Matematika»Geometria

Espazioko geometria

Espazioak hiru dimentsio ditu, eta era askotako plano kopuru infinitoa hartzen du bere baitan. Baina espazioa aztertzeko abiapuntutzat hartzen diren axiomak eta erabiltzen diren metodoak planoan erabilitako berberak dira, eta, beraz, atal honen nondik norakoa eta aurreko atalena ez da oso bestelakoa izango. Espazioan gauzaki geometriko berriak eta problema berriak daude ; hiru dimentsiotan korapilatu egiten dira, oro har, problemak, nahiz baten bat erraztu ere egiten den. Baina planoaren geometrian ateratzen diren emaitzak baliozkoak dira espazioko plano guztietan ere, eta espazioan ateratzen diren emaitza berriek behin ere ez dituzte ukatzen planoan lortu direnak.Puntuak, zuzenak eta planoak dira espazioko elementu soilenak.

Elementu horiekin egin daitezke poliedroak, aurpegi lauak dituzten irudiak, alegia, edo egin daitezke irudi, gainalde edo lerro kurbatuak ere, nola diren konoak, zilindroak eta esferak. Azken hauek dira kapitulu honetan aztertuko ditugunak. Intzidentzia, paralelismoa, elkarzutasuna eta antzeko problemak aztertuko dira lehenengo, eta arestian aipaturiko irudiak, gero.

 

I. Puntuak, barnekotasun erlazioa.

Planoak eta zuzenak puntu multzoak dira. Baldin eta puntu bat aztergai den puntu multzoaren barnean badago, esaten da puntu hori planoaren edo zuzenaren barnean dagoela, edo planoak edo zuzenak puntu hori daukala. Alderantziz, puntu jakin bat hartuz gero, puntu horretatik zuzen edo plano multzo oso bat pasatzen da.

Puntu bakarrarekin ezin da irudirik definitu.

 

I I. Zuzenak

Zuzen bat definitzeko bi puntu desberdin edo puntu bat eta norabide bat behar dira, planoan bezala. Espazioan, zuzen bat bi planoen ebakidura gisa ere defini daiteke.Har dezagun zuzen bat, eta zuzen horretan puntu bat ; puntu horren ezkerretara edo eskuinetara dauden puntuekin zuzenerdia egiten da.Har dezagun zuzen bat eta bi puntu ; zuzenki esaten zaio bi puntu horien artean dagoen zuzeneko puntu multzoari. Hemen ere balio dute, oro har, planoen atalean eman ziren zuzenki orientatuen, angeluen, etab.en definizioak.

 

Bi zuzenen arteko erlazioa

Har ditzagun bi zuzen -s eta r- ; gerta daiteke :- Bi zuzen horiek bat egitea, baldin eta puntu guztiak komun badituzte.- Bi zuzen horiek elkar ebakitzea, baldin eta puntu bat badute komun.- Bi zuzen horiek paraleloak izatea, baldin eta ez badute punturik komun eta plano berean badaude.Bi zuzen horiek gurutzatzea, baldin eta ez badute punturik komun eta ez badaude plano berean.Plano berean dauden zuzenei zuzen planokideak esaten zaie. Bat egiten duten zuzenak ere zuzen paraleloen multzoan sartu ohi dira, eta kasu horretan, bat egiten ez duten zuzen paraleloak direla adierazi nahi denean, esaten da hertsiki paraleloak direla.Kuboaren ertzak dira aukera desberdin horien adibide. ABC- DEFGH kuboaren ertzek barnean dituzten zuzenei erreparatuz gero,AB eta EF edo DG eta CH paraleloak dira. AB eta BC ertzek eratzen dituzten zuzenek B puntuan elkar ebakitzen dute. AB eta FB zuzenak gurutzatu egiten dira.Zuzenen arteko paralelismoak tasun berberak ditu espazioan bezala planoan ere. Alegia, baldin eta zuzen bat beste baten paraleloa bada, bigarren zuzena lehenengoaren paraleloa da ; horri lege errefle- Kiboa esaten zaio. Baldin eta zuzen bat beste baten paraleloa bada, eta bigarren hori hirugarrenaren paraleloa orobat, lehenengo eta hirugarren zuzenak ere paraleloak dira. Baldin eta bat egiten duten zuzenak zuzen paralelotzat jotzen badira, paralelismoak baliokidetasun erla~ !io bat definitzen du zuzen horien artean, zatidura multzotzat espatioan dauden norabide anitzak dituena. Norabide batean paraleloak liren zuzen multzoari zuzen paraleloen sorta esaten zaio.Planoan lortzen diren beste emaitza batzuek balio dute espazioan ere. Hala, bi zuzen ebakitzailek lau angelu definitzen dituzte ; angelu horiek berdinak dira binaka, erpinean aurkakoak direlako ; eta angelu pare bakoitzeko angeluak beste parekoen betegarriak dira, auzokideak direlako. Beste adibide bat, baldin eta zuzen ebakitzaile batek bi zuzen paralelo ebakitzen baditu, angelu korrespondienteak berdinak dira, txandakako barnekoak eta txandakako kanpokoak ; eta betegarriak dira angelu auzokideak eta albo berekoak, barnekoak edo kanpokoak. Era berean, puntu bat eta zuzen bat emanik, puntu horretatik zuzen horren zuzen paralelo bakarra pasa daiteke.Zuzen elkarzutak edo ortogonalak esaten zaie 90°ko angeluen arabera elkar ebakitzen duten zuzenei. Espazioan bi zuzenek norabide elkarzutak izan ditzakete, baina ez dute zertan elkarzutak izanik, elkar ebakitzen ez duten bitartean. Gainera, zuzen bateko puntu batean elkarzut infinitoak daude, ez bakarra, planoan gertatzen den bezala.Puntu batek zuzen baten gainean egiten duen proiekzioa : zuzen horrek eta puntu horretatik pasatzen den haren perpendikularrak elkar ebakitzen duten puntua. Espazioan zuzen perpendikularra nekez aurkitzen denez, puntutik pasatzen den zuzenaren plano perpendikularra erabiltzen da, zuzen perpendikularra plano horren barnean baitago.Puntu batetik zuzen batera dagoen distantzia : puntu horretatik zuzen horretako puntu bakoitzera dagoen distantzien artean txikiena da. Distantzia txikiena, planoan bezala, bat dator puntuaren eta puntuak zuzenaren gainean egiten duen proiekzioaren artean dagoen distantziarekin, zeren eta zuzenki elkarzut bat zuzenki zeihar bat baino txikiagoa baita beti.Bi zuzenen arteko distantzia esaten zaio lehenengo zuzeneko puntu baten eta bigarren zuzeneko puntu baten artean dagoen distantzia txikienari. Zuzen ebakitzaileen edo bat egiten duten zuzenen arteko distantzia zero da. Baldin eta zuzenak paraleloak badira, paralelo horiek perpendikular batean ebakitzen duten zuzenkia da distantzia txikiena, eta, beraz, hori da paraleloen arteko distantzia.Baldin eta zuzenak gurutzatzen badira, distantzia ere elkarzut komunean eratzen duten zuzenkiari dagokio.

 

- Ariketak

1. Bilatu kuboan paraleloak diren, gurutzatzen diren edo elkar ebakitzen duten zuzenen beste bi adibide.

 

I I I. Planoak

Plano bat muga daiteke lerrokatuta ez dauden hiru punturen bidez, edo zuzen batez eta zuzen horretan ez dagoen puntu batez, edo bi zuzen ebakitzailez, edo bi zuzen hertsiki paraleloz, edo puntu batez eta bi norabide desberdinez.Hala ere, 4 puntuk ez dute beti plano bat mugatzen, 4 punturekin tetraedro bat egin daiteke eta. Era berean, gurutzatzen diren bi zuzen abiapuntutzat harturik ezin daiteke planorik eratu, baina tetraedro bat egin liteke.Zuzen batek bakarrik ez du plano bat finkatzen, plano sorta infinitu batek izan dezakeelako barnean zuzen hori.Plano bat adierazteko a b g p etab. letra grekoak erabiltzen dira, edo, bestela, planoan dauden hiru puntuko letrak, adibidez, ABC.Plano batek bi azpiespazio desberdinetan banatzen du espazioa ; puntu bat planoaren alde batean edo bestean egon, hartara egongo da azpiespazio batean edo bestean ere.

 

Zuzenki baten plano erdibitzailea.

Zuzenki bat hartuz gero, zuzen erdibitzailea erdiko puntuko zuzen elkarzutetako baten bidez defini daiteke, baina hobe da plano erdibitzailea definitzea. Izan ere, zuzen erdibitzailea ez da bakarra, zuzen erdibitzaile sorta oso bat dago. Zuzenki baten muturretatik distantzia berera dauden espazioko puntuen leku geometrikoa da, erdiko puntuan, zuzenki horri buruz zut dagoen planoa. Plano horrek zuzen erdibitzaile guztiak dauzka barnean .Hori frogatzeko, plano horretako edozein puntuk muturretatik distantzia bera duela ikusiko da aurrena. Horretarako, demagun edozein puntu -P- ; puntu hori plano erdibitzaileak zuzenkia ebakitzen duen puntuarekin lotzen duen zuzen bat -PM- marrazten da.

Puntu horretatik zuzenkiaren erpin batera ber bi dagoen distantzia, ebakitze punturainoko zuzenkiaren zatiaren berbiduren baturagehi ebakitze puntutik muturreraino gelditzen den zuzenki zatiaren berbidurarenberdina da, planoa perpendikularra da eta eratzez, eta bilatzen ari garen distantziak bi triangelu zuzenen hipotenusak dira eta. Baina bi triangelu zuzen horiek badute katetu bat, planoan dagoena (PM), berdina dena komuna delako ; eta bestea (MA eta MB), zatitutako zuzenkian dagoena, berdina da baita ere, zuzenkia erdibitua dagoelako. Beraz, hipotenusak berdinak dira, eta distantzia bera dago adierazitako puntu horretatik muturretara.Alderantziz, baldin eta puntu horretatik muturretara distantzia bera badago, puntu hori planoan dago. Demagun puntu bat, P, muturretara distantzia bera duena ; zuzen elkarzuta egiten da zuzenkiraino, PM ; zuzen horrek erdiko puntuan ebaki behar du zuzenkia, bestela distantziak ez bailirateke berdinak izango, distantzia horiek direlarik PM aldea komun duten APM eta BPM triangelu zuzenen AP eta BP hipotenusak. Baina plano bakarra dago AB zuzenkiarekiko elkarzuta dena, erdiko puntutik ; beraz, P plano erdibitzailean dago, eta hori da hain zuzen frogatu nahi genuena.

 

Bi planoen posizio erlatiboak.

Demagun badirela bi plano,; plano horiek izan daitezke :Bat datozenak, baldin eta puntu guztiak komun badituzte.Paraleloak, baldin eta puntu bat bera ere ez badute komun.. Ebakitzaileak, baldin eta zuzen baten arabera elkar ebakitzen badute.Horregatik, bi plano ebakitzailek zuzen bat definitzen dute.

Baina zuzen bat hartuz gero, zuzen hori ez dute bi plano jakinek bakarrik definitzen, zuzen horretatik pasatzen den plano sortako edozein plano parek baizik.Paralelismo erlazioa erreflexiboa, simetrikoa eta iragankorra da ; eta puntu eta plano bat emanik espazioan, plano horren plano paralelo bakarra pasa daiteke puntu horretatik.Elkar ebakitzen duten bi planok lau zatitan zatitzen dute espazioa.

Horietako espazio bakoitzari angelu diedroa esaten zaio ; alegia, espazioan agertzen den angelu mota berri bat da.Baldin eta hiru plano edo gehiago badaude, aukera asko dira.

Puntu batean elkar ebaki dezakete, eta angelu poliedro bat eratu ; edo zuzen batean ebaki dezakete elkar, eta plano sorta berekoak izan ; edo hiru planoak paraleloak izan daitezke ; edo bi paraleloak eta hirugarrena ebakitzailea ere izan daitezke, etab.

 

Planoaren eta zuzenaren arteko erlazioa

Planoek badute ezaugarri bat : plano bateko bi puntu zuzen baten barnean badaude, zuzen oso hori planoaren baitan dago. Planoak berezkoa du ezaugarri hori, eta ezaugarri horretxek bereizten du planoa beste gainaldeetatik.Hauek dira zuzenaren eta planoaren kokaera erlatiboak :Zuzena planoaren barnean egotea, zuzen hori denean zuzenaren eta planoaren ebaketa.Zuzenak eta planoak puntu batean elkar ebakitzea.Zuzenak eta planoak batere punturik komun ez izan eta elkarren paralelo izatea.Baldin eta zuzen bat plano baten paraleloa bada, zuzen horren paraleloak diren zuzen kopuru infinitoa dago plano horren barnean.Baldin eta plano batek zuzen bat ebakitzen badu, orobat ebakitzen du zuzen horren paraleloa den zuzen oro. Baldin eta zuzen batek plano bat ebakitzen badu, orobat ebakitzen ditu plano horren paraleloak diren planoak.Zuzen baten paraleloak diren planoek elkar ebaki dezakete. Plano baten paraleloak diren eta puntu batetik pasatzen diren zuzen guztiek puntu horretatik pasatzen den plano paralelo bat eratzen dute.Baldin eta zuzen batek plano bat ebakitzen badu, orobat ebakitzen ditu ebakitze puntutik pasatzen diren planoko zuzen guztiak.

Zuzen horiek eta emandako zuzenak angeluak eratuko dituzte, eta ebakitze puntutik pasatzen den zuzena nolakoa den, halakoa izango da angelu horren balioa. Zuzenaren eta planoaren arteko angelua esaten zaio angelu horien artean txikienari. Ebakitze puntutik pasatzen diren gainerako zuzenekin eratutako angeluak gero eta handiagoak izango dira, harik eta zuzen batekin eratutako angelua 90°koa izango den arte ; gero, angeluak aurreko angeluen betegarriak izango dira.Zuzen bat plano bati buruz zuta da, zuzen horrek eta ebakitze puntutik pasatzen diren zuzen guztiek eratzen duten angelua 90°koa baldin bada. Zuzen horri eta plano horri ortogonal edo elkarzut esaten zaie, eta honela adierazten da : r Ia.Baldin eta zuzen bat plano bati buruz zuta bada, zuzen hori zuta da orobat plano horren plano paralelo guztiei buruz.Baldin eta plano bat zuzen bati buruz zuta bada, plano hori zuta da orobat zuzen horren paralelo guztiei buruz.Alderantziz, plano berari buruz zutak diren zuzenak paraleloak dira elkarri buruz ere.Puntu bat eta plano bat harturik, puntu horretatik plano hori ebakitzen duen zuzen zut bat eginez gero, zuzen horrek planoa ebakitzen duen puntua da puntuaren proiekzio ortogonala.Harturik zuzen bat eta plano bat ; zuzen horretako puntu guztien proiekzio guztiak barnean dituen zuzena da hasierako zuzenaren proiekzio ortogonala.

 

Puntu baten eta plano baten arteko distantzia.

Puntu baten eta plano baten arteko distantzia : puntu jakin baten eta planoko puntuen arteko distantzia txikiena da. Puntubaten eta plano baten arteko distantzia bat dator puntu baten eta puntu horrek planoan duen proiekzioaren arteko distantziarekin .Puntua planoan baldin badago, distantzia hori zero da.Kanpoko puntu baten eta planoko puntuen arteko distantzia konstantea denean, planoko puntu horiek zirkunferentzia zentrukidetan daude proiekzioaren inguruan.Zuzen baten eta plano baten arteko distantzia : zuzen horretako puntuen eta plano horretako puntuen artean dagoen distantziarik txikiena da. Distantzia hori zero da, baldin eta zuzen hori eta plano hori paraleloak ez badira ; paraleloak badira berriz, distantzia hori bat dator zuzen horretako edozein punturen eta planoaren arteko distantziarekin.Bi planoren arteko distantzia: plano bateko eta besteko puntuen arteko distantzia txikiena da. Distantzia hori zero da, baldin eta bi plano horiek paraleloak ez badira ; paraleloak badira berriz, distantzia hori plano bateko edozein punturen eta beste planoaren arteandagoen distantzia bera da ; alegia, distantzia hori bi planoen artean dagoen perpendikular komunaren luzeraren berdina da.

 

- Ariketak

2. Bilatu kubo batean bi plano erdibitzaile eta bi plano paralelo.3. Bilatu kubo bateko AB ertza erdibitzen duen planoa ; bilatu ertz hori erdibituko duten bi zuzen ere.4. Baldin eta M kubo bateko BCFG planoko puntu bat bada, frogatu M puntua eta G eta B lerrokatuta daudela, baldin eta AH eta M erpinek definitutako planoa ADEH planoari buruz zuta bada.5. ABCD tetraedro batean, P puntu bat hartzen da AB ertzean, eta Q puntu bat, AC ertzean ; baldin eta PQ eta BC zuzenek M puntuan elkar ebakitzen badute, non ebakiko dute elkar BCD eta PQD planoek?

 

I V. Angelu diedroak eta poliedroak

Elkar ebakitzen duten bi planok lau eremu mugatzen dituzte espazioan ; eremu bakoitzari angelu diedroa esaten zaio.Bi planoerdiek komun duten zuzenari ertza esaten zaio, eta planoerdi bakoitza angelu diedroaren alde bat da.Angelu diedroa neurtzeko, bi planoerdiak ertzarekiko elkarzuta den plano batez ebakitzen dira. Epai hori ertzarekiko zutak diren bi zuzenek eratzen dute ; eta bi zuzen horiek ertzarekin eratzen duten angeluari diedroaren lerrozuzena esaten zaio.Bi zuzenerdiak, bakoitza planoerdi batean, ertzarekiko elkarzutak dira puntu berean. Baldin eta ez badira bi zuzen elkarzut horiek hartzen, bi zuzenerdik, edozeinek, bata plano batekoa eta bestea bestekoa, eratzen duten angeluak edozein kopuru balio dezake, angelu baliogabetik (0°) angelu lauraino (180°).Angelu lauetan gertatzen den bezala, angelu diedroaren lerrozuzena 180° baino handiagoa edo txikiagoa izan, hala izango da ahurra ala ganbila ere.Diedro betegarria eta osagarria dagokie lerrozuzenak betegarriak edo osagarriak dituzten angeluei. Diedro auzokideak betegarriak dira. Diedro zuzenak plano elkarzutei dagozkie. Diedro kamutsak edo zorrotzak ere defini daitezke.

 

Angelu poliedroak

Angelu poliedroa: erpin izeneko puntu batean elkartzen diren hiru planok edo gehiagok mugaturiko espazioko eremua da. Alde bakoitza angelu poliedroaren aurpegi bat da.Angelu poliedroetan, aurpegiak angelu lauaren arabera neurtzen dira, eta ondoz ondoko bi aurpegien artean angelu diedro bat dago.

Hiru alde baino gehiago dituzten angelu poliedroak ahurrak edo ganbilak izan daitezke.Angelu poliedro erabiliena triedro zuzena da, aurpegiek elkarrekin diedro zuzenak eratzen dituztenak eta diedro epaiek ere elkarrekin angelu zuzenak eratzen dituztenak, alegia.

 

V. Pitagorasen teorema espazioan.

Pitagorasen teoremak espazioan ere balio du, planoko beste teoremek balio duten bezalaxe. Triangelu bat, ABC, harturik :Espazioko geometrian hiru norabide elkarzutekin lan egiten da maiz, eta, beraz, erosoagoa izaten da sarritan hiru norabide elkarzutetan dauden eta B eta C elkartzen dituzten hiru zuzenki erabiltzea, triangelu zuzeneko bi katetoak erabiltzea baino.Demagun BA dela BDA triangelu zuzenaren hipotenusa, horren arabera :Eta, beraz, Pitagorasen teorema honela geldituko litzateke :

 

- Ariketak

6. Aldean 2 banako dituen kubo baten erpinen arteko distantzia aurkitu.7. Ertzean "L" banako dituen kubo batean, aurkitu ertz baten erdiko puntutik 8 erpinetara dagoen distantzia.

 

V I. Poliedroak

Poliedroa gorputz geometriko bat da, poligono diren lau aldek edo gehiagok mugatua. Poliedroak gainalde lauez itxitako gorputz gotor itxiak dira ; esferak, konoak eta gainalde kurboz mugatuta dauden beste irudi batzuk ez dira poliedroak.Aurpegiak beren aldeen arabera lotzen zaizkio elkarri, eta poliedroaren ertzak eratzen dituzte. Aldameneko bi aurpegik angelu diedro bat eratzen dute. Poligonoen erpinak bat datoz puntu batzuetan ; puntu horiek poliedroaren erpinak dira. Poliedroaren erpin horietan angelu poliedroak eratzen dira.Poliedroak ganbilak ala ahurrak izan daitezke. Poliedro ganbilek teorema hau betetzen dute :Euler-en teorema :Poliedro ganbil guztietan egiaztatzen da aurpegi (C) kopurua gehi erpin (V) kopurua ertz (A) kopurua gehi bi dela.Teorema hori frogatzeko Schlegel-en diagramak erabiltzen dira ; eta, hala, ikusten da aurpegi baten erdigune gainetik ikusiko litzatekeena, baldin eta ertzak bakarrik ikusiko balira.Horrelako diagrama batean, aurpegi batek bi eremutan -r- zatituko luke planoa, eta nola poligono bat den, ertz -a- bezainbat erpin -v- izango lituzke. Beraz, hau beteko da: r + v = a + 2. Baldin eta beste aurpegi bat marrazten bada, aurpegi horrek ertz bat eta bi erpin izan behar ditu aurrekoarekin komun, eta beste eremu bat erantsi behar zaio planoa zatituta dagoen eremu kopuruari. Ertz kopurua aztertzen ari garen poligonoaren ertz kopurua ken batez handituko da, zeren eta ertz bat baitu komun aurreko aurpegiarekin . Erpin kopurua aurpegi berriaren erpin kopurua ken bi izango da, zeren eta bi erpin aurreko poligonoan baitzeuden. Beraz, r + v = a + 2 balioduna izango litzateke hala ere. Horrela jarrai daiteke harik eta aurpegien irudikatzeek planoa estaliko duten arte, eta orduan geratuko den eremu kopurua aurpegi kopuruaren berdina izango da. Hori zehatzago frogatzeko, edozein poliedro ganbil era horretako diagrama baten bidez irudika daitekeela frogatu behar da lehenik, eta erabilitako prozedurak ea edozein poliedro ganbilerako balio duen ikusi behar da gero.Prismak, piramideak eta poliedro erregularrak dira poliedro ezagunenak .Prisma poliedro bat da ; bi aurpegi paralelo ditu, oinarri esaten zaienak, eta bi poligono berdin direnak ; eta gainerako aurpegiak, alde esaten zaienak, paralelogramoak dira.Prismak beren oinarrien poligonoen arabera sailkatzen dira : triangeluarrak, tetragonalak, pentagonalak, etab.Prismaren oinarrietako planoen arteko distantziari prismaren alturari esaten zaio.Prismak zuzenak ala zeiharrak izan daitezke. Alboko aurpegiak oinarriari buruz zutak badira, zuzenak dira; zutak ez badira, zeiharrak .Prisma erregularrak : oinarriak poligono erregular dituzten prisma zuzenak dira.Paralelepipedoak oinarriak paralelogramo dituzten prismak dira.

Aurpegi guztiak laukizuzenak baldin baditu, ortoedro esaten zaio ; aurpegi guztiak laukiak baldin baditu, berriz, kubo.Orobat esan daiteke prismak gainalde prismatiko batez, zuzen bat poligono bati jarraiki paraleloki mugitzean sortzen den gainaldeaz, alegia, eta gainalde prismatiko hori ebakitzen duten bi plano paraleloz eratuta daudela.Piramideak oinarria poligono batez, edozeinez, osatua, eta gainerako aurpegiak piramidearen erpin esaten zaion puntu batean elkartzen diren triangeluz osatuak dituen poliedroak dira.Piramideak oinarriko poligonoaren alde kopuruaren arabera sailkatzen dira.

Piramidearen altuera erpinaren eta oinarriaren arteko distantziari esaten zaio.

Piramide zuzena aurpegiak triangelu isoszeleak dituenari esaten zaio ; aurpegiren bat eskalenoa baldin badu, piramide hori zeiharra da.Oinarria poligono erregular bat duen piramide zuzenari piramide erregularra esaten zaio. Piramide erregular baten alboko aurpegien altuerari apotema esaten zaio.Piramidearen enborra oinarriaren eta oinarriari buruz paraleloa den plano baten arteko piramidearen zatiak eratzen duen irudiari esaten zaio.Poliedro bat garatzea haren aurpegiak plano baten gainean marraztea da. Poliedroa plano baten gainean zabaltzeko moduan ertzetatik ebakitzea bezala da. Poliedroak era askotara gara daitezke.

Garapen horiek oso baliagarriak izaten dira aurpegien tankera jakiteko eta poliedroen azalera kalkulatzeko, eta azalera arautua duten gorputz geometrikoetarako, konoetarako edo zilindroetarako, adibidez.

 

- Ariketak

8. Zenbat ertz eta erpin ditu oinarria laukia duen piramide batek? Euler-en teorema betetzen du? Gauza bera egizu oinarria hexagono duen piramide enbor batekin.9. Oinarriko ertzean 3 banako dituen eta altueran 4 banako dituen piramide triangeluar erregular baten garapena marraztu.

 

Cavalieriren perspektiba

Espazioaren geometrian, marrazki industrialean, pintura artistikoan, kartografian edo argazkigintzan, behar-beharrezko gauza izaten da hiru dimentsiotako gauzaki bat paperean marraztea.Kasu horietan guztietan proiekzio problema bat izaten da. Ikusmenean edo argazkigintzan, izpiak hiru dimentsiotako gauzakietatik datozen zuzenak dira, eta izpi horiek halako moduan ebakitzen dute papera, non gauzakiaren puntu bakoitzari puntu bana baitagokio planoan. Gauzaki urrunenak txikiagoak ikusten dira, eta bi paraleloen artean dagoen norbaitek paralelo horiek urrunean azkenik elkartuko direlako irudipena izaten du.

Efektu horiek erdiko edo puntu batetiko proiekzio baten bidez lortzen dira. Irudiak nahiko ondo adierazten du gauzakia, baina ez dezake ez dimentsiorik ez paralelismorik ziurta.Marrazki industrialean, aitzitik, garrantzi handia du pieza bakoitza guztiz zehatz irudikatzeak, eta, horrexegatik, proiekzio ortogonalak egiteko joera dago, zeren eta, sakontasuna ondo antzematen ez bada ere proiekzio horien bidez, irudikatu nahi den planoa zehatz irudikatzen baita planoan, distantziak aise kalkula daitezkeela, soil-soilik papereko neurrietara dagokien eskala aplikaturik, eta angeluak zirkuluerdi graduatu batez zuzenean eramanik. Baina piezak zer itxura duen ondo jakiteko, proiekzio bat baino gehiago egin behar izaten da.Bi mutur horiek perspektiba konikoari eta proiekzio diedriko bati legozkioke. Bada tarteko proiekzio bat Cavalieriren perspektiba deritzana, eta hori da geometriako irudikatzeek hurbilen dutena.Cavalieriren perspektiban proiekzioa norabide baten arabera egiten da, baina norabide hori ez dago marrazkiaren planoari buruz zut, hari buruz zehar samar baizik. Horren ondorioz :- Aurrealdeko planoaren gainean, edo proiekzioaren norabideari buruz zuta den planoarenean, dauden distantziak eta angeluak eskalan irudikatutzen dira, eta plano horretan angeluak gorde egiten dira.- Proiekzioaren norabidean distantziak eta angeluak biak aldatzen dira, baina paraleloek paralelo jarraitzen dute, eta distantzia guztiak berdin txikitzen dira ; zuzenki baten erdiko puntuak segmentu horren erdiko puntua ordezkatzen du, edo, norabide horretan peperean distantzia bikoitza dena, distantzia bikoitza da errealitatean ere.Beste kontu bat da marrazkia ez izatea geometrian lagungarri soil bat baizik, eta, horregatik, irudi geometrikoen irudikatzea ez da behar bezala zaintzen, eta gutxi gorabeherako obaloak marrazten dira zirkuluak irudikatu nahi direnean, edo eskalaren zehaztasunaz arduratu gabe egiten dira marrazkiak.Gauzak, bistan da, ez dira horrela geometria deskribatzailea lantzerakoan, gauzaki gotorra planoan irudikatzea eta perspektibaren problema aztertzea baitu helburu geometria mota horrek.

 

VII Bost poliedro erregularrak

Poliedro erregularrak aurpegiak, ertzak eta erpinak berdinak dituztenei esaten zaie. Alegia, poliedro erregularrak poligono erregular berdinez daude eratuta, eta berdinak dituzte orobat angelu diedroak eta angelu poliedroak ere. Espazioko poliedro erregular horiek planoko poligono erregularren baliokide dira. Baina planoan poligonoek edozein alde kopuru izan badezakete, espazioan, berriz, poliedroak bost baizik ez dira : tetraedroa, kuboa, oktaedroa, dodekaedroa eta ikosaedroa. Hori horrela da, aldeetako angelu guztien erpinen baturak ezin duelako 360° baino gehiago izan, eta, angelu poliedrorik izango bada, gutxienez hiru aldek egin behar dute bat erpin batean.Aurpegiak karratuak baldin badira, 90°ko angelua dutenak, hiru aurpegi bakarrik elkar daitezke, hexaedroa edo kuboa eratzen dutela, zeren eta 90 x 4 = 360 baita.Aurpegiak pentagonoak baldin badira, 108°ko angelua dutenak, hiru aurpegi bakarrik elkar daitezke, zeren eta 108 x 3= 324° baita, eta dodekaedro bat eratzen da horrela.Hexagonoetan, barneko angelua 120°koa dutenez, hiru hexagonok gainalde lau bat eratuko lukete.Hauek dira bost poliedroak :Tetraedroa : lau aurpegi ditu, tankeraz triangelu aldekideak direnak, sei ertz eta lau erpin. Piramide triangeluar erregularra da.Honela garatzen da :Hexaedroak edo kuboak sei aurpegi ditu, karratuak, hamabi ertz eta zortzi erpin. Prisma zuzen bat da, oinarritzat karratu bat duena.Honela garatzen da :Oktaedroak zortzi aurpegi ditu, triangelu aldekide erakoak, hamabi ertz eta sei erpin. Karratu itxurako oinetik elkarri itsasita dauden bi piramideren itxura du.Honela garatzen da :Dodekaedroak hamabi aurpegi ditu, pentagono erregularrak, hogeita hamar ertz eta hogei erpin.Honela garatzen da :Ikosaedroak hogei aurpegi ditu, triangelu aldekideak, hogeitahamar ertz eta hamabi erpin.Honela garatzen da :

 

Gorputz gotor erregularrak edo platonikoak

Bost gorputz gotor erregularrei gorputz gotor platonikoak esaten zaie, Platonentzat horiek irudikatzen zituztelako mundua eratzen zuten elementu soilenak. Hauek dira elementu soil horiek : lurra, ura, airea eta sua ; eta gorputz guztiek elementu horiek zituzten oinarrian. Elementu horiek Platonek poliedro erregularrekin egokitu zituen, bakoitzaren mugikortasunaren arabera. Lurrari, hura baita mugitzen zailena, kuboa egokitu zion ; urari, mugikorragoa baita, ikosaedroa ; aireari, oktaedroa ; eta suari, azkenik, tetraedroa, harenak baitira erpinik zorrotzenak eta sarkorrenak.

Geratzen zitzaion irudi bakarrari, dodekaedroari, unibertso osoaren irudikatze bat balitz bezala hartu zuen. Erdi Aroko alkimistentzat, bestalde, dodekaedroa gauzen muina edo osagairik garbiena zen.Munduaren irudikatze hori gainbeheran etorri zen. Baina matematikaz baliaturik mundua interpretzatzeko gogoak bere horretan iraun zuen.

XVII. mendearen hasieran, Alemaniako enperadorearen astronomo Johanes Keplerrek (1571-1639) planeten orbiten azalpen bat proposatu zuen, bost poliedro erregularretan oinarritua. Garai hartan sei planeta ezagutzen ziren : Merkurio, Artizarra, Lurra, Marte, Jupiter eta Saturno. Kepler Kopernikoren teorien alde zegoen, hau da, uste zuen planeta guztiak eguzkiaren inguruan biraka ari direla, baina planetak nola zeuden kokatuta eta zergatik zeuden hala kokatuta esplikatuko zuen teoriarik ez zegoen garai hartan. Gehienen ustean, planetak esferen gainean zeuden, esfera baitzen zeruaren irudia, eta esfera horiek orbita zirkularrak egiten zituzten orobat.

Keplerrek planetak bost gorputz gotor platonikoen arabera kokatzea proposatu zuen. Baina, horretarako, zeruko irudiek esferak behar zuten izan, eta berak sei planeta kokatu behar zituen eta ez zituen bost gorputz baizik.

Horri irtenbidea emateko, proposatu zuen merkurio oktaedro batean inskribaturiko esfera baten gainean kokatzea, Artizarra zeukan esfera oktaedro horretan zirkunskribatua zegoela. Ikosaedroa zetorren gero, eta beste esfera bat, Lurra barnean zeukana ; dodekaedroa, ondoren, eta beste esfera bat, Marte zeukana; tetraedroa, eta beste esfera bat, Jupiter zeukana ; eta, azkenik, kuboa eta beste esfera bat, Saturno zeukana. Esfera guztiak poliedro batean inskribatuak eta hurrengo poliedroan zirkunskribatuak zeuden.Zoritxarrez, Keplerren irakasle Tycho Brahek planeten mugimenduari buruz egin zituen neurketak ez zetozen guztiz bat munduaren ikuspegi horrekin. Horregatik, Keplerrek teoria hori baztertu eta orbita eliptikoak eta planeten mugimenduaren legeak proposatu zituen, gaur egun ere Keplerren lege gisa ikasten direnak.

Keplerren irudia.

 

VIII. Gainalde eta gorputz kurbatuak.

Zilindroa eta konoa.

Irudi bat mugatzen duten gainaldeak gainalde kurboak izan daitezke, aldez edo osoro. Gainalde kurboek mugaturiko gorputzen artean soilenak ardatz baten inguruan lerro bat biratzetik eratzen direnak dira. Segidan aztertuko dira zuzen bat biraraziz eratzen direnak, zilindroak edo konoak, eta zirkunferentzia bat biraraziz eratzen direnak, esferak.

 

Zilindroak

Zuzen baten inguruan zuzen horren zuzen paralelo bat biraraztean sortzen den gainaldeari gainalde zilindrikoa esaten zaio.Zuzen nagusiari ardatza esaten zaio, eta birarazten den zuzenari, berriz, zilindroaren sortzaile.Gainalde zilindriko bat bi zuzen paraleloz ebakitzen bada, zilindro bat eratzen da.Alboan dauden zuzenak oinarriari buruz zutak badira, zilindroa zuzena izango da; zutak ez badira, zilindroa zeiharra izango da.Zilindro zuzen bat honela garatzen da :Zilindro zuzenen oinarriak zirkuluak dira ; zilindro zeiharrenak, berriz, elipseak.Zilindroaren altuera oinarrien arteko distantziari esaten zaio.Zilindro zuzenak laukizuzen bat bere aldeetako baten inguruan biraraziz ere era daitezke.Zilindro zuzen baten oinarrien arteko zuzen sortzailea bat dator altuerarekin. Zilindro zuzen baten garrantzi handiko beste datu batzuek zentroa eta oinarriaren erradioa dira.

 

Konoak

Gainalde konikoa : zuzen bat zuzen horrekiko ebakitzaile den beste zuzen baten inguruan birarariz sortzen dena da. Zuzen ebakitzaile hori ardatza da, eta birarazten den zuzena, berriz, gainalde konikoaren sortzailea.Horrela bi adar sortzen dira, ardatzak eta sortzaileak elkar ebakitzen duten puntuaren gainetik bata, eta azpitik, bestea ; ebakitze puntu horri erpina esaten zaio.Gainalde konikoetan garrantzi handia du ardatzak eta sortzaileak eratzen duten angelua, gainalde koniko hori irekiagoa edo itxiagoa izango den angelu horrek mugatzen baitu.Plano batek gainalde koniko bat ebakitzen badu, zer angelu osatzen duten, hartara eratuko da :- zirkunferentzia bat, baldin eta planoa elkarzut bada ardatzarekiko.- Baldin eta planoakangelua eratzen badu ardatzarekin, lerroa elipse bat izango da.- Baldin eta angelua zehazkibada, parabola bat eratuko du.- Baldin eta angeluabaino txikiagoa edobaino handiagoa bada, lerro hori hiperbola bat izango da.Baldin eta gainalde koniko bat ardatzari buruz zuta den plano batek edo lerro itxi bat eratzeko moduko inklinazioa duen plano batek ebakitzen badu,.eta gainalde konikoak, erpinak eta planoak mugaturiko gorputza hartzen bada, kono bat eratzen da. Baldin eta plano hori ardatzari buruz zuta bada, konoa zuzena izango da ; zuta ez bada, berriz, konoa zeiharra izango da.Erpinaren eta konoaren oinarriaren arteko distantziari konoaren altuera esaten zaio. Konoa zuzena bada, oinarria zirkulu bat izango da, eta zirkulu horren erradioa zein den jakin beharko da. Kono zuzenetan, erpina oinarriaren gainean proiektatuz gero, proiekzio hori haren zentro-zentroan egongo da.Kono zuzena honela garatzen da :Baldin eta kono bat oinarriko planoari buruz paraleloa den beste plano batek ebakitzen badu, horrela eratzen den irudiari kono enborra esaten zaio.

 

- Ariketak

10. Zer motatako epaiak era daitezke plano batek zilindro bat ebakitzen duenean?11. Inurri bat pote zilindriko baten alboko gainaldearen altuera erdian dago. Goiko ertzean dagoen marmelada tanta batera heldu nahi du. Baldin eta ertzari buruz perpendikular igotzen bada, 8 cm. ibili beharko ditu gora iritsi arte, eta, gero, beste 6 cm. egin beharko ditu jatekora iritsi arte. Zein du inurriak bide zuzenena, eta zer luzera du bide horrek? (Erabili zilindroaren garapena).

 

IX. Esfera

Esfera : zirkunferentziaerdi bat bere diametroaren inguruan biraraziz eratzen den gainaldea.Esfera beste modu batera ere defini daiteke : zentroa deitzen den puntu finko batetik distantzia berera dauden espazioko puntuen leku geometrikoa. Distantzia finko horri erradioa esaten zaio. Zentrotik pasa eta esferako bi puntu lotzen dituzten zuzenkiei diametroak esaten zaie, eta diametro horien luzera bi aldiz erradioa da.Baldin eta zentrotik igarotzen ez den plano batek esfera ebakitzen badu, oinarri bereko bi segmentu esferiko egingo ditu. Esferan eratzen duen gainaldeari txapel esferikoa esaten zaio.Bi plano paralelok esfera bat ebaki badute, bi oinarriko segmentu esferiko bat eratzen dute. Horien gainaldeari gune esferikoa esaten zaio.Baldin eta bi plano horiek diametro batean elkar ebakitzen badute, horrela eratzen den irudiari ziri esferikoa esaten zaio.Puntu batetik esferaren zentrorainoko distantzia esferaren erradioa baino txikiagoa, berdina ala handiagoa izan, hala dago puntu hura esfera barnean, haren gainaldean ala esferaz kanpo.Era berean, zuzen batetik esferaren zentrorainoko distantzia erradioa baino txikiagoa, berdina ala handiagoa izan, hala da zuzen hura esferaren ebakitzaile, ukitzaile ala esferaz kanpoko.Zuzen batek bi puntutan ebakitzen du esferaren gainaldea. Zuzen horretatik zentrora dagoen distantzia zero baldin bada, bi puntu horiek diametro baten muturrak dira.Ukitzailea ukitze puntura doan erradioarekiko elkarzuta da. Esfera baten puntutik zuzen ebakitzaile kopuru infinitoa marraz daiteke.Plano batetik esferaren zentrorainoko distantzia esferaren erradioa baino txikiagoa, berdina ala handiagoa izan, hala da plano hori esferaren ebakitzaile, ukitzaile ala esferaz kanpoko.Plano batek zirkulu baten arabera ebakitzen du esfera, eta plano horrekiko diametro perpendikularra zirkulu horren zentrotik igarotzen da.Ukitze puntura doan erradioa perpendikularra da plano ukitzaileari buruz. Esfera bateko puntu batetik plano ukitzaile bakarra dago, eta zuzen ukitzaile guztiak plano horren barnean dira.Bi esferen zentroen arteko distantzia erradioen batura baino handiagoa, berdina ala txikiagoa izan, hala dira bi esfera haiek kanpoko, ukitzaile eta kanpoko, ebakitzaile, ebakitzaile eta barneko, ukitzaile eta barneko edo barneko. Eta distantzia erradioen batura baino txikiagoa baldin bada, hiru gauza gerta daitezke : a) zentroen arteko distantzia erradioen arteko diferentzia baino handiagoa izatea, eta orduan esferek elkar ebakitzen dute ; b) zentroen arteko distantzia eta erradioen arteko diferentzia berdinak izatea, eta orduan esfera bat bestearen barne ukitzailea da; c) zentroen arteko distantzia erradioen arteko diferentzia baino txikiagoa izatea, eta orduan esfera bat bestearen barnean dago. Zentroen arteko distantzia zero denean, bi esfera horiek kontzentrikoak dira.

 

Ebazpenak

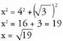
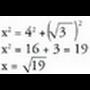
1. AB 11 EF 11 HG 11 DC ; AB gurutzatzen da EH, FG , HD eta GC-rekin.ABk ebakitzen ditu EA, DA, BC eta BF2. a) ABCDk ebakitzen ditu ABEF, BCFG, HGDC, eta ADHE.b) ABCD 11 EFGH3. AB, CD, EF eta HG ertzak erditik ebakitzen dituena da plano erdibitzailea. ABCD edo ABEF aurpegia mugatzen duten zuzenkiak erdiko puntuan dagoen zuzen perpendikular baten barnean egongo dira.4. ADEHri buruz zuta den eta Atik eta Htik pasatzen den planoa bakarra da eta Gtik eta Btik pasatzen da. AHM mugatzen duen planoa ere bakarra da, eta ADEHri buruz zuta baldin bada, bat dator aurreko planoarekin ; baina B eta G barnean dituen zuzen baten arabera ebakitzen du BFGC planoa, beraz Mk ere zuzen horretan egon behar du; hala, B, G eta M lerrokatuta daude.5. Dtik eta Mtik pasatzen den zuzenean, zuzen baten arabera ebakitzen dutelako elkar, eta bi puntuk zuzen bat mugatzen dutelako .6. Hartzen badugu A erpina, B, D eta Era dagoen distantzia 2 banakokoa da, C, F eta Hra dagoena,, eta G aurkako erpinera dagoena, berriz,7. Demagun M dela AB ertzaren erdiko puntua. d(MA) _ d(MB) = 1.d(MC) = d(MD) = d(MF) = d(ME) = V(5)d(MG) = d(MH) = 38. Oinarria lauki bat duen piramidea : 8 ertz, 5 erpin eta 5 alde.

5+5= 8+2Piramide hexagonal baten gerria : 18 ertz, 12 erpin eta 8 aurpegi 12+8 = 18 + 29. Oinarria 3 cm.ko aldea duen triangelua da, eta aldeak triangelu isosezleak dira, oinarrian 3 dutenak eta aldeak luzera berekoak dituztenak3 10. Baldin eta ardatzari buruz zuta bada, zirkulua : baldin eta zeiharra bada, elipsea ; eta baldin eta ardatza barnean badu, bi zuzen