkoa
kalkulatu.EbazpenaInjektiboa dela egiaztatzeko
dela suposatzen da, hau da:
, beraz injektiboa da :
Alderantzizko funtzioa bilatzeko,
definitzen da eta f(t)=x ekuazioa ebazten da.
, ten ordez
jarriz gero
lortzen da.
2) Egiaztatu
injektiboa dela eta alderantzizkoabilatu.Ebazpena
Injektiboa dela egiaztatzeko
dela hartzen da oinarritzat, hau da :
, hortaz f injektiboa da,
betetzen baitaAlderantzizko funtzioa bilatzeko
definitzen da eta f(t)=x ekuazioa ebazten da
eta t-ren ordez
jarriz gero :
f eta f-1 grafikoen arteko harremana
f funtzio injektiboaren eta
haren alderantzizko funtzioaren grafikoen
artean harreman estua dago. f funtzioaren
grafikoa P ( x , f ( x ) ) erako puntuek
osatzen dute eta
funtzioarena
erako puntuek. 11. marrazkian ikus daitekeenez, P eta
puntuak simetrikoak dira y = x zuzenari buruz (1. eta 3. kuadranteetako erdikaria).Behin f funtzioaren grafikoa ezagututa, berehala ateratzen da
en grafikoa. 12. marrazkian f funtzioaren grafikoa ematen da eta 13. marrazkian
-en grafikoa lortu da f-ren grafikotik abiatuta.
Ondoren funtzio ez injektiboak aztertzen dira, kasu batzuetan
posible da emandako funtziotik abiatuta funtzio injektibo bat
bilatzea. Horretarako nahikoa da tarte egoki batean definitzea.
Ondoren alderantzizko funtzioa kalkula daiteke. Hori azaltzeko
adibide batzuk jarriko dira :Ariketa ebatziak
funtzioa ematen da. Funtzio hori ez da injektiboa f(0) = f(2) = -1 delako.Nola defini daiteke, izate-eremua murriztuz, injektiboa den
funtzio bat, eta halakotan zein da alderantzizkoa?EbazpenaKarratuak osatuz, funtzio hori
idatz daiteke.Funtzio hori, izate-eremua R duena, simetrikoa da x=1 ardatzari buruz, izan ere, f(0) = f(2) = -1, f(-1) = f(3) = 2, f(-2) = f( 4) = 7 baita eta, oro har, 1 -etik distantziakide diren x-en balioentzat balio berdina hartzen du funtzioak. Ibilbidea kalkulatzeko kontuan hartzen da
dela; hortaz,
eta Ibil
Hortaz,
funtzioa defini daiteke
, injektiboa dena, edo defini daiteke
ere, hori ere injektiboa. Emandako funtziotik abiatuta, bi funtzio injektiboak
eta
definituko dira.
inserted text-en izate-eremua
da.
-ren izate-eremua
daBien ibilbidea
da.
funtzioak
-en alderantzizkoak, izate-eremua
-en ibilbidea izango du
eta ibilbidea, berriz,
-en izate-eremua izango du
Kalkulatzeko, honela idatzi behar da:
bete beharko da, eta ondoko hau lortzen da :
, eta t-ren ordez
jarriz gero,
lortzen da, ibilbidea
duena.Baina, erroa aukeratzean bi aukera zeuden, eta bazegoen erro negatiboa hartzea ; horrela eginez gero
ateratzeko litzateke, ibilbidea
lukeena, alegia
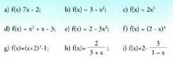
- Ariketak
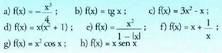
9) Esan ondoko funtzio hauek injektiboak diren ala ez ; injektiboak direnetan kalkulatu alderantzizkoa.
- Ariketak
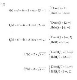
Bedi
funtzioa, kalkulatua) izate-eremua eta ibilbidea.b) Definitu
eta
Funtzio gorakorrak eta beherakorrak
Definizioak
Bitez f funtzioa eta D bere izate-eremua.
tartean f gorakorradela esaten da, baldin eta soilik baldin
Horrez gainera,
bada, f hertsiki gorakorra delaesaten da.
Bedi f funtzioa eta D bere izate-eremua.
tartean f beherakorra dela esaten da, baldin eta soilik baldin
; horrez gainera,
bada, f hertsiki beherakorra dela esaten da.
AdibideaOndoko grafikoko funtzioa
eta (-1,3) tarteetan gorakorra da eta (-5,-1) eta
tarteetan beherakorra.
Funtzioaren muturrak. Maximoak eta minimoak
Definizioak
Bitez f funtzioa eta D izate-eremua. f-k a CED puntuanmaximoerlatibo bat duela esaten da, baldin eta a-k ingurunea badu, erradioa
duena, hau da,
non
(f-k a puntuan inguruko puntu guztietan baino balio handiagoa du).Bitez f funtzioa eta D izate-eremua. f-k aCED puntuan minimo erlatibo bat duela esaten da, baldin eta
non
betetzen den (funtzio horren balioa a puntuan inguruko puntu guztietan baino txikiagoa da).
Periodizitatea
Atal hau funtzio trigonometikoei dagokie batez ere, eta horregatik,
mota horretako funtzioak erabiliko dira adibideetan.
Ondorengo kapituluan, berriz, periodiko trigonometriko ez diren
zenbait funtzio aztertuko dira.
Definizioak
Funtzioa bat periodikoa dela esaten da, baldin eta edozein x-entzat zenbaki erreal bat, zero ez dena, esistitzen bada :
betetzen duena, T zenbakia funtzioaren zenbakia da.Adibideaky=sen x eta y=cos x funtzio periodikoak dira eta periodoa 2p da.
Hau da :
y = tg x funtzioa periodikoa da eta periodoa
da,
da eta edozein x-entzat
Oro har,
eta
erako funtzioak periodikoak dira eta periodoa
dute.
erako funtzioak periodikoak dira eta periodoa
Grafikoki f funtzio bat periodikoa bada eta bere periodoa T badu, eta bere grafikoa G, puntu bat
emanik,
erako puntu guztiak G-koak dira orobat.
AdibideaBedi
; kasu horretan (2,4) zkh = 2 da, hortaz
, hortaz, periodikoa da eta periodoa
- Ariketak
Ondoko funtzioak periodikoak direla egiaztatu, eta horien periodoa eman :
Ariketen Ebazpena
2)
3) a) Bakoitzab) Bakoitza c) Ez bat, ez bestead) Bakoitzae) Bikoitzaf) Bakoitzag) Bikoitzah) Bikoitza