Matematika»Aritmetika
Aritmetika
1. Atala
Zenbaki naturalak, osoak eta arrazionalak
Iritzi oso zabaldu baten arabera, zenbakiez asko dakien pertsona
da matematikaria. Zientzia honen lehen ardura zenbakiak direla ez
da gauza guztiz zehatza, baina oso urruti ere ez dago egiatik. Izan
ere, aritmetika da, zenbakiak aztertzen dituen zientzia alegia,
matematiken parte nagusietako bat. Normalean, aritmetika izaten
da matematikak zabal lantzen dituen liburu ororen hasiera.Jatorritik bertatik, bi adar izan zituen matematikak, aritmetika
eta geometria ; bestalde, matematikaren osagarri ziren musika,
matematika aplikatua zena, eta astronomia, geometriaren moldapena.
Alabaina, gaur egungo teorien arabera, askotan ez dira errazbereizten aritmetika eta geometria. Aritmetikak zenbakien teoria
ekarri du -zenbakien arazo klasikoak aztertzen dituena, zatigarritasuna
eta zenbaki lehenak adibidez-, orobat aljebra, topologia
-inguru eta hurbiltasun ideiak ikertzen dituena-, eta baita beste
adar batzuk ere. Baina bada halaber aljebra geometria bat, eta topologia
aplika dakioke geometriari. Liburuaren parte honetan aritmetikaren
objektu klasikoa aztertuko da, hau da, zenbakiak. Baina,
hasi aurretik, zenbakiaz egun zer ulertzen den zehaztu behar da.Matematikan, hainbat kategoriatan sailkatzen dira zenbakiak,
eta, aztertzerakoan, ikertzen ari garen zenbaki mota mugatzen duen
adjektibo bat izaten dute beti ondoan : zenbaki lehenak, pareak,
osoak, konplexuak, irrazionalak, etab. Irtenbidea ematen dieten
problemen arabera sailkatzen dira, edo, beren tasunen arabera,
mota desberdin askotan. Horien artean badira bost zenbaki multzo
garrantzitsu :- Naturalak, edo zenbaki oso eta positiboak.- Osoak.- Arrazionalak.- Errealak.- Konplexuak.Gero, zenbaki naturaletan, bakoitiak eta bikoitiak bereizten dira ;
osoetan, positiboak eta negatiboak ; errealetan, transzendenteak edo
irrazionalak; konplexuetan, irudizkoak. Horiek guztiak bereizten
dituzten ezaugarriak dira, lehenbizi, multzoa osatzen duten elementuak
eta nola lortzen diren, delako zenbakietan definitzen diren eragiketak,
ordena, eta zenbait tasun, jarraitasuna adibidez. Ezaugarri
horiek guztiak direla-eta, zenbaki batzuek kontatzeko edo ordenatzeko
besterik ez dute balio, naturalek adibidez, eta beste batzuek
luzerak neurtzeko, errealek esate baterako.Zenbaki mota bakoitza definitzeko, aurreko mota zabaldu egiten
da problema berriak ebatz ditzan, nahiz eta zabaltze horrek ezaugarriren
bat galtzea ere ekar dezaken.Zenbaki oso positiboak, N, kontatzeko balio dutenak dira : 1, 2,
3, 4, etab. Osoak, Z, naturalei negatiboak erantsiz lortzen dira.
Arrazionalak, Q, beste zabalpen bat dira, zatikiak ere bere baitan
hartzen dituena. Errealak, R, arrazionaletatik lortzen dira, multzoa
osoa izan dadin beharrezko zenbakiak erantsiz. Zenbaki errealetatik
eta irudizkoetatik abiatuta lortzen dira zenbaki konplexuak, C ; zenbaki
bakoitza hurrengoaren parte edo azpimultzotzat har daitekeelako
legea betetzen da horietan :
Zenbakien historia
Zenbaki naturala da ezagutzen den aurreneko zenbaki mota. Objektu
kopuru bera duten multzoak konparatzetik sortzen den abstrakzio batetik
datorrela dirudi. Haurrak gai dira, 12-18 hilabeterekin, objektu bat, bi eta
asko bereizteko. Era berean, mikak, karnabak eta beleak ere bereizten
dituzte bat, bi, hiru eta lau objektu. Zenbaki konkretuaren ideia, bi
zuhaitz edo bi harri, oso zaharra da. Aldiz, zenbaki abstraktuarena, biarena,
eta kontatzeko ahalmena, askoz ere geroagokoak dira.Erabili izan diren lehen zenbakiak txikiak dira, bat, bi, hiru, lau, baina
badirudi, aurkitu diren arkeologia aztarnak aztertuta, duela milaka urte ere
bazekiela gizakiak zenbatzen, makiletan edo hezurretan arrastoak eginez,
aztarna horien interpretazioa inoiz segurua ez den arren.Geroago hasi ziren erabiltzen zenbaki osoak eta handiak ; izan ere, zibilizazio
primitiboetan ez ziren hain erabilgarriak.Zenbaki negatiboak ere, falta den kopuruaren adierazgarri, edo zor baten
adierazpen moduan, ideia primitiboa direla dirudi. Baina zerbaiten zor edo
faltari zegozkien zenbaki positiboak zirelakoan ulertzen ziren, ez berezko
zenbaki gisa; era berean, kenketa egiteko zenbaki moduan ere uler zitezkeen
. Antzin Aroan, Txinan eta Indian erabiltzen ziren kalkuluak egiteko.
Txinatarrek makilatxo gorriak baliatzen zituzten zenbaki positiboentzat eta
beltzak negatiboentzat, baina azken emaitza zenbaki negatiboa izan zitekeenik
ez zuten onartzen. Antzeko gauza ageri da Brahmagupta VII. mendeko
indiar matematikariaren idatzietan. Ez antzinako grekoek, ez arabiarrek,
ez zituzten zenbaki negatiboak erabiltzen, bai ordea kenketak. Berpizkundean,
Chuquetek, Triparty de la science des nombres liburuaren egileak, zenbaki
negatiboak erabiltzen ditu 1484an. Stieffelek ere erabiltzen zituen
Arithmetica integra obran, baina "numeri absurdi" deitzen zituen. XVI.. endearen bukaeran, Vietek ez zuen zenbaki negatiborik erabili nahi.Girardek, 1629an, aurrera egitearekin konparatzen zituen zenbaki positiboak,
eta atzera egitearekin negatiboak, eta hasi zen negatiboak zenbaki
klase gisa onartzen. Geroxeago, Descartesek onartu zituen zenbaki negatiboak,
ez bakarrik eragiketatan erabiltzeko, baita soluzio gisa ere, baina positiboak
"egiazkoak" zirelakoan, eta negatiboak "faltsuak". Era horretan, pixkana-pixkana,
hasi ziren zientzialariak negatiboak zenbaki gisa onartzen,
eta positiboekin batera erabili ahal izateko moduan interpretatzen.Zeroa dago zenbaki oso positiboen eta negatiboen artean. Ezer ez edukitzearen
ideia, edo hutsik egotearena, oso zaharra da. Baina ezer ez edukitze
hori kopuru gisa onartzea, hori aski gauza berria da. Zero zifra zenbaki
modura, dirudienez VIII. edo IX. mendean erabili zen aurrenekoz, Indian.Zatiki positiboak ere oso zaharrak dira. Badira dokumentuak egiptoarrek erabiltzen zituztela adierazten dutenak. Baina zatiki haiek ez ziren gaur egun erabiltzen diren berak, 112, 1/3, 2/3 zatikiak eta zenbaki osoen alderantzizkoak bakarrik onartzen baitzituzten. Zenbaki baten (1/n) alderantzizkoa ez ziren zatikiak mota horretako zatikien batura bihurtu behar ziren, ez zitezen denak berdinak izan. Ahmesen papiroan (K.a. 1650), 2/n eta n/10-en deskonposatzea ageri da, 1 zenbakitzaileko zatikien baturan.
Zatikien batuketa ezagutzen zuten, baina biderkadurak eta zatiketak egiteko bikoizteaz eta erdiak hartzeaz baliatzen ziren.
Babilonian aurreratuagoak zeuden ; zatiki izendatzailedunak eta 60ko berredurak erabiltzen zituzten, eta horien bidez
bezalako zenbakietara hurbiltzen ziren. Pitagorasen garaian, grekoek ezagutzen zituzten zatikiak.
Elementuak obrako VII, VIII eta IX. liburuek neurri komuneko problemak eta zenbakien arteko arrazoiak lantzen dituzte, guretzat zatiki problemak direnak. Baina zenbaki irrazionalen aurkikuntzaren ondorioz, matematikari greko zorrotz haiek nahiago izan zuten problema horiek segmentu neurgarrien arrazoi gisa planteatu. Horrekin batera, kalkulu egile erromatar edo grekoek, praktikan zenbakiak erabiltzen zituzten arren, eragiketak egiteko berriz abakoaren antzeko tresnez baliatzen ziren, eta astronomialariek, balioen hurbilpenak lortzeko, Mesopotamiako zatiki hirurogeitarrak erabiltzen zituzten.Berpizkundean eta Ilustrazioaren garaian aurrerakuntza handiak izan
baziren ere, zenbaki irrazionalak oraindik ere zuzenki banako batek mugaturiko
zuzenki baten arrazoi gisa hartzen ziren. XIX. mendean eman zitzaien
forma zehatza zenbaki irrazionalei, garrantzia eman baizitzaion
jarraitasunaren hastapenari. Zenbaki errealen trataera zorrotza Bolzanoren
eta Cauchyren lanekin hasi, eta Dedekind eta Weierstrassen teoriekin
osatu zen, XIX. mendearen bigarren erdian.Zenbaki konplexuak aski berriak dira. Chuquetek eta Bombellik, Berpizkundean,
bazuten haien berri, eta eragiketak egiten zituzten zenbaki
negatiboen erroekin, baina definitu gabe. Gauza bera egiten zuen Girardek
XVII. mendean. XVIII.ean Moivrek, eta Eulerrek batez ere, erabiltzen
zituzten, eta batere arazorik gabe lantzen. Baina zenbakitzat ezagutu, ez
dira XVIII. mendearen bukaera arte ezagutzen, Wesselek planoaren puntu
gisa identifikatzen dituenean, eta, batez ere, Gaussek interpretazio hori
erabilgarri bihurtzen duenean.XIX. mendean ahaleginak egin ziren zenbaki multzoak areago zabaltzeko
: zenbaki osoak kentzailea kenkizuna baino handiagoa den kenketa
baten emaitza gisa har daitezke, eta zatikiak zehatza ez den zatiketa baten
emaitza gisa. Era berean, zenbaki konplexuak, oro har, zenbaki parea dira,
parte errealarena bata eta bestea irudizkoarena. Zenbakiak areago zabaltzeko
ohiko bidea izaten zen zer gerta zitekeen bi zenbaki konplexu hartzen
baziren galdetzea. Horiek izan ziren Hamiltonen kuaternioiak. Zoritxarrez,
zenbaki konplexuetan ordena zenbaki errealetan baino eskasagoa
bazen, kuaternioiekin, gainera, biderkaketa ez zen trukakorra, eta, hori
zela-eta, ez ziren hain interesgarriak. Beste batzuek kopuru gehiago hartuz
eta kopuru horiek zenbaki matrizetan ordenatuz gehitu zituzten zenbakiak
. Gaussek, bere aldetik, zatiketen hondarretara mugatu zituen zenbakinaturalak, zenbaki kongruenteak definituz. Zenbaki multzoak orokortzeko
edo gutxiagotzeko modu hori asko erabili da aljebra modernoan, erabilgarritasun
handiagoz nahiz txikiagoz.Baina ez da hori zenbaki motak zabaltzeko modu bakarra. Zenbait geometriatan
XIX. mendean infinituaren puntua lantzen hasi zen bezalaxe,
beste matematikari batzuek infinitua aritmetikan erabiltzeko erabakia hartu
zuten. Hori arrakastaz egin zuen lehena Cantor izan zen seguraski ; horrek
ordea matematikari askoren etsaitasuna ekarri zion, Alemaniako matematikari
nagusietako batena batez ere, Kroneckerrena. Izan ere, haien iritziz
hobe zen infinitua matematikatik kanpo utzi. Dudarik ez da infinitua ez dela
zenbaki arrunta. Galileak erakutsi zuen ezen zenbaki bakoitzak bere koadroa
duenez gero, koadro bezainbat zenbaki behar dutela izan. Baina 2 edo 3 ez
dira ezeren koadro, eta, hortaz, koadro baino zenbaki gehiago dago. Horren
ondorioz, zenbaki naturalak beren koadroak adina dira, eta, aldi berean,
beren koadroak baino gehiago ; kontraesan bat dago hor beraz. Hilbertek,
Cantorren ondorengo baina haren teorien aldeko zenak, modu errazagozagertu zuen kontraesan hori, esanez gela infinitu dituen hotel bat ez dela inoiz beteko. Gela guztiak beteak baleude eta beste bezero bat etorriko balitz, aski litzateke bezero hori lehen gelan sartzea. Lehenengo gelako bezeroa bigarrenera eramaten da, bigarrena hirugarrenera, eta horrela hurrenez hurren.
Denek izango lukete berriz ere gela, nahiz eta hotela betea egon.
Cantorren ustez, hori ez zen kontraesana, elementu kopuru infinitua duen multzoa definitzen duen ezaugarria baizik. Multzo bat infinitua da baldin eta bere azpimultzoko aplikazio bat definitzerik badago halakoa non elementu bakoitzari elementu desberdina dagokion. Berrogeita hamar gelako hotel batean bezeroak, banaka, 49 geletan sartu izatea ezinezkoa da, gela berean bi bezero sartu beharra baitago. Gela infinituko hotelean ez dago horrelako arazorik. Definizio horrekin infinituak bereizi behar dira. Aleph zeroa
da inifinitu oinarrizkoena, diren zenbaki natural adina elementu dituena.
zenbaki errealen infinitua edo jarraituaren infinitua da.
Zenbaki kontzeptu modernoago horiek ez dira hemen landuko.
I. Zenbaki naturalak
Zenbaki naturalen multzoa, N, ondorengo elementu hauek osatzen
dute :
Peanoren aritmetikaren hastapenen lehen orria
Peanok 1889an argitaraturiko aritmetika hastapenen lehen orri hau
ulertzeko, latinez jakiteaz gainera, latinez idazten baitzuen Peanok, ohar
hauek hartu behar dira kontuan :
parentesiak edo perpausak bereiztea adierazten duten ikurrak- = ezberdin esan nahi du. Orain nahiago da.
C alderantzizkoak inplikatzen du esan nahi du; latinezko "consequd'tik dator. Gaur egun
erabiltzen da.
ikurrak, berdintasunaren eta multzo baten parte izatearen ikur dira, eta oraindik ere erabiltzen dira.9. axioma indukzioaren hastapena da.Lehen orrialde honen beheko partean, 2 zenbaki naturala delako frogabidea
ageri da; eskuineko zutabean frogak daude, eta ezkerrekoan emaitzak-Liburuaoso formalista da, eta ulertzen zaila.
Zenbaki naturalekin egiten diren eragiketak
Zenbaki arteko eragiketa aplikazio bat da, zeinean zenbaki pare
ordenatu bakoitzari hirugarren bat egokitzen zaion, eragiketaren
emaitza deritzana. Era horretan, bi gehi hiru batuketak bost ematen
du, eta lau bider zerok, zero. Eragiketa bat ongi definitua egon
dadin, eragiketaren emaitza zenbaki multzo horren beraren parte
behar du izan. Eragiketa ez badago delako multzoan definitua, esan
ohi da delako eragiketa hori ez dagoela multzo horretan itxia. Hala,
adibidez, zatiketa ez dago ondo definitua zenbaki osoen artean,
ezen hiru zati sei zatiketak ez baitu emaitza osorik ematen. Zenbaki
naturalen bidez definitzen diren bi eragiketak batuketa eta biderkadura
dira.a) Bi zenbakiren batuketa + zeinuaz adierazten da, eta "gehi" irakurtzen
da: 2 + 3 = 5, bi gehi hiru berdin bost. 2 eta 3 batugai deritzate,
eta 5 emaitza da.Zenbaki naturalen batuketa elkarkorra da, hau da, batuketa egiten
bada eta horren emaitza beste zenbaki batekin batutzen bada,
aurrenekoari bigarrenaren gehi hirugarrenaren emaitza batutzean
lortzen den emaitza bera ateratzen da. Hala adibidez :
Parentesiek eragiketak zein ordenatan egin behar diren adierazten
dute. Hau da, barruan eragiketa sail bat duen parentesiak zenbaki
bakarra balitz bezala (parentesiaren barruaren dauden eragiketen
emaitza) jokatzen du parentesitik kanpora dauden eragiketei buruz.
Hortaz, parentesiaren barruan dauden eragiketak egin behar dira
aurrena, eta gainerakoekin jarraitu gero.Tasun bat betetzen dela adierazteko, letrak erabiltzen dira gehienetan,
zenbaki jakinak baino areago :a+(b+c) = (a+b)+c , a, b eta c zenbaki natural guztientzat.Adierazpen horrekin esan nahi da ezen a, b eta c dauden lekuan edozein zenbaki natural ipiniz gero, beti betetzen dela berdintza.
"Denentzat" esapidea " ikurraz adierazten da. a, b, c zenbaki naturalen multzoko barnekoak direla idazteko, laburtu egiten da, honela: a,b,c
NBatuketak 0 du bere baitan, hau da, multzo hutsaren kardinala,
edozein zenbakiri batuta, emaitza gisa delako zenbaki hori bera ematen
duena. Oro har, eragiketa orotan, beste zenbaki batekin eragitean
lehena bera ematen duen elementua, elementu neutro deitzen da :
Batuketa elkarkorra da, hots, batugaien ordenak ez du emaitza
aldatzen :
b) Bi zenbakiren biderkadura adierazteko,. ikurra erabiltzen da,
edo x. Argi dagoenean eragiketa biderkadura dela, utz daiteke adierazi
gabe. Bider irakurtzen da, edo "aldiz" esaten. 2. 3 = 6, bi bider
hiru, edo bi hiru aldiz sei da irakurtzen da. Bi zenbaki naturalen (a
b) emaitza b aldiz a zenbakia batutzearen emaitza da :
Biderkadurak batuketak dituen tasun berberak ditu. Biderkaduraren
elementu neutroa 1 da :
Biderkadurak batuketari buruz duen banatze legearen bidez loturik
daude eragiketok:
Banatze legea aplikatzearen kontrakoa, biderkadura batuketa baldin
badaukagu, izendatzaile komuna ateratzea deitzen da.
Biderkagai komuna ateratzeko, beharrezko da zenbaki bat izatea,
biderkagai komuna, errepikatzen dena :
Baina :(2. 3) + (5. 7) horrek ez du izendatzaile komunik zenbaki naturalen
artean.Eragiketa nola dagoen adierazia, interesgarriagoa izango da batzuetan
biderkagai komuna ateratzea eta besteetan elkartze legea
aplikatzea.c) Kenketa eta zatiketa.Zenbaki naturalen batuketaren eta biderkaduraren emaitza beste
zenbaki natural bat izaten da. Baina alderantzizko eragiketak egiten
badira, emaitza ez da beti hori izaten.Hala adibidez, 4 + 2 = 6 eragiketan, jakin nahi baldin bada zein
zenbaki erantsi behar zaion 4ri 6 lortzeko, erantzuna 2 da. Sei ken
lau kenketaren emaitza 2 dela esaten da, 6 - 4 = 2. Baina jakin nahi
bada zein zenbaki erantsi behar zaion 6ri 4 lortzeko, ez dago soluziorik
. Eragiketa hori ezin da zenbaki naturalak erabiliz egin, ezin
baita 4 lortu 6ri zenbaki positibo bat erantsiz.Baldin a + b = c bada, orduan a = c - b ; eragiketa horri kenketaderitza, eta marratxo batez adierazten da (-). c zenbakiari, kentzenzaionari, kenkizun deritza, eta b zenbakiari, kenkizunari kentzenzaionari, kentzaile.Zatiketa biderkaduraren kontrako eragiketa da. Baldin a = b • c, orduan esaten da a zati b berdin c. a zenbakia zatikizuna da, b zatitzailea, eta c zatidura. Zatiketa : ikurraren bidez adierazten da, / bidez edo + bidez.2 • 4 = 8, baldin badugu, esaten da zortzi zati bi lau dela, hau da,
Kenketan gertatzen den bezalaxe, eragiketa hori ere ezin da kasu
guztietan egin, 4 ezin baita, adibidez, 8z zatikatu. Zatiketa horren
emaitza banako erdia izango litzateke, eta hori ez da zenbaki osoa.Oro har, esaten da a zati b c dela, baldin b bider c berdin a bada.
Kenketa eta zatiketa ez daude N-n ondo definituak, eta bi eragiketa horiek ez dira trukakor, ez elkarkor.Ezin egin daitezkeen kenketen arazoari irtenbidea emateko, zenbaki
naturalei zenbaki oso negatiboak eransten zaizkie, eta era
horretan zenbaki osoen multzoa lortzen da. Zatiketari dagokionez,
zatikiak ere erabiltzen dira, eta, horiei dagozkien negatiboekin batera,
zenbaki arrazionalak osatzen dituzte.d) Zatiketa osoaZenbaki naturalen eta osoen artean, beste zatiketa bat ere definitzen
da da, zatiketa osoa deitzen dena. 7 :3 zatiketak ez du emaitzarik,
zeren bi bider hiru 6 baita, eta hiru bider hiru 9. Zazpi zati hiru
adierazpenaren zatiketa osoa egitea, emaitza 2 dela, eta hondarra 1,
esatea da. Zenbaki osoen arteko edozein zatiketa egin daiteke definizio
hori erabiliz. Bereziki, 6 : 3 = 2 baldin bada, esaten da 6 zati 3
eragiketaren emaitza 2 dela, eta hondarra 0.Zatiketa osoan a zenbaki bat izaten da, zatikizun deritzana, eta
beste bat, b, zatitzaileizenekoa ; a zati b zatiketa osoa baldin bada, bi
zenbaki, zatidura izenekoa bata eta hondar izenekoa bestea, lortuko
dira, baldintza hauek betetzen dituztenak : zatikizuna da zatitzailea
bider zatidura gehi hondarra, hondarrak zatizailea baino txikiagoa
izan behar duela :
Zatiketa osoa zenbaki naturalen artean egin daiteke, eta orobat
zenbaki osoen artean, aldaketaren batekin. Hala ere, ez du zentzurik
zenbaki arrazional eta errealetan.Ordena
Bi zenbaki natural hartuta, a eta b, a b-ren berdina edo handiagoa dela esaten da,
baldin
bat badago halakoa non b + c = a.
N-ren barruan zero zenbakia ere badago
posible izan dadin.Hala adibidez
edo
Esaten da, zehaztasunez, a b baino handiagoa dela
halakoa non a = b + c. Kasu horretan ez da gertatzen a = b.Zenbaki naturalen ordenamenduak ordenazko erlazio baten tasunak
betetzen ditu :
Baldin
eta
orduan
eta
izan behar du.Baldin
eta
orduan
izango da.Ordena zorrotzean, ez dira lehen bi tasunak betetzen.Ordena eragiketa hauetan gordetzen da :Baldin
eta
hau beteko da :
Baldin
bada, orobat izango da
Baldin
bada, orobat bateko da
Biderkaduran
eta
bertetzen da, beti ere a eta b ez badira ez 1 ez 0. Baldin
balio badu, orduan
Baldin
orduan
Alderantziz, zenbaki naturalen biderkaduraren definizioak hau inplikatzen du :
baldin bada,
edo
izan beharko du.Zenbakien multzoa lerro zuzen baten gainean irudikatzen da,
jatorrizko 0 puntu batekin, eta ondoz ondoko zenbaki oso positiboei
dagozkien puntuak aurkitzeko balio duen banako batekin.
Usadioz, zeroaren eskuinera ipinita irudikatzen da :
Hor ageri denez, N multzoa ez dago bornatua ;
bat eman da, beti izaten da
Numerologia
Bada jendea zenbakiak magikoak direla sinesten duena, eta zenbakien
bidez etorkizuna asmatzen saiatzen dena. Antze horri numerologia deitzen
zaio. Horretan interesik duenak, irakurri dezala idatzi hau, Pitagorasek
idatzitzat ematen dena, eta Pitmenea edo zenbaki pertsonala zein den jakiteko,
eta, hori jakinda, lehiaketa bat nork irabaziko duen asmatzeko bidea
ematen duena.Parisko Nazio Liburutegiko grekozko bilduman dago eskuizkribua."Pitagorasek Telaugesi : Agur!"Ikasketa luzeak eta saio ugari egin ondoren, taula baliotsu askoa duen idatzi
labur hau bidaltzen dizut ; izan ere, oraina, iragana eta etorkizuna ezagutu
ahal izango baititu, aurretik dituen azalpenei esker, taula hau eskura duenak.Hona nola egin behar duzun, esan dizudanez, ondoren datorkizun bederatzigarren taularen froga. Har itzazu prozesuren batean, borrokaldi batean, edo, oro har, garaipen, sari edo koroa lortzeko lehian, dabiltzan bi arerioren jaiotza izenak, ez goitizenak. Hona nola egiten da letren kalkulua :
eta horrela, hurrenez hurren, ondorengo letrentzat.Batuketak egin ondoren, bi eskuez, zein bere aldetik, ken 9 ahal duzunaldi guztietan, eta idatz itzazu emaitzak ; bila itzazu gero zenbaki horiek
taulan, eta jakingo duzu nork irabazi behar duen eta nork galdu, halaxebaitaude zenbaki garaileak adieraziak.Hala, adibidez :
[Hektor] : 5 + 2 + 3 + 8+ 1 = 19, eta bi bider 9 kenduta, 1 geratzen da.
[Patroklos] : 8 + 1 + 3 +1 + 7 + 2 +3 + 7+ 2 = 34, eta 9 hiru bider kenduta, 7 geratzen da.Hektorrentzat 1 geratzen zen. Taulan bilatu, eta ikusiko duzu lek 7garaitzen duela, eta gauza bera egin behar da kasu orotan.Bi lehiakideek zenbaki bera ematen baldin badute, hona nola ezagutuko
duzun garailea : 1 eta 1 geratzen baldin bada, akusatzen duena edoerronka egiten duena da irabazle ; 2 eta 2 geratzen bada, bere burua defenditzenduena, 3 eta 3 denean, eraso egiten duena, eta, oro har, zenbaki
bakoitietan erasotzaileak irabazten du, eta bikoitietan berriz akusatuak eta
erronka egin zaionak.Lapurra nor den jakin ahal izateko, susmagarrien izenak hartzen dirabinaka eta berriz ere egiten da epaiketa, lehen irabazle bikoteekin bezala.
Irabazle ateratzen dena da lapurra.Erregela hori bera senar-emaztegai bikote baten izenei aplikatzen
bazaie, irabazleak izango du ezkontzan bentaja ; bi pertsonaren izenei aplikatzen
bazaie, edozeini, irabazleak bizitza luzeagoa izango du, eta hondarrakberdinak badira, gazteena hilko da aurrena ; bidaiari baten izenari eta
abiatu den hiriaren izenari aplikatzen bazaie, bidaiaria bada garaile, bidaia
zoriontsua izango du ; gaixo baten izenari eta gaixotu zen egunaren izenari
aplikatuta, egunak irabazten badu, hilgarria izango da gaixotasuna, etaberdinketa baldin bada gaixoa sendatu egingo da, azkar sendatu ere hondarraPitmenea, hau da, zenbaki pertsonala, 1-9 artekoa zen, ez 0-8 artekoa, egun hondarrekin egiten den bezala. Pitagorasek letra grekoak erabiltzen bazituen ere, latin letrak ere baliagarritzat jo daitezke, a, b, c etab. ipiniz,
II. Zenbakitze sistemak
Zenbaki bat badago ahoz transmitzerik, idatziz, edo kontatzeko
eta kalkulatzeko erabili diren tresnen bidez. Kasu guztietan, zenbaki
kopuru jakin batera iritsita, zenbakiak ordenatu eta taldekatu
beharra izaten da. Banakoak biltzeko modua, eta taldeak kontatzekoa,
aldatu egiten da erabiltzen den prozeduraren arabera, baina,
nolanahi ere, zenbakitze sistema bat behar da sistema orotan, eta
oinarri bat, hau da, goragoko mailako banako bat lortzeko abiapuntu
izango den zenbaki kopurua, hortik berriz kontatzen hasteko
. Zenbakitze sistemaren oinarri hori 10 izaten da, baina ez beti.
Ondoren, zenbakitze sistema desberdinak aztertuko dira.
Kontatzeko tresnak
Giza gorputza bera da, antzina-antzinatik, kontatzeko gehien erabili den tresna. Normalena hatzekin kontatzea izaten da, eta, hamarretik gora, hamarra gainditu diren aldiak aparte kontatzea. Horregatik, 10 da zenbakitze sistemetan oinarririk erabiliena. 20 ere hartzen da oinarritzat, hatzekin eta behatzekin eginez kontaketa, edo 12, hatzak eta eskumuturrak baliatuz. Bada Papuan tribu bat, izan, gorputz osoarekin kontatzen duena. Eskuineko eskuko hatz txikiarekin hasten dira kontatzen ; hori da 1, eta gero gorputzarekin, buruarekin, ezkerreko eskuarekin eta abar, 41 arte jarraitzen dute beheraka, ezkerreko oineko behatz txikira iritsi arte. Ernalkinei 27 zenbakia dagokie.
Kontatzearen arrasto zaharrenak hezur, egur edo harrietako kosketan aurkitu dira. Ez dago ziur esaterik koska horiek bestetarako ere erabiltzen ote ziren, eskua ez irristatzeko adibidez, orain kontatzeko modua gogorarazten diguten arren.
Badakigu erromatarrek harriak, "calculi", erabiltzen zituztela.
Zenbaki handietarako ez dute balio, oso zaila baita bildu diren harri
guztiak kontatzea. Bi eratako irtenbideak erabiltzen dira, edo erabiltzen
ziren : edo harriak bereizi, balio desberdinak emanez, edo
lerroka edo piloka ordenatu.Buztinezko pieza batzuk aurkitu dira, sumeriatarrek duela 6000
urte zenbatzeko erabiliak.
Antzeko baliapideak aurkitu dira beste zibilizazioetan ere. Azken
finean, billeteekin eta txaponekin ordaintzearen antzeko gauza da
harritxoekin eta kontatzea. 5 billete baditugu, eta 7 txanpon mota,
ordaindu beharreko zenbatekoa billete eta txanpon horien batuketa
da. Erosoagoa da hori balio bakarreko ehundaka txanpon pilatzen
ibiltzea baino, baina piezek ez dute oso desberdinak izan behar, eta
elkarren artean erlazio gogoraerraza behar dute izan, ez dadin oso
zaila gertatu eskaturiko kopurua osatzea. Oro har, errazagoa dirudi
banako, hamarreko eta ehunekoekin lan egitea, eta hamar, ehun eta
mila banakako billeteekin, libra bat izatea baino, hamabi peniketan
zatitzen diren hogei txelin balio duena. Zatiketa hori erabili izan da
ordea, batere arazorik gabe, urte askoan Ingalaterran. Balio nagusiko
pieza, kopuru handietan, askotan errepikatu beharra dagoela da
metodo horren eragozpen nagusia, eta horixe izaten da arazoa diru
likidoa kopuru handietan lekuz aldatu behar denean.
Zenbakitzea hizkuntzan
Zenbakiak adierazteko beste modu bat hizkuntza mintzatua da.
Ageriko gauza da hizkuntza guztiek dutela halako erregulartasun
bat zenbaki handiak osatzerakoan ; txikietan berriz ugaritasuna handia
da. Horren ondorioz, badirudi zenbakitze sistemak oso desberdinak
zirela antzina, eta berdindu egin direla denborarekin.Oinarriak era askotakoak dira. Ameriketako ehundaka indiar tribuetan
egindako ikerketak adierazten duenez, oinarririk erabiliena
hamarra da, edo hamarra bosteko oinarriarekin nahastuta. Ikertu
diren hamar tribuetatik batek besterik ez zeukan 20ko oinarria.Hona zenbaki txikiak adierazteko modua, egun erabiltzen diren
nahiz desagertu diren hizkuntzetan :
Zenbakiak idaztea
Mundu osoan, zenbakiak idazteko, oro har, 10 oinarriko posizio
sistema erabiltzen da, hamar zifra desberdin erabiltzen dituena : 0, 1,
2, 3, 4, 5, 6, 7, 8, 9. Zifrak idazteko modua apur bat desberdina da
arabiar herrietan, Indian eta Mendebalean, baina zifrak berberak
dira, eta jatorria ere bera dute.
Egoera hau ordea berri samarra da, historian zehar bi joera izan
baitira zenbakiak idazteko. Alde batetik, zenbait zibilizaziotan,
balio jakin batzuk ikur jakinei egokitzen zitzaizkien, eta horietatik
abiatuta, erantsiz, sortzen ziren gainerako kopuru guztiak. Kultura
askok erabili dute bide hori. Egiptoarrek, erromatarrek, grekoek,
aztekek edo juduek, adibidez, idazkera sinbolikoa erabiltzen zuten,
ez posizioaren araberakoa. Zenbaki sistema horiek arazoak sortzen
zituzten, ikur bera askotan errepikatu beharra baitzegoen, edo bestela
ikur asko eta asko erabili behar zituzten zifra handiak idazteko.
Posizioaren araberakoak ez diren sistemek beste arazo bat ere badute,
alegia, ez dute balio eragiketak egiteko.Egiptoar sistemak, adibidez, 7 ikur zituen, 1, 10, 100, 1000,
10000, 100000, 1000000-ko kopuruei zegozkienak.
Zenbaki bat idazteko, ikurra behar zen aldi guztietan errepikatu
beharra zuten, hurrengora iritsi arte. Hala adibidez, letik 9ra eta
l0etik 90era honela idazten zen :
Eta, hortaz, 1729 bezalako zenbaki bat honela idazten zen :
Zenbakiak idazteko modu hau oso pisua gertatzen da, eta ez da
batere erosoa kalkuluak egiteko.Zenbakitze sistema errazteko erregelak bilatzen ahalegindu ziren
erromatarrak, baina hala ere ez zuten sistema arin bat osatzerik lortu.
Erromatar sistema zazpi ikurretan oinarritzen zen : I = 1, V = 5, X = 10,
L = 50, C = 100, M = 1000.Alabaina, erregela hauek zituzten idazkera soiltzeko :- Zenbaki handienetik hasi. Hala adibidez, MDCLXVI 1666 da.- M, C, X eta I ikurra errepikatu, hiru bider arte ; baina ez V, L, eta
D. Hala adibidez, MMI 2001 da, eta CCCVI 306.- Batu behar diren zenbakiak eskuinean jarri, ordenatuta. Hala,
MCLVI, 1156 da.- I lau bider jarri behar bada, ez da 1111 idazten, IV baizik ; I ikurra
ezkerrean egoteak eta desordenaturik kendu egin behar dela
esan nahi du. Ken daitezkeen ikurrak I, X eta C dira. Hala adibidez,
MCMXCIV 1994 da.Bider mila egin behar dela adierazteko, marra bat ipintzen da
gainean, bi marra bider milioi egiteko, etab. Hala adibidez,
LXXXII, 82000 da.Erromatarrek, beste zibilizazioek bezala, aldatu zituzten gauza
batzuk zenbakiak idazteko moduan, baina hauxe zen aurreratuena,
eta ez zen praktikoa : zenbaki idatziak luzeegiak ziren, eta ez ziren
oso erabilgarriak eragiketak egiteko. Erromatar inperioaren garaian,
oholtxoekin edo abakoekin egiten ziren kalkuluak, eta zenbaki idatziek
emaitzak adierazteko besterik ez zuten balio.Posizio idazkera da gaur egun erabiltzen dena. Zifren ikurrak 0, 1,
2, 3, 4, 5, 6, 7, 8, 9 dira, baina zein posizio duten zenbaki osoan,
ikur horien balioa 10, 100, 1000 etab. aldiz biderkatua egon daiteke
. Hala adibidez, 1221 zenbakian, ikur berak, lak, mila balio du
laugarren posizioan dagoenean, eskuinerantz kontatuz, eta bat
aurrenekoan dagoenean ; 2ak berrehun balio du hirugarrean, eta
hogei bigarrenean. Posizioaren arabera balioa aldatzen ez zaion ikur
bakarra zeroa da, beti zero balio baitu.Posizio zenbakiak, gaurko idazkera sistema izateaz gainera, duela
3000 urte baino gehiago erabili ziren Babilonian. Baina bi ikur besterik
ez zuten idazteko, bat banakorako, 1, eta bestea l Oerako, 10 :
Ikur horiek elkartuz 60raino iristen ziren, eta horixe zen beren zenbaketa sistemaren oinarria. Horregatik, oso handiak izaten ziren sistema horretan idatziriko zenbakiak. Bazen beste arazo bat ere : zeroaren lekuan toki bat libre uzten zuten, eta hutsune hori zaila izaten zen bereizten ; hori dela-eta, ez da erraza izaten idatzitako zenbakia 60 + 1 edo
ote zen jakitea. Horrek arazo handiak sortzen zituen, harik eta K.a. 111 mendean zeroarentzako notazioa erantsi
baina koma falta zuten
eta
bereizteko. Alabaina, hau izan zen, dudarik gabe, Antzin Aroko sistema aurreratuena, eta, horrexegatik, badira oraindik ere magnitude batzuk, hala angeluak edo denborak, oinarritzat hirurogeia erabiltzen dutenak. Txinatarrak ere posizioaren araberako notazioaz baliatzen ziren, baina arazo bera zuten : Oarentzako ikurrik ez zutenez gero, ezin zituzten, adibidez, 1, 10, 100 edo 1000 bereizi. Batzuek hutsuneak uzten zituzten, beste batzuek banakoei zegozkien ideogramak eransten zituzten gauzak argitzeko. VIII. mendean, indiarren eraginpean, 0a erabiltzen hasi ziren.
Maiek 20 oinarria zeukan posizio idazkera erabiltzen zuten, eta
zeroa ere ezagutzen zuten. Zoritxarrez, haien banakoak ez ziren,
espero zitekeen bezala, 1, 20, 400, 8000 ; aitzitik, 20, 360, 7200 erabiltzen
zuten, 360 eguneko urteekiko zatiketa astronomikoei hobeto
egokitzeko ; hala, zenbatze sistema hori ez zen oso egokia gertatzen
kalkuluak egiteko.Eransketa bidezko indiar posizio idazkera, IX. mendean zeroarekin
osatua, arabiarrek hartu zuten, eta haiengandik europar herrietara
igaro zen Sizilia eta Espainiatik barna. Idazkera honek 10 du
oinarria, baina orobat erabil zitezkeen beste oinarri batzuk ere.OinarriaHamartar idazkeran, zenbaki bat idaztean, zifra batek duen balioa
da balio hori bera bider 10, eskuinean dituen zifra kopuruarekin bat
datorren zenbakiaz berretua.
Hizkuntzarik gehienetan zenbatzearen oinarria 10 zenbakia
denez gero, sistema horretako zenbakiak oso erraz irakurtzen eta
ulertzen dira, kalkuluak egin beharrik gabe. Sistema hau 10 oinarrikoa
dela esaten da, berretzaileak posizio bakoitzean dauden zifrez
biderkatzen direlako. Baina horren pareko beste zenbaketa sistemak
ere izan daitezke, bestelako oinarriak erabiliz, 5, 12 edo 20 adibidez.
Hala, 5 oinarriko 124 zenbakiak esanahi hau izango luke :
Oinarri batetik bestera aldatzea.
Hamar oinarrian idatzirik dauden zenbakiak n oinarrira aldatzeko,
hainbat aldiz zati n egin, eta hondarrak hartzen dira kontuan ;
hondar horiek izango dira eskatu den oinarriko zenbakiaren zifrak :• Adibidea: 7ko oinarrian idatzi 423 1.
Alderantziz, zenbaki bat baldin badaukagu edozein oinarritan
datzia, eta ohiko 1 Oeko oinarrira aldatu nahi bada, dagoen lekuari
iagokion oinarriaz berretzen da zifra bakoitza :
Idazkera bitarrean idatzitako zenbakiek zifra asko behar dituzte
:enbaki txikiak adierazteko, hala adibidez :
111 zenbakia 2ko oinarrian idazteko :
Hain zenbaki luzeak ez erabiltzeko, Oko oinarrira aldatzen dira
zenbaki bitarrak, zifrak pareka elkartuz, hala adibidez :
Eragiketa hauek oinarriaren definizioaren bidez eta zenbaki
osoen arteko eragiketen tasunezjustifikatzen dira, eta, hortaz, urrats
guztiak esplizito agertu gabe ere honela idatz daiteke :
Izan ere, pare bakoitzean, 4ko oinarrira igarotzeko, lehenengoak
bere balioa bider bi balio du, eta bigarrenak bere balio bera. 8ko
oinarrira aldatu nahi baldin bada, hirunaka hartzen dira :
Hirukoetan, lehenengoa bider 4 biderkatzen da, bigarrena bider
2 eta azkena bider 1.Orobat erabiltzen da informatikan 16ko oinarria. Kasu horretan,
4naka hartu behar dira zenbakiak :
Alderantziz, agindu bat 16ko oinarrian baldin badago, ez da batere
zaila sistema bitarrera aldatzea :
Justifikazioa 4ko oinarriko bera da, baina kontuan izanik
Baldin badaukagu
III. Zatikortasuna zenbaki naturaletan
Zenbaki natural bat (a) beste batez (b) zatika daiteke, baldin
egiaztatzen bada badela c bat non a = b.c, eta honela adierazten da :
Hala adibidez, 36 12z zatikorra da, zeren
Esaten da zenbaki natural bat (a) beste baten (b) anizkoitza dela, beste bat baldin bada (c), hau betetzen duena
. Hala adibidez,
ren anizkoitza da, ezen
Baldintza berbera da bi kasuetan, eta anizkoitzaren eta zatitzailearen harteko erlazioa elkarrekikoa da. Horregatik, zenbaki naturalen zatikortasuna aztertzerakoan lortzen diren emaitzak berdin aplika dakizkieke anizkoitzei.Zatikor izatearen erlazioa iragankorra da. 3k 12 zatitzen badu eta
12k 36, orobat zatitu behar du 3k 36. Zatikortasuna zenbaki naturalak
ordenatzeko modua da :1. Zenbaki natural orok zenbaki hori bera zatitzen du. Adibidez,
6 zati 6 egin eta 1 ematen du.2. Zenbaki natural batek beste bat zatitzen badu, eta bigarrenak
aurrenekoa zatitzen badu, lehena eta bigarrena zenbaki berbera dira.
dela, eta nk 6 zatitzen badu,
dela, nahita nahiez izan beharko du n=6.3. Lege iragankorra : a-k b zatitzen badu, eta b-k c zatitzen badu,
a-k c ere zatituko du.Baina zatikortasunak ordea ez ditu oso-osorik zenbaki naturalak
ordenatzen, bai baitira zenbaki pare asko konparaezinak. 4k ez du 9
zatitzen, ez 9k 4, eta badira beste zenbaki pare asko horixe bera gertatzen
zaiena. Horregatik esaten da ez dela ordena osoa. Ohiko handia
edo berdina bezain osoa ez den ordena da.Zenbaki baten anizkoitz izatearen edo zenbaki baten zatikor izatearen
motako baldintzetan oinarriturik, era askotako sailkapenakegin daitezke. Hala, adibidez, biz zati daitezkeen zenbakiei, edo biren anizkoitz direnei, bikoiti deritzaie. Zenbaki bikoiti bat idatz daiteke oro har
, k naturala izanik. Biz zatikor ez direnei bakoiti deritzaie. Eta horrelaxe egin daiteke beste askoren definizioa ere. Multzo horietan bada bat bereziki interesgarria, zatikor ez diren zenbakiena, hau da, zenbaki lehenen multzoa.Zenbaki lehenakZenbaki lehen deritzaio zenbaki horrez beraz eta banakoaz bakarrik
zatikor denari. Usadioz, 1 ez da zenbaki lehenen artean ipintzen,
zeren lak zenbaki guztiak zatitzen baititu, baina ez dago bera
zatitzen duenik.Adibide baterako, 3 lehena da, 2k ez baitu zatitzen, eta ezin da
bera baino beste zenbaki handiago batez zatitu. Lehena den zenbaki
bikoiti bakarra 2 da ; 2z ere zati daiteke 2 ez den beste edozein
zenbaki bikoiti.3, 5 eta 7 zenbaki lehen bakoitiak dira. Baina 9 lehena ez den bakoitia da, ezen
11 lehena da, eta badira hortik aurrera beste zenbaki lehenak ere,
ondoko teorema betetzen baita :Teorema : zenbaki lehenen hurrenkerak ez du bornerik.Alegia, zenbaki lehenen kopurua mugagabea da.Horren froga absurdura eramanez egiten da. Eman dezagun ez dela esandakoa betetzen, eta zenbaki lehenak n elementuko multzo mugatua direla :
p zenbaki bat kalkulatzen da, balio honekin :
p zenbakia lehena izan daiteke ala bestelakoa. Lehena bada, faltsua da
direla zenbaki lehen bakarrak, p ere halakoapaita. Lehena ez bada izango da zatituko duen zenbakiren bat, q eman dezagun. q lehena ez bada
zatitzaile bat izango du, eta horrek, q zatitzen duenez gero, p ere zatituko du.
denez gero, azkenean p-ren zatitzaile lehen bat lortzen da, 1 baino handiagoa izan behar duena. Baina zatitzaile horrek ezin du izan
, zeren horietako edozeinez zatitzean hondarra 1 baita, p zenbakia lortu den moduagatik. Hortaz, beste zenbaki lehenen bat izan behar du, ez dena
,
Zenbaki lehenen hurrenkera beraz mugagabea da.Horren ondorio da zenbaki elkartu oro zenbaki lehen batek zatitzen
duela ; aritmetikako funtsezko teorema aztertzean ikusiko da
hori berriro.Teorema horrek gainera zenbaki lehenen hurrenkera mugagabe
bat lortzeko modua eskaintzen du :Hasten da adibidez, 2, 3, 5, 7rekin. Biderkaketa eginez eta 1
erantsiz zenbaki hau lortzen da :
Lehena ote den ikusten da, eta, lehena ez bada, zatitzaile lehen bat
bilatzen zaio, 2,3,5,7 ez dena. Kasu horretan, 211 lehena da. Honela
jarraitzen da :
Nola jakiten den zenbaki bat lehena den ala ez
Zenbaki bat lehena den ala ez jakiteko, aski da ikustea ea bera
baino zenbaki lehen txikiago batez zati daitekeen, zeren, zenbaki
elkarturen batek zatitzen baldin badu, orobat zatituko baitute zenbaki
horren zatitzaile lehenek ere.Hala adibidez, 2311 zenbakiari dagokionez, lehena ote den jakiteko, 2, 3, 5, 7 eta abarrez zati daitekeen ikusi behar da. Aztertu beharreko zenbaki lehenen zerrenda mugatzeko, kontuan hartzen da ezen, lehena ez bada, bi zenbakiren biderkadura izango dela delako zenbakia:
. Bi biderkagaiak berdinak badira,
Erastotenesen taula
Zenbaki lehenak taula batean ordenaturik edukitzea oinarrioinarrizkoa
da eragiketak egiteko, eta, hasteko, zenbaki bat lehena
den ala ez jakiteko. Taula hori lortzeko, Erastotenesen bahea deritzan
metodoa erabiltzen da.Eman dezagun 100 baino txikiago diren zenbaki lehen guztiak zein diren jakin nahi dela. Hasteko, denak idazten dira. Ondoren marra batez ezabatzen dira elkartuak. Lehen zenbaki lehena 2 da; hori utzi, eta bere anizkoitz guztiak ezabatzen dira, hau da, zenbaki bikoitiak. Ezabatu gabe geratu den lehena 3 da ; horrek ere lehena izan behar du, ez baitago zatitzen duen bera baino zenbaki txikiagorik. 3ren anizkoitzak ezabatzen dira. Aski da 9tik hastea, zeren
ezabatua baitago, tren anizkoitza baita. Ezabatu gabeko hurrengoa 5 da ; horren anizkoitzak ezabatzen dira, 25etik hasita,5en 25 aurreko anizkoitzak ezabaturik baitaude, tren edo 3ren
anizkoitz baitira: 10 = 5.2, 15 = 5.3, 20 = 5.2.2. Ezabatu gabeko
ondorengoa 7 da, eta Tren anizkoitzak ezabatuko dira hortaz, 49tik
hasita. Hurrena 1 1 dator ; 11 ten koadroa 121 da, alegia, 100 baino
handiagoa. Beraz, lehenak dira ezabatu gabe geratu diren 100 baino
zenbaki txikiago guztiak.
. Ezabatu gabeko ondorengoa 7 da, eta Tren anizkoitzak ezabatuko dira hortaz, 49tik hasita. Hurrena 1 1 dator ; 11 ten koadroa 121 da, alegia, 100 baino handiagoa. Beraz, lehenak dira ezabatu gabe geratu diren 100 baino zenbaki txikiago guztiak.Metodo honek, 100erainoko zenbakietan, emaitza hau ematen
du :
Hauek dira lehen laurogei zenbaki lehenak :
Ikusten denez, gero eta gutxiago dira zenbaki lehenak, baina ez
dirudi arau jakinik betetzen dutenik. Hipotesi bat baino gehiago
egin da zenbaki lehenak zuzenean lortzeko formei buruz. Hala adibidez,
Fermatek, XVII. mendean, kasu hauetan zirela f(n)-ak lehen
proposatu zuen :
Eulerrek aurkitu zuen f(5) zenbaki elkartua dela ; geroago ikusi da
hortik aurreko balio guztiak ere elkartuak direla. Badira beste batzuk
bakunagoak, hala :
Horiek, polinomioak direnez gero, ezin dute beti zenbaki lehenik
eman, baina aurrenekoak zenbaki lehenak ematen ditu n<41 zenbakientzat,
eta, bigarrenak, n<80 zenbakientzat.Ez da aurkitu zenbaki lehenen hurrenkeraren garapena finkatzeko modurik; zenbaki berriak banan-bana konparatu behar dira aurrekoekin. Frogatu da, hori bai, analizaturiko zenbaki naturalen kopuruak gora egin ahala, gutxitu egiten dela zenbaki lehenen kopurua. n baino txikiago diren zenbaki lehenen kopuruak
-k gora egiten duenean, azterturiko zenbaki guztiei buruz, n-ren nepertar logaritmoari buruz 1 den bezalakoa izatera jotzen du. Alegia, zenbaki lehenen teoremaren arabera, hau betetzen da :
Zenbaki elkartuak
Zenbaki elkartuak dira banakoaz eta zenbaki horrez beraz gainera,
beste zenbakiren batez ere zati daitezkeenak.Zenbaki elkartuak zenbaki lehenekin erlazionaturik daude aritmetikako teorema oinarrizkoenaren bidez :
Teorema:
zenbaki natural oro biderkagai lehenen biderkaduran deskonposa daiteke, eta deskonposatze hori bakarra da, biderkagaien ordenan izan ezik.
Har dezagun, adibidez,
Har dezagun, adibidez, 5544 = 2.2.2.3.3.7.11. Teorema honek dioenez, ezin da beste adierazpenik aurkitu biderkagai lehen desberdinekin, edo bi gehiago edo hiru gutxiago izango duenik adibidez, eta biderkatuta 5544 zenbakia emango dutenik. Hori adierazi nahi da adierazpen bakarra dela esaten denean. Salbu eta biderkagaien ordenari dagokionez, zeren
hartuta, eta biderkagai horien artean egin daitezkeen permutazio guztiak eginda ere, emaitza beti izango baita 5544, biderkaduraren trukakortasun legea dela-eta.Teorema honen frogak bi parte ditu : lehena deskonposatzerik
badela frogatzea da, eta bigarrena deskonposatze hori bakarra dela.1. - Deskonposatzea badela: deskonposatu beharreko zenbakia lehena nahiz elkartua izan daiteke. Lehena baldin bada, egina dago froga. Zenbaki elkartua bada,
. Eman dezagun a dela bi biderkagaietan txikiena. Lehena izan daiteke, edo ez. Lehena ez bada, hori ere bi biderkagaitan deskonposatu ahal izango da, eta horrela jarraitu eragiketak egiten. Prozesu horrek ordea ezin du mugagabea izan, zatitzaileak zenbakiak baino txikiagoak izaten baitira beti, eta zatitzaile guztiek bat baino handiagoak izan behar dute. Beraz, azkenean zatitzaile lehen bat lortzen da,
adibidez. Honela idatz daiteke :
Baina m-rekin n-rekin egin den arrazoibide bera erabil daiteke, eta zenbaki lehen bat lortuko da,
. Orduan :
Modu berean jarraitzen da eragiketak egiten, harik eta zenbaki lehen bat geratzen den arte. Hala gertatu behar du, zeren
hau da, partekako zatiduren hurrenkera beheranzkoa da, eta bat baino handiagoa ; hortaz, ezin da balioa mugagabe gutxitu. Azkeneko balioa
bada, hona iritsiko gara :
Beraz, edozein zenbaki elkartu, n, deskonposa daiteke biderkagai lehenetan.2. - Biderkadura hori bakarra dela frogatzea. Horretarako, abaipuntu hau hartuko dugu : p zenbaki lehen batek a.b biderkaketa zatitzen badu, orduan p-k gutxienez biderkagaietako bat zatitzen du.
Hau da,
zatitzen badu, edo 3k 35 zatitzen du, edo biak zatitzen ditu. Hori onartuz gero, n bi modu desberdinez adieraz badaiteke zenbaki lehenen biderkaketa gisa :
Eman dezagun biderkagaiak bi ataletan daudela ordenaturik, eta adierazpen batean
dela txikiena, eta
bestean
.
zatitzen dituenez gero, orobat zatitu beharko ditu q-etako batzuk ere. Eta denak zenbaki lehenak direnez gero,
horietako baten berdina izan beharko du. Eman dezagun qk-ren berdina dela. Ordenaturik daudenez gero
. Baina arrazoibide hori q-etatik hastea ere badago, eta berdin aterako lirateke
; hortaz, aukera bakarra
Berdintzatik
eta
, ezabatzen dira ; geratzen dena ere berdina izango da, eta arrazoibide bera aplikatu ahal izango zaio. Hortaz,
eta
, kendu ahal izango dira. Era horretan jarrai daiteke, p-ak edo q-ak, edo biak, bukatu arte. 1 = 1 geratzen baldin bada, horrek esan nahi du bi deskonposatzeak berdinak zirela, eta faltsua zela lehenen biderkaketari buruz desberdinak ziren bi deskonposatzetatik abiatu garela. Biak bukatzen ez badira, eman dezagun bigarren formaren biderkagaiak bukatzen direla, eta hau geratzen dela :
Biderkagai leheneko deskonposatzearen algoritmoak
Zenbaki bat bere biderkagai lehenetan deskonposatzeak lagundu
egiten du zatikortasun problemetan. Zenbaki bat deskonposatzeko
bere zatitzaile txikienak bilatu behar dira, eta aurkituriko biderkagaiak
banatu, hurrengo biderkagaia bilatzen jarraitzeko, biderkagai
hori ere lehena izan arte. Biderkagaiak ez ahazteko, komeni da eragiketak
behar den ordenan egitea.Har dezagun adibidez 12936 zenbakia. Erro koadroa 113 baino
handixeagoa da, eta, hortaz, izan ditzakeen zatitzaile lehenak
113ren berdinak edo 113 baino txikiagoak dira. Zein diren aurkitzeko,
onena txikienekin hastea da, horiek baitira aurkitzen errazenak.
12936 zenbakia tren anizkoitza da, eta, zatiketa eginda :
6468 ere biz zatikorra da, eta hortaz, zati bi egiten jarraitzen da,
harik eta zatidura bakoitia den arte :
Hurrengo zenbaki lehena 3 da; begiratzen da ea 3z zati daitekeen
1617. Halaxe da :
Berriz ere 3z zati daitekeen begiratuta, ezetz ikusten da. Hurrengo zenbaki lehena 5 da, eta 5ez ere ezin da zatitu. Irekin jarraitzen da ; 7k zatitzen du 539, eta zatidura 77 da, hau da,
Azkeneko zatidura, 11, zenbaki lehena da, eta, hortaz, amaitu da
deskonposatzea. Era honetan adierazten da :
Garrantzitsua da ordenari eustea, eta biderkagairik batere ez ahaztea.Normalean, marra zut bat idazten da ; marraren alde batean zenbakia
eta partekako zatidurak ipintzen dira, eta bestean ateratzen
diren partekako zatidurak.
Zatikortasun irizpideak
Hemen landuko diren zatikortasun irizpideak hamartar sisteman
idatziriko zenbakientzat dira. Sistema horretan, edozein zenbakik,
1998k adibidez, balio hau du :
Eta problema sinplifikatu ere egin daiteke, hamarren berredurak
aztertuz.a) 2k 10 zatitzen duenez gero, batugai guztiak, 8 izan ezik, zatikor
izango dira ; hortaz, batuketa ere biz zatitu ahal izango da, 8 2z zati
daitekeelako.Zenbaki bat, oro har, zatikorra da biz, zeroz edo zifra bikoitiz
amaitzen baldin bada.b) Jakin nahi bada ea 1998 3z zatikorra ote den, kontuan izan behar da
etab... beraz :
Banatze legea aplikatuz, eta biderkagai komuna ateraz :
Hortaz, 1998 hiruz zatikor izango da, baldin osatzen duten zifren
batuketa ere 3z zatikorra baldin bada.Batuketa 27 da, beraz,1998 3z zatikorra da.Zenbaki bat, oro har, hiruz zatikor izango da, zenbaki hori berori
osatzen duten zifren batuketa hiru edo hiruren anizkoitza baldin bada.c) 4z zatikorra den jakiteko, badakigu
dela; hortaz, 1998 = 1900 + 98.98 ez da 4z zatikor; 1998 ezin da 4z zatitu beraz.Zenbaki bat, oro har, 4z zatikor da izango da, azken bi zifrak ere
4z zatikor baldin badira.d) 5ez zatikor den jakiteko, badakigu
; hortaz,
H
ala bada, 8 ere 5ez zatikor baldin bada izango da 5ez zatikor.
Hortaz, 1998 ezin da 5ez zatitu.Zenbaki bat 5ez zatikor izango da, Oz edo 5ez amaitzen baldin
bada.e) Zenbaki bat 7z zatikorra den jakiteko, zailagoak dira kontuak :
Hortik aurrera hondarrak errepikatu egiten dira. Hau da araua :
batuketa egiten da banakoen zifra, hamarrekoena bider hiru eta
ehunekoena bider bi, eta horiei milakoen zifra, milakoen hamarrekoena
bider hiru, eta milakoen ehunekona bider bi kentzen zaie.
Zifra gehiago baldin badago, milioien zifra batutzen da, eta berriro
hasten da batuketak eta kenketak egiten. Garbi dago kasu honetan
erosoagoa dela kalkulagailua hartu eta zatiketa zuzenean egitea.f) Kopuru bat 8z zatikor den jakiteko, badakigu
.
Hortaz, zenbaki bat 8z zatikor izango da, azken hiru zifrak ere 8z zatikorrak baldin badira.
998 ez baita 8z zatikor, 1998 ere ez.g) 9z zatikor den jakiteko, kontuan izanik
e,
tab.
Alegia, zenbaki bat 9z zatikorra izango da osatzen duten zifren
batuketa ere 9z zatikorra baldin bada.h) 10aren kasua errazagoa da, zeren
Zenbaki bat loez zatikorra da azken zifra ere loez zatikor denean,
alegia, Oz amaitzen denean.i) Zein zenbaki den 11z zatikor jakiteko, kontuan izan behar da
etab.Hortaz, hau idatz daiteke :
Zenbat zatitzaile dituen zenbaki batek
Ikusi da nola deskonposatzen den zenbaki bat biderkagai lehenetan. Jakiteko zenbaki batek zein zatitzaile dituen, lehenak nahiz lehen ez direnak, eta horiek lortzeko, kontuan izan behar da ezen zenbaki batek (a) beste bat (b) zati dezan, a-ren zatitzaile lehen guztiek behar dutela egon b-n maila berera edo garaiagora berretuak, bestela ezin baita zatiketa egin.
Adibide baterako, hartzen baldin bada
edo
bezalako zenbakiek zatitzen ahal dute. Ez ordea 7k, ezbaita ateratzen 180 biderkagai lehenetan dekonposatzean. 8k ere ez du zatituko,
baita, eta 2ren berretzailea 180ren deskonposaketan
2<3 baita. Era berean, eta arrazoi berberengatik, 44k ere ez du zatituko,
11z zatikor baita eta 180 ez, ezta 42k ere, bai baitu biderkagai
bat, 7, 180n ez dagoena. Kalkulu horiek kontuan izanda, badago180ren zatitzaileak jakiterik. 2 edo
biderkagai bat, eta 3 edo
biderkagai bat, eta 5 biderkagai bat eduki beharko du, eta baliteke horietakoren bat ez edukitzea ere, baina ezin du horiek ez bezalako biderkagairik eduki. Biderkagai lehen horietakorik bat ere ez badu zatitzaileak, 1 izango da, 1 ak zenbaki guztiak zatitzen baititu. Forma hori duten zenbaki guztiak ondoko parentesi hauen arteko biderkadura posibleren bateko emaitza gisa lortzen dira :
Hor lortu diren batugaiak dira 180ren zatitzaile posible guztiak.Adierazpen horren bidez jakin genezake zenbat diren, biderkaketak egiteko beharrik gabe. Lehen parentesiak 3 batugai ditu, bigarrenak ere 3 eta hirugarrenak 2 ; hortaz,
, guztira 18 dira 180k dituen zatitzaileak, horixe baita hiru parentesiei banatze legea aplikatuz lortzen den batugai kopurua.Aurrena batuketak eta gero biderkaketak eginez, zatitzaile posible guztien batuketa jakingo dugu. 180 zenbakiari dagokionez, hau da batuketa horren balioa :
Edozein zenbakiri aplika dakioke eragiketa hori :
,
zenbaki batek n zatitzen baldin badu, hori gertatuko da, biderkagai lehenetan deskonposatzean, ez duelako a, b, c,..., h ez bezalako zenbaki lehenik, eta lehen horiek berretzen dituzten zenbakiak ez direlako, hurrenez hurren,
baino handiagoak. Era horretan, ondoko parentesi bakoitzeko batugai bana biderkatuz lortzen dira zenbakiak :
Horren ondorioz, hau da n zenbakiaren zatitzaile kopurua :
Kalkulu horretan, 1 eta zenbakia bera ere badaude zenbaki baten
zatitzaileen artean.• Adibidea:
Zatitzaileak biderkaketa hauetatik lortzen dira :
Alegia, hauek dira : 1, 7, 49, 5, 35, 245, 25, 175, 1225, 3, 21, 147, 15, 105, 735, 75, 525, 3675. 18 zatitzaile dira guztira, eta hori bat dator honekin :
. Zatitzaileen batuketak
balio du.
Zatitzaile komunetan handiena eta multiplo komunetan txikiena
a eta b bi zenbakiren zatitzaile komunetan handiena esaten zaio
biek batera duten zatitzaile handienari. Honela adierazten da : (a,b)
Ah.Bata edozein zenbaki pareren zatitzaile komuna denez gero, eta
zatitzailea ezin izan denez zatituriko zenbakia baino handiago, beti
izango da zatitzaile komunetan handien hori, bata alegia.• Adibidea :Aurki ezazu 12 eta l6ren zatitzaile komunetan handiena.Biderkagai lehenetan deskonposatuz gero :
Hortaz, hauek dira zatizaileak :
Zatitzaile komunetan handienarekin kalkuluak egiteko modua
Bi zenbakiren zatitzaile guztiak kalkulatzea eta konparatzea luzeegia da zenbakiak handitxoak direnean. Lasterrago aritzeko, abiapuntu hau hartzen da, alegia, zenbaki baten zatitzaileak, zatitzaile horiek biderkagai lehenetan deskonposatuz gero, delako zenbakiaren biderkagai lehenak bakarrik eduki behar dituztela. Horrez gainera, zatitzaileetan zenbaki lehenak berretzen dituzten zenbakiak ezin dira izan zatitu beharreko zenbakia baino handiagoak.
Har dezagun adibidez
eta
zkh-ak bi zenbakietan dauden biderkagai lehenak izan beharko ditu, eta horiek bakarrik. 2 eta 3 dira kasu honetan. Batean bakarrik dauden biderkagai lehenak, hala 7 eta 5, ezin dira zatitzaile komun baten biderkagai izan, zeren 7 biderkagai lehena duen zenbaki batek ezin du 60 zatitu, eta 5 biderkagaiak berriz ez du 168 zatitzen. Izan daitekeen zatitzaile komunetan handiena izan dadin, biderkagai lehen bakoitza, bi zenbakietan, a-n eta b-n, agertzen den aldi beretan errepikatua egon behar du. 3 behin bakarrik ageri da errepikatua 168n eta 60n, eta, hortaz, behin bakarrik egongo da zkh-n. 2k, zkh-n, koadrora berretua egon behar du, zeren
168 zatitzen baitu, baina ez 60, eta haren multiploek ere ezingo dute zatitu.Zatitzaile komunetan handiena aurkitu nahi den bi zenbakietan,
a-n eta b-n, dagoen p biderkagai lehen batentzat, bietan dagoen aldi
kopuru handiena bat dator p-k a-n eta b-n duen berretzaile txikienarekin
. Erregela hau betetzen da beraz :a eta b-ren zatitzaile komunetan handiena aurkitzeko, zenbakiak
biderkagai lehenetan deskonposatzen dira. a eta b zatzitzaile komunetan
handiena, a eta b-ren biderkagai lehen komunek osatuko
dute, bien berretzaile txikienarekin.• Adibideak:
Bi zenbakiek batera dituzten biderkagai lehenak 2 eta 3 dira. 2k,
1008n, 4 berretzailea du, eta 3 berretzailea 1 1880n ; txikiena beraz
3 da. 3k 2 berretzailea du 1008n, eta 11880n berriz 3. 3ren berretzaile
txikiena 2 da, eta, beraz :
2. Aurki ezazu 1232ren eta 4563ren zatizaife komunetan handiena.
1232k eta 4563k ez dute biderkagai lehen komunik. Bien zatitzaile
komun bakarra da 1 da, eta, hortaz :
3. Aurki ezazu 36ren eta 180ren zatitzaile komunetan handiena :
2 eta 3 dira biderkagai lehen komunak. Bi zenbakietan 2 da 2ren
berretzailea, eta 3ren berretzailea 2 bietan ; hortaz, hau da zatitzaile
komunetan handiena :
Zenbakietako batek bestea zatitzen duenean ez du merezi eragiketa
hauek denak egitea. zkh bestea zatitzen duen zenbakia da.- Adibidez, 32 eta 8ren zkh, 8 da ; izan ere,
inserted textNola aurkitu bi zenbakiren zatitzaile komunak :Bi zenbakiren zatitzaile komunak beren zatitzaile komunetan
handienaren zatitzaileak dira. Izan ere, q zenbaki batek d = (a, b)
zkh zatitzen baldin badu, q-k aldi berean zeta "b"zatituko ditu.
Zeren a = d.k eta d = h.q baldin bada, orduan a = (k.h).q.Alderantziz, e-k a"eta `b"zatitzen baditu, (a, b) zkh = d. Izan ere, hala ez balitz, (d, e) zkh = t, eta
izango lirateke, m d-ri buruz zenbaki zatiezina izanik. Baina e zenbakia a eta b-ren zatitzaile komuna denez gero,
izan beharko dute. Hortaz, m - k "a" eta "b" zatituko lituzke; baina zatiezina da d-ri buruz, eta hori dela-eta, md-k "a" eta "b" ere zatitzen ditu, eta
eta hori ezinezkoa da, zatitzaile komunetan handiena baita. Beraz, m = 1, eta a-ren eta b-ren edozein zatitzaile komun bere zatitzaile komunetan handienaren zatitzaile ere bada.Ezaugarri horrek erraztu egiten du bi zenbakiren zatitzaile komunen
kalkulua. Zatitzaile komun guztiak aurkitzeko, zatitzaile
komunetan handiena eta zatitzaile komunetan handienaren zatitzaile
guztiak aurkitzen dira. Horiek dira eskatu diren zatitzaile
komun guztiak.• Adibidea:Aurki itzazu 168 eta 720 zenbakien zatitzaile komunak
Hortaz, zatitzaile komunak 24ren zatitzaileak dira, honela lortzen
direnak :
Euklidesen algoritmoa.
Bada beste metodo bat a eta b-ren zatitzaile komunetan handiena
aurkitzeko, zenbakiak zatitzaile lehenetan deskonposatzea erabiltzen
ez duena, eta Euklidesen Elementuak obrako VII. liburuan ageri dena.Errepikatzen diren eragiketa sail batean oinarritzen da liburua.
Matematikan, nahi den emaitzara iritsi arte urrats jakinak errepikatuz
egiten den prozedurari algoritmo esaten zaio ; AI-Khwarizmi
arabiar matematikariaren izenetik dator hitza, era honetako metodo
bat proposatu baitzuen, duela mila bat urte, ekuazioak ebazteko.Honetan datza Euklideren metodoa :(a, b) zkh aurkitzeko, bi zenbakietan txikiena hartzen da ; eman
dezagun b dela. a zati b egiten da.
zero baldin bada, b-k a zatitzen du, eta (a, b) zkh = b
zero ez bada, a-ren eta b-ren edozein zatitzaile komunek r, ere zatitu behar du, ezen h baldin bada a-ren eta b-ren zatitzaile komuna, eta baldin
, orduan:
Hortaz,
, ere zatitzen du, eta (a, b) zkh = d, a eta b-ren zatitzaile komuna izanik,
ere zatitu behar du. Alderantziz,
-en zatitzaile komunek,
inserted text
beraz,
Baina
da. Beraz, prozedura hori errepikatzen bada,
hondor oso positibo gero eta txikiagoak lortuko dira. Horren ondorioz, edota
batek
zatitzen du, edo azkenean hondarra 1 izango da.
, zatitzen baldin badu,
izango da, baldin azken hondarra bat bada, a eta b elkarrekiko zatiezinak badira dira.1. Aurki ezazu (1630, 535) zkh, Euklidesen algoritmoaren bidez.
Hortaz, (1630, 535) zkh = 52. Aurki ezazu (625, 1008) zkh.
Hortaz, (625, 1008) zkh = 1Metodo hau erosoagoa da, zenbaki handietan, biderkagai lehenetan
deskonposatzea baino. Zenbaki txikientzat, adibideekin froga
daitekeenez, a eta b-ren balioaren araberakoa da kontua.Prozedura honen ondorioz ikusten da baldin (a, b) zkh = d, bi
zenbaki oso aurki daitezkeela, positiboak nahiz negatiboak, k eta d,
halakoak non :
izan ere, Euklidesen algoritmoa hurrenez hurreneko zatiketa
osoen sail bat aurkitzean datza :
Horren ondorioz,
Lehen berdintza honela idatz daiteke :
Hortaz,
balitz zkh, teorema k=1 eta
berdintzekin beteko litzateke.Hala ez bada, aurrera jarraitu behartu da :
baldin bada, frogatua dago jadanik, honekin:
eta
Hala ez bada, aurrera jarraitu bahar da,
b
akanduz eta aurreko berdintzetan
eta
Multiplo (edo anizkoitz) komun txikiena
a eta b bi zenbakiren multiplo komun txikiena deitzen da aldi
berean a eta b-ren multiplo diren zenbakietan txikienari. (a, b) mkt
edo (a, b) akt adierazten da.a beste zenbaki oso batez biderkaturik lortzen diren zenbakiei deitzen zaie a-ren multiplo edo anizkoitz. Hau da, m a-ren multiplo da, baldin
da batez ere a-ren multiplo, ezen
. Zenbaki orok multiplo infinitu ditu, zeren eta zenbaki hori zenbaki natural desberdinez biderkatzean, multiplo desberdinak lortzen baitira, eta, hortaz, diren zenbaki natural adina multiplo lor daitezke.
Multiplo komun txikienaren kalkulua • Adibidea:
n zenbaki baten multiploak n-k zati ditzakeen zenbakiak dira ;
hortaz, eta zatitzaile komun handiena aurkitzeko erabilitako argudio
bera erabiliz, n zenbaki baten multiploek beren zatizaile lehen
guztiek n-n dutenaren berretzaile berdina edo handiagoa izan
beharko dute.Izan daitekeen multiplorik txikienean, a-n edo b-n diren biderkagai
lehen baino gehiago ezin dira izan, eta zenbaki lehen horien
berretzaileak ahalik eta txikiena behar du izan. Ahalik eta txikiena
izan dadin, baina a eta b-ren multiplo izaten jarrai dezan, a eta b-ren
deskonposatzeetan zenbaki lehen horrek duen berretzaile handiena
hartu behar da ; izan ere, txikiagoa balitz, ez luke ez bata ez bestea
zatituko. Hortik ateratzen da erregela : bi zenbakiren zatitzaile
komun txikiena bi zenbaki horien biderkagai lehenen biderkadura,
berdin diola biderkagai horiek komunak diren ala ez, berretzaile
handienarekin, da.1. Aurki ezazu 11550 eta 14700 zenbakien multiplo komun txikiena.
Zenbakiak biderkagai lehenetan deskonposatzen dira :
2, 3, 5, 7 eta 11 dira biderkagai lehenak. 2-k 147000 zenbakian
duen berretzaile handiena 2 da. 3ren berretzailea 1 da, eta 5ena 2.. an, berretzaile handiena 2 da, eta 11 berriz 11550 zenbakian bakarrik
dago, 1 berretzailearekin, hortaz :
2. Aurki ezazu 36 eta 180 zenbakien multiplo komun txikiena.
Biderkagai lehenak, komunak nahiz ez komunak, 2, 3 eta 5 dira,
eta horien berretzaile handienak 2, 2, eta 1 ; hortaz :
Kasu honetan
; hortaz, 180 zenbakia 36ren multiploa da, eta zenbakiarena berarena, eta ezin du izan bera baino multiplo txikiagorik. Hortaz, 180 da multiplo komun txikiena. Oro har, zenbaki bat beste baten multiploa baldin bada, bi zenbakietan handiena izango da bien multiplo komun txikiena.3. Arki ezazu 88 eta 89 zenbakien multiplo komun txikiena.
2, 3, 7, y 11 dira zenbaki lehenak, komunak eta komun ez direnak
. Horietakorik ateratzen ez denez bi deskonposatzeak egiterakoan,
deskonposatzean parte diren zenbakian dituzten haiek berak
izango dira berretzaileak : 2 eta 3 hiruz berretuak eta beste biak batez
berretuak :
Multiplo komunak
Bi zenbakiren multiplo komunak beren multiplo komun txikienaren
multiplo dira. Izan ere, a eta b-ren multiplo komun txikienaren
multiploak a eta b-ren multiplo ere badira, zeren multiplo izatearen
ezaugarria iragankorra baita. Era berean, a eta b-ren multiplo
komun bat beren multiplo komun txikienaren multiplo ere bada ;
hala ez balitz, multiplo komun txikienaz zailtzean hondar ez nulua
emango luke. m baldin bada multiplo komun txikiena, eta h m-ren
multiplo ez den multiplo komun bat :
,
eta horrez gainera
Alabaina, "h" eta "m", "a" eta "b"-ren multiplo direnez gero, horien
kenketa ere a eta b-ren multiplo izango da. Hortaz, a-ren eta b-ren
multiplo ere bada r. Baina r ordea m baino txikiagoa da, eta, hori
dela-eta, m ez da izan daitekeen multiplo komun txikiena, eta hori
hipotesiaren kontrakoa da. Horren ondorioz, ezin da izan a eta b-ren
multiplorik m-rena ere ez denik.Zatitzaile komun handiena kalkulatzeko, berretzaile txikieneko zatitzaile komun lehenak hartzen dira, eta multiplo komun txikiena lortzeko zatitzaile lehen komunak eta ez komunak hartzen dira, berretzaile handienarekin. Hortik ondorioztatzen da bi zenbakien biderkadura zatitzaile komun handienaren eta multiplo komun txikienaren biderkaduraren berdina izango dela :
Adibide baterako, 96 eta 72 hartuta:
Hortaz,
G
ehiagora ere orokor daiteke. Zatitzaile komunetan handiena
izango da hiru zenbakiren zatizaile komun handiena, eta multiplo
koman txikiena berriz hiru zenbaki horien multiplo komunetan
txikiena. Definizioz, eta kalkulatzeko moduagatik, arazorik gabeko
egingo dugu dedukzio hau :
• Adibidea : Aurki itzazu 48, 120 eta 168 zenbakien zatitzaile komunetan handiena eta multiploetan komun txikiena.
Zatitzaile komun handienarentzat, 2 eta 3 dira biderkagai lehen
komunak ; berretzile txikienak, hurrenez hurren, 3 eta 1 dira, eta beraz :
Multiplo komunetan txikienarentzat, 3, 5 eta 7 dira biderkagai
lehen komunak, eta berretzaile handiena, hurrenez hurren, 4, 1, 1,
1. Beraz :
Zenbaki perfektuak
Zenbaki perfektuak dira beren zatitzaile guztien baturaren emaitzatzat
zenbakia halako biko kopurua dutenak, edo zenbakiaren desberdin diren
zatitzaileen baturaren emaitzatzat zenbaki hori bera dutenak. Elementuak
lanaren aritmetikako azken liburuko proposizioetan aztertzen dira zenbaki
perfektuak. Antzina, aritmetikaren goreneko mailatzat hartzen zituzten
zenbaki perfektuak. 6 zenbakia esaterako, zenbaki perfektua da. Bere zatitzaileak
I, 2, 3 eta 6 dira.
San Agustinek zioen jainkoak 6 egunetan egin zuela mundua, istant
batean egin ordez, izan ere, Jainkoaren lan perfektua 6 zenbakiaren izaera
perfektuaren bidez adierazten baitzen. Janblikok (K.a IV m.) honela azaldu
zuen 6 zenbakiaren perfekzioa: "6 zenbaki perfektua dela esan ohi da, edo
lehenengo zenbaki bikoiti-bakoitia dela, edo lehenengo zenbaki angelu
zuzena dela. Pitagorikoek, berriz, Ezkontza esaten zioten, izan ere, bertan
elkar topatzen baitute zenbaki arrek eta emeek eta bertan nahasten baitira
lehenengo aldiz ; eta arrazoi beragatik esaten zaio Osasun eta Edertasun,
osatzen duten zatiak osoak direlako eta proportzioan daudelako".Janblikok 6-a bikoiti-bakoiti zela esaten zuen, izan ere, biz zatitzean
zenbaki bakoitia ematen duen zenbaki bikoitia baita ; eta angelu zuzena
dela, izan ere, lauki zuzen batean sei banako jarri baitatezke hiru banakoz
osatutako bi ilaratan :
Bestalde, zenbaki arren eta emeen arteko lehen topaketa zela zioen, izan
ere, bikoiti baten, emearen, eta bakoiti baten, arraren, lehen biderkadura
baita. Osasun eta Edertasun esaten zion osatzen duten zati guztiak ez txikiegiak
ez handiegiak dituelako, perfektua delako alegia.28 zenbakia ere perfektua da. Bere zatitzaileak 1, 2, 4, 7, eta 14 ditu ;
Horregatik, antzina, Ilargiaren mugimendua perfektua zela esaten
zuten, izan ere, Ilargiak Lurraren inguruko bira 28 egunetan egiten baitu.Zenbaki perfektu gehiago aurkitu nahi izanez gero, nahikoa da Euklidesen
Elementuaklanaren IX. liburuko 36. proposizioa irakurtzea : "banako
batetik abiatuta, nahi adina zenbaki proportzio bikoiztuan jartzen dira
horien baturak zenbaki lehen bat eman arte, eta batuketaren emaitza eta
baturaren azken zenbakia biderkatzen dira ; eragiketa horietatik lortzen
den zenbakia perfektua izango da".Gaur egungo idazkerara itzulita :
; A zenbaki lehena bada,
zenbaki perfektua izango da.Adibidez, 1+2=3 zenbaki lehena da, beraz,
perfektua da. Edo 1+2+4=7 zenbaki lehena da, beraz
perfektua da. Baina, 1+2+4+8=15 ez da zenbaki lehena, beraz 60 ez da perfektua.
eta bere zatitzaile guztien batura (1+2+4)(1+3)(1+5)=168 da, perfektua izateko beharko lukeena baino handiagoa, alegia 120 baino handiagoa.
1+2+4+8+16=31 zenbaki lehena da, beraz
perfektua da.
Horren froga erraza da.
progresio geometriko bat da, arrazoia 2 eta lehen terminoa 1 duena ; horren batura hau da:
Batugaiari A esango zaio. Zenbaki perfektua
da. A zenbaki lehena bada, zatitzaile izango ditu A eta 2, A behin eta 2 n aldiz.
Beraz, bere zatitzaileak
biderkaduratik ateratzen dira, eta horien batura.
perfektua izango da.Euklidesek ez zuen beste azalpenik eman. Baina, erromatar inperioko
azken garaiko filosofo pitagorikoek beren erara azaldu zuten Euklidesen
zenbaki perfektuen teoria. Nikomako Gerasakoak (k.o. I m.) zenbakiak bi
multzotan banatu zituen : behetiko perfektuak eta goitikoak. Behetiko
perfektuen zatitzaileen batura zenbakia baino txikiagoa izaten da. Esate
baterako, 16 zenbakia behetikoa da : 1, 2, 4 eta 8 dira bere zatitzaileak, eta
horien batura 15 da, hau da 16 baino txikiagoa. Goitikoen zatitzaileen
batura zenbakia bera baino handiagoa izaten da, adibidez 24 zenbakia : l,
2, 3, 4, 6, 8 eta 12 dira zatitzaileak, eta horien batura 36, hau da, 24 baino
handiagoa. Zenbaki perfektuen zatitzaileen batura zenbaki hori bera izaten
da, ez handiagoa ez txikiagoa.
Nikomakok lau zenbaki perfektu bakarrik ezagutzen zituen : 6, 28, 496
eta 8128. Bat banakoetan, beste bat hamarrekoetan, bat ehunekoetan eta
beste bat milakoetan, bikoitiak guztiak. Nikomako matematikari fina
zen, baina zenbakien edertasunean eta perfekzioan zuen fede pitagorikoaren
eraginez, emaitzak orokortu egin zituen eta hau baieztu zuen :- Zenbaki perfektu bat dago 10-en berredura bakoitzean, banakoetan, hamarrekoetan... eta, oro har,
eta
artean.- Zenbaki perfektuak 6z eta 8z amaitzen dira, txandaka.- Zenbaki perfektu guztiak bikoitiak dira.- Eukl idrsek proposatutako algoritmoak zenbaki perfektu guztiak ematen
zituen.- Zenbaki perfektu infinitu dago.Lehenengo baieztapena zoritxarrez faltsua da. Hurrengo zenbaki perfektua 33.550.336 da, eta ez dago zenbaki perfekturik ehun milakoetan, ezta milioietan ere. Haren hurrengoa 8.589.869.056 da, beraz, bigarren baieztapena ere faltsua da. Zenbaki perfektu bikoiti guztiak 6z edo 8z amaitzen direla frogatu da, baina inork ez du frogatu zenbaki perfektu bakoitirik ez dagoenik ; bestalde, 6 eta 8 ez dira txandaka azaltzen. Frogatu ahal izan da zenbaki perfektu bakoitirik egotekotan,
baino handiagoa izango dela, eta gutxienez 8 biderkagai bakoiti izango dituela.Euler-ek XVIII. mendean frogatu zuen Euklidesen algoritmoak zenbaki
perfektu bikoiti guztiak ematen zituela. Zenbaki perfektu bakoitirik ez
dagoela frogatzen bada, Nikomakoren hirugarren eta laugarren baieztapenak
egia izango lirateke.Azken baieztapena ez da oraindik ezagutzen. 30 zenbaki perfektu aurkitu
dira, bikoitiak guztiak, eta aurkitu den zenbaki perfektu handiena hau
dela diote:
hau da, 120000 zifrako zenbakia. Ez dirudi erraza
zenbaki lehena den jakitea.
IV. Zenbaki osoak
Zenbaki naturalak, askotan, ez dira nahikoa izaten zenbait problema ebazteko, esaterako, x+6=4 betetzen duen x zenbaki bat aurkitzeko ; ez dago emaitzarik zenbaki naturalen artean, izan ere,
baita, eta ez dago zenbaki positibo osorik 6ri batuz gero 6 baino zenbaki txikiagoa emango duenik. Bestetik, zientziatan eta geometrian badira zenbait egoera, kopuruen bi norabideak bereiztea komeni denak. 4 metroko desnibela neurtzeko, adibidez, desnibel hori gorantzakoa edo beherantzakoa den jakitea komeni da ; 100 urteko denbora bitartea neurtzean, bitarte hori orain dela 100 urteri dagokion edo hemendik 100 urteko bitarteari dagokion jakitea komeni da. Ekonomian adibidez, ez da gauza bera lau milioiren jabe izatea edo lau mikoko zorra izatea. Hirugarrenik, zenbaki naturalen egitura aljebraikoak eragozpenak ditu, izan ere, kenketak ez baitira ondo definitutako eragiketak, eta batuketak ez baitituzte aurkako elementuak definituta.Horrekin guztiarekin, beharrezkoa da beste zenbaki multzo bat
osatzea, kontrako norabidean kontatzeko, zenbaki naturalen osagarri
. Zenbaki negatiboen multzoa da hori. Zenbaki berri horiek
emaitza naturala ez duten kenketen emaitza izango lirateke. Zenbaki
naturaletan kenketa batek, 4-6 esaterako, baliorik ez duenean,
aurkakoak, hau da 6-4, izango du balioa. -2=4-6 definitzen da. Zenbaki
negatiboa dela adierazteko, kenketa horretan kenkizuna eta
kentzailea aldatuz lortzen den zenbaki positiboari "-" zeinua jartzen
zaio aurrean. Definizioa ez da erabilitako zenbakien araberakoa,
hau da, -2=4-6=5-7=...Zenbait liburutan minus ikurra zenbakiaren gainean jartzen da,
kenketaren emaitza gabe, osagai berri bat dela gogorarazteko. Baina,
hori ez da nahita nahiezkoa, izan ere, osagai berri horiek zenbaki
naturalak ez diren kenketaren emaitza gisa defini baitaitezke.Zenbaki naturalek -zenbaki positibo osoak, negatiboak eta
zero- zenbaki multzo berri bat osatzen dute, zenbaki osoen multzoa
deitua. Z letraren bidez adierazten da zenbaki osoen multzoa.
Multzo horrek azpimultzo bat du, zenbaki naturalen multzoa hain zuzen :
Zenbaki osoen batuketa zenbaki berri negatibo horietara heda
daiteke, -2 zenbakiak bi banako kentzea adierazten duela. Zenbaki
naturalen lerroan lau gehitzean, lau banako pasatzen dira eskuinera ;
zenbaki osoen lerroan, interpretazio bera du, eta -5 gehitzean bost
unitate pasa behar dira ezkerrera :
Balio absolutuaZenbaki oso baten balio absolutua hau da : zenbaki horrek zeinu
positiboa duenean duen balioa. Zenbakiak bi aldeetan barra bana
dituela adierazten dira. Definizioa hau da :
Balio absolutuak aldaketaren magnitudea neurtzen du, norabidea
kontuan hartu gabe
Eragiketak
Zenbaki osoetan bi eragiketa nagusi definitzen dira : batuketa eta biderkadura. Zenbaki osoen arteko eragiketak definitzeko kontuan hartzen dira, bai zeinua eta bai balio absolutuen arteko eragiketa.
Zenbaki osoak zenbaki naturalen hedatze gisa definitzen dira.
Zenbaki osoen arteko eragiketei dagokionez, komenigarria da zenbaki positibo osoekin lortzen diren emaitzak eta zenbaki horiek natural gisa hartuta egiten diren eragiketen emaitzak berdinak izatea. Hau da, 2 eta 3 zenbaki naturalen batuketa 2+3 eta (+2)+(+3) berdina izatea nahi da, eta gauza bera biderkadurari dagokionez.
Batuketa
Zenbaki osoen batuketa definitzeko hiru kasu hartzen dira kontuan, batugaien zeinuen arabera.
Bi batugaiak positiboak badira, batuketa zenbaki naturalekin bezala egiten da : (+2)+(+3)=+5 Batugaiak zenbaki negatiboak badira, batuketaren balio absolutua balio absolutuen batuketa da, baina emaitza negatiboa izango da beti : (-2)+(-3)=-5 Batugaietako bat positiboa eta bestea negatiboa badira, balio absolutuak konparatzen dira. Emaitzaren zeinua balio absolutu handiena duen zenbakiaren zeinu bera izango da, eta emaitzaren balio absolutua zenbaki handienaren balio absolutua ken txikienarena izango da. Kenketa honetan kenkizuna kentzailea baino handiagoa izaten da beti, beraz, zenbaki naturalen artean egin daitekeen kenketa da. Adibidez, (+5)+(-3)=2 eta (-5)+(+3)=-2 Bi zenbaki osoen batuketa bi zenbaki naturalen batuketatik eta kenketatik abiatuta definitzen da.
Zenbaki osoek batuketarekin, (Z,+), multzo abeldarra osatzen dute."a" Zenbaki oso ororentzat bada "-a" bat, "a"+("-a")=0 betetzen duena.
3ren aurkakoa -3 da, izan ere, 3+(-3)=0 betetzen baitu. Baina berdintza horren bidez ikus daiteke -3ren aurkakoa +3 :-(-3)=+3 dela.
Zenbaki baten aurkakoa lortzeko zeinua aldatu behar zaio zenbakiari.
Biderkadura
Biderkadura balio absolutuen biderkaduraren bidez egiten da; bi biderkagaiak positiboak edo biak negatiboak badira, + zeinua jartzen zaio emaitzari, eta bi biderkagaiek zeinu desberdinak badituzte, - zeinua jartzen zaio :
- Adibidez, (+2). (-3)=-6 edo (-4). (+3)=-12 edo +3). (+2)=+6 edo (-2). (-3)=+6 Zenbaki osoen biderkadura elkarkorra eta trukakorra da, banako )ar du + 1, baina ez du aurkakorik. Han da, osoen zatiketak definitu ;abe jarraitzen du zatikizuna ez denean zatitzailearen multiplo.
Bestalde, biderkaduraren eta batuketaren artean lege banakorra )etetzen da :
Ondorioak :
Eragiketak era horretan definitzeak beste ondorio batzuk ditu :
Hala da, izan ere,b+O=b elementu neutro bat baitago batuketarako.Bi atalak zenbaki batez, edozeinez (a), biderkatuz gero :
lege banakorraren bidez.Azken bi ataletan
aurkakoa gehituz gero,
geldizenegea betetzea nahi bada, edozein zenbaki zeroz biderkatzean,maitzak zero izan behar du.2. Zenbaki baten aurkakoa zenbaki hori bera da, baina zeinua aldatuta duela. Bedi
, a-ren aurkakoa -a izango da. Demagun aurkakoa beste bat dela, "-ten aurkakoa" deitua. Aurkakoaren definizioaren arabera :a + (a-ren aurkakoa) = 0
Batuketaren definizioaren arabera :
Beraz :a + (-a) = 0 = a + a-ren aurkakoa
Ezkerretik a-ren aurkakoa batuz gero, eta batuketaren elkarkortasunaren
Icgca aplikatuz gero :a-r n aurkakoa--aIdaztean ez dira bata eta bestea bereizten.
3. Hartutako banakortasunaren legean zeinuen arauak eragiten du, hau da,
bada,
beharko du.
Aurreko legearen arabera:
,
b-ren aurkakoa -b delako
zatiketaren aurkakoa batuz gero
Elkarkortasunaren legearen arabera :
eta
aurkakoa eta zenbaki negatiboa
Kenketak, zatiketak
Z-n kenketa honela definitzen da :
Eta definituta dago beti. Hau da, emaitza zenbaki oso bat da beti.
- Adibidez,
Eragiketa ez da elkarkorra :
Ezta trukakorra ere, elementu neutro bakarra baitu eskuinetik, hau da :
baina
eta ez a-ren berdina.Batuketaren ezaugarri elkarkorraren eta zenbaki osoen kenketaren
definizioaren ondorioz, kenketa ez da eragiketa berezi bezala
hartzen, eta idazkera sinplifikatzen da ikur bikoitzak baztertuaz, bat
zenbaki negatiboa edo positiboa izateagatik eta bestea batuketa edo
kenketa izateagatik. Beraz, ez da honela idazten :
Baizik eta,
Izan ere, adierazpen hori beste 2+((-3) + (-2)) adierazpen honen
ordezko da, eta batuketaren lege elkarkorraren bidez, parentesiak
ken daitezke:
Adierazpen horretan, + ikurrak ez dira adierazi behar, eta horrela
gelditzen da :
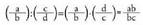
Horren arabera,4+3-4-5-6+4+3-6 idazten bada,zenbaki positiboak batu daitezke alde batetik (emaitza 14) eta negatiboak bestetik (emaitza -21), eta bi emaitza horiek batzea, edo zeinuen arauaren arabera positiboari negatiboa kentzea gauza bera dira(emaitza -7). Bada beste prozedura bat hori bera egiteko, batuketak ezkerretik eskuinera egitea alegia ; horretarako kontuan hartu behar da negatibo bat gehitzea eta positibo bat kentzea gauza bera direla :
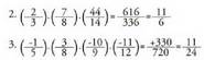
Zatiketa bi eratakoa izan daiteke, zenbaki natureletan bezala, zehartza edo osoa. Zatiketa zehartza : ikurraz adierazten da, edo zatikiaren barraren bidez bestela, eta ez da beti gertatzen:
baina
ez da zenbaki osoa.4+3-4-5-G+4+3-G=(4+3+4+3)+(-4-5-6-6)=14-21=-7
4+3-4-5-G+4+3-G=7-4-5-6+4+3-6=3-5-G+4+3-6=-2-G+4+3-6=-
8+4+3-6=-4+3-G=-1-G=-7
Zatiketa bi eratakoa izan daiteke, zenbaki natureletan bezala,
zehatza edo osoa. Zatiketa zehatza : ikurraz adierazten da, edo zatikiaren
barraren bidez bestela, eta ez da beti gertatzen :
(-4) :(-2)=+2, baina (-2) :(-4) ez da zenbaki osoa.
Zatiketa zehatza biderkaduraren kontrako eragiketa da. Bi zenbaki
oso zatitzeko, beren balio absolutuen arteko zatiketa egiten da,
zenbaki naturalekin bezala, eta zeinuen arauaren arabera dagokion
zeinua jartzen zaio emaitzari :
Zenbaki lehenei buruz esandako guztiak, zatikortasun
baldintzak eta bi zenbakiri buruz zatitzaile eta
multiplo komunak, zenbaki osoetarako ere balio
dute. Baina, zenbaki osoetan a :b=c bada, a:(-b)=-c
da. Esate baterako, 8 :4=2 da, eta 8 :(-4)=-2. Beraz,
azalpen guztietan bi aukerak agertu behar dira.
Zatiketa osoa
Z-n zatiketa osoa bi eratara defini daiteke : gutxiagoz eta gehiagoz.Bi zenbaki emanik (a eta b), a eta b zenbakien arteko zatiketa gutxiagozegiteko beste bi zenbaki oso (c zatidura eta r hondarra) gutxiagoz
a=b. c+r izatea, Ibl>r>O delarik = -2
2-3
-1
a eta h zenbakien arteko zatiketa gehiagoz egiteko, bi zenbaki
aurkitu behar dira, ondoko baldintza betetzen dutenak
izatea,
delarik.Definizio horretatik ondorio gisa ateratzen da :
Eragiketen mailaketa eta idazkera bakantzea
Eragiketa bat baino gehiago egin behar direnean, eragiketa horien
ordena parentesi bidez adierazi behar da. Baina eragiketa guztietan
eragile bakoitza adierazteko parentesi pare bat beharko lirateke, eta
adierazpena berehala nahaspilatuko litzateke. Horregatik, ahalik eta
parentesi gehien kentzen dira, eta ahalik eta + eta - zeinu gehien
laburtzen, bai batuketari eta kenketari dagozkienak, bai zenbakien
zeinua adierazten dutenak. Eragiketen mailaketa hau da :- Lehenbizi parentesi arteko eragiketak egiten dira,
- ondoren berredurak egiten dira ;
- gero biderketak eta zatiketak,
- eta azkenik, batuketak eta kenketak egiten dira.• Adibidez :
Baldin eta lehenbizi 2+3 batura, eta ondoren, biderketa egin nahi bada, parentesi bidez adierazi behar da :
Adierazpen luzeagoetan, lehenbizi parentesi artekoa egiten da, eta ondoren biderketak eta zatiketak :
Batukera eta kenketa guztiak batuketa bezala hartzen dira, kenketak aurkakoa batu esan nahi baitu. Horregatik, behin adierazpena sinplifikatu denean, ez dira bereizten kenketaren minusa eta zenbaki negatiboaren minusa.Biderketak eta zatiketak dauden adierazpenetan, parentesiak jartzea
derrigorrezkoa izaten da, izan ere, nahaste asko gerta baitaiteke
bestela :
Zatiketari dagokionez, zatiduraren marrak parentesiaren zereginabetetzen du :
Biderketak eta zatiketak batera jartzen direnean, nahasteak sor daitezke parentesiarik jartzen ez bada edo zatiduraren marraren bidez hala adierazten ez bada.
eragiketak, esaterako, ez daude egoki azalduta, izan ere, era batera baino gehiagotara uler baitaitezke :
Eragiketen mailaketa kalkulagailu batean
Kalkulagailu batean
egiten bada, pantailan 5ateratzen da.Zenbait kalkulagailutan [=] tekla sakatu ordez [EXE] teklari eman
behar zaio gordetako eragiketa guztiak egin ditzan.
Kalkulagailuak horrela ulertzen du : 4+2/2. Kalkulagailu sinpleetan
3 aterako litzateke, izan ere, kalkulagailu horiek memoria bakarra dute
eta eragiketak sartu ahala egiten baitituzte. Alegia, hau egiten du :
Kalkulagailu batean, zatiketa aurreko zenbakiari buruz egin daiteke soilik,
edo aurreko biderkaduren emaitzari buruz. Egiteko gelditzen diren
batuketa eta kenketak, biderkaduren eta zatiketen emaitzei gehitzeko
uzten ditu.Zatiketa baten ondoren biderkaketak jartzen badira, biderkaketa zatiketaren
emaitzarekin egin behar dela ulertzen du kalkulagailuak :
leihoan 8 ateratzen da.Kalkulagailuaren bidez 4 +4 :(2. 2)=5 egin nahi bada, parentesiak jarrita
egin daiteke:
edo bi aldiz zatituz
Kalkulagailuetan kenketaren ikurra eta aurkakoaren ikurra argi eta
garbi bereizten dira. Kenketaren zeinua batuketaren alboan izaten da.
Zenbaki baten zeinua, berriz, +/- teklaren bidez aldatzen da.
Zenbaki osoen ordena
a zenbakia b baino handiagoa dela esaten da,
, baldin eta
zenbaki positibo osoa bada. Bi zenbaki oso desberdin badira, a eta b,
edo
beteko da beti.Zenbaki osoen multzoan zenbaki guztiek ondorengo bat dute.
Esate baterako, 2-aren ondoren 3, -4-aren ondoren -3, oro har, a zenbakiaren ondoren a+1. Ondoz ondoko bi zenbakiren tartean banako bat besterik ez dago. Zenbaki osoetan ez dago ez lehenengo osagairik, ez azkenekorik; ez dute bornerik ez goitik ez behetik, hau da, ez da c baliorik " a e Z, non c>a den, edo ez da c' baliorik "
non
den, edo ez da
baliorik
,
non
den. Zenbaki naturalek ez dute goi bornerik, bai,
ordea, behe bornea, izan ere, zenbaki natural guztiak zero baino
handiagoak edo zeroren berdin baitira.Zenbaki osoak lerro zuzen batean adierazten dira, jatorri bat (O)
eta banako bat hartzen direlarik. Oro har, positiboak zeroren eskuinera
jartzen dira, eta negatiboak ezkerrera. Baldin eta a>b bada, a
zenbakia b-ren eskuinera egongo da.
Eragiketak eta ordena
Baldin eta desberdintza baten bi aldeei kopuru bera batzen Bazaie, eragiketen ordena ez da aldatzen : baldin eta
bada,
ere betetzen daBaldin eta
bada,
ere betetzen da.Biderkaduran, baldin eta
bada,
betetzen da
denetn, baina
bada
izango da ; izan ere,
positiboa bada,
,
izan baitaiteke positiboa
denean, eta negatiboa
senean.Baldin eta
bada, emaitza beti zero izango da, beraz,
Esate baterako,
bada
, hau da,
Baina
beraz,
izan ere
baita.-1 hartuz gero,
bada
izan behar du.
bada,
da.
V. Kongruentziak
Zatigarritasunari dagokionez, zenbakiak bitan banatzen dira :
zenbaki zatigarriak eta zenbaki zatiezinak. Bi zenbakiren arteko
zatiketa zehatza kontuan hartu beharrean zatiketa osoa hartzen
bada, zenbaki zatiezinak elkarren artetik desberdintzeko zatiketan
geratzen den hondarra hartzen da kontuan. 17 zati 4 eta 26 zati 4
zatiketak ez dira zehatzak, baina l7ren zatiketa osoaren zatidura 4
da eta hondarra 1, eta 26-ren zatiketa osoaren zatidura 6 da eta hondarra
2. 5, 9, 13, 17 zenbakien hondarra 1 da ; 6, 10, 14, 18 zenbakiena,
berriz, 2. 4-z egiten den zatiketa osoak lau multzotan banatzen
ditu zenbakiak : hondarra 0 dutenak, 1 dutenak, 2 dutenak eta
3 dutenak. Oro har, a zati b zatiketa osoak, a-ren balioaren arabera,
hondarra 0 edo 1, edo 2...edo b-1 izaten du.5 eta 17 zenbakiak 4-z zatitzen direnean hondar bera dute, eta 4
modulu kongruentzia dutela esaten da. Hala idazten da :
edo
(mod. 4)Oro har, d-z zatitzean a eta b zenbakiek hondar bera badute,
(mod. d) idazten da.Hau da, baldin eta :
(mod. d) betetzen da.Definizio hori eta beste hau berdinak dira :
(mod. d), baldin eta
zati d egin badaiteke.Moduluaren eta d zenbaki osoaren arteko kongruentzia harrema
baliokidetasun harremana da. Hau da, zenbakien arteko berdintasun
moduko bat da. Izan ere,1.-
(mod. d) da2.-
(mod. d) bada,
(mod. d) ere bada.3.-
(mod. d) eta
(mod. d) badira,
(mod. d) ere egiaztatzen da.Zenbakien arteko baliokidetasun harremana definituta dagoenetan,
osagai baliokideen multzoa osagai bakarreko multzo berri bat
bezala defini daiteke : zatidura multzoa, hain zuzen. Multzo hori
Z/d bidez adierazten da ; aurreko adibidean Z/4 zen. Z/7-rentzat 7
moduluaren baliokidetasunak hauek dira :
Z/7, beraz, zazpi osagaiz osatutako multzoa dela esan daiteke :
Kongruentziak zatigarritasun problemetan aplikatzen dira. Bestalde,
garrantzi handia du kongruentzien arteko eragiketak zenbaki
osoen arteko eragiketetan oinarrituta definitzeak. Kongruentziak
eta eragiketak bateragarriak dira. Baldin eta
Hau da, zenbakien arteko eragiketek kongruentzien arteko eragiketa
batzuk definitzen dituzte.
Bi berdintzak batuz gero :
Beraz,
(mod. d) ere betetzen da.Bestalde,
(mod. d) bada,
eta
da.a bider e eta b bider f eginez gero, hau gelditzen da :
eta
Kasu horretan K eta M-ren balioek ez dute garrantzirik, izan ere, hondarra d-z zatitzen eta
zatitzean emaitza bera lortzenbaita, beraz, elkarren kongruente dira, hau da,
(mod. d)frogatu nahi zen bezala.Zenbaki osoen arteko eragiketak ez dira aldatzen kongruentziak edozein zenbakiko modulu erakoak hartzen direnean. Baldin eta a+b=c bada, orduan
da, eta
bada,
da.
Beraz, hondar moten artean eragiketak gorde egiten dira. Baina kongruentzien artean, zenbaki osoen arteko eragiketak aldatu egiten dira. Esate baterako, Z/7 multzoan batuketarako emaitza hauek lortzen dira :
hau da,
Zenbaki osoen adierazpen grafikoa zuzenean egiten da :
,
zenbaki kongruenteak, aldiz, zirkunferentzia
batean adierazten dira :Zenbaki bat beste zenbaki batez
zatitzeko behar diren baldintzak
lortzeko modua (zenbaki naturaren
zatigarritasunaz arduratzen den atalean
azaldu dena), kongruentzienbidez sinplikatzen da. Oinarria 10 duen edozein zenbaki oso, esate
baterako 1998, 10-n berreduren batura gisa adieraz daiteke :
Baldin eta zenbaki bat 13 zenbakiarekiko zatigarri izateko baldintzak
atera nahi badira, 10-n berredurekin kongruente diren zenbaki
txikienak bilatzen dira.
Eta milioitik aurrera errepikatu egiten da.
Baina kongruentziekin ez dira horrenbeste zatiketa egin behar 13-z, izan ere, 10 - 3 (mod.13) bada,
(mod. 13) eta
(mod.13).1998-rako hau gelditzen da:
Hondarraren modulua zenbaki lehena eta zenbaki konposatua duten eragiketak
Kongruentziak zenbaki lehen bati buruz hartu edo zenbaki konposatu
bati buruz hartu, eragiketen ezaugarriak aldatu egiten dira.Har ditzagun 7 modulua dituzten zenbaki kongruenteak. Laburtzeko kortxeterik gabe adieraziko dira:
, etab.Batuketarako eta biderkaketarako taulak hauek dira :
Taula horien bidez froga daiteke, nahiz eta zenbait frogantza osooso
astunak izan, 7 modulua duten zenbaki kongruenteek batuketan
multzo trukakorra osatzen dutela eta, 0 baztertuz gero, biderkaketan
ere osatzen dutela multzoa. Batuketan elementu neutroa 0 da,
1-en aurkakoa 6 da, 2-rena 5, etab., eta biderkaketan banakoa 1 da,
2-aren aurkakoa 4 da, 3-arena 5 eta 6-arena 6 bera.7 moduluko kongruentziekin ebatz daitezke : kenketa baten bidez
ebazten den ekuazio bat, esate baterako 3+x=2 (taulan ikus daiteke
x=6 dela), eta zatidura batez ebazten den ekuazioa, esate baterako
4x=2 (taulan ikus daiteke x=4 dela).7 moduluko zenbaki kongruenteen biderkadura, bestalde, sinplifika daiteke :
bada, eta a 0 bada, orduan b=c izango da.Zatikien edo zenbaki errealen eragiketen ezaugarri berak dituzten
multzo horiei gorputz esaten zaie. 7 moduluko hondarrak gorputz
finitua dira, 7 osagaiz osatua.6 moduluko hondarrak hartuz gero, eta horien idazkera sinplifikatuz
gero, batuketaren eta biderkaketaren taulak hauek dira :
Kasu honetan ere batuketa eta biderkaketa elkarkorrak edo trukakorrak dira. Baina, biderkaketa hori ez da zenbaki osoen biderkaketa bezala egiten ; 0 lor daiteke, nahiz eta biderkagaietako bat 0 ez izan, esate baterako,
. Halakoetan, biderkadura horrek zeroren
zatitzaileak dituela esaten da
ekuazioak ez du emaitzarik eta
ekuazioak, berriz, bi emaitza ditu, 2 eta 4 hain zuzen.Oro har, mudulua zenbaki lehena duten hondarrak hartzen badira, biderkadurari Z/7-an gertatzen zitzaion gauza bera gertatzen zaio, hau da, zenbaki guztiek dute aurkakoa eta
motako ekuazioek emaitza bakarra dute. Hala ere, modulu gisa zenbaki elkartu bat hartzen bada
biderkaketaren emaitza ezeztatu egingo da, ez a eta ez b nuluak ez direlarik.Fermaten teoremaKonkruentzien bidez erraz adierazten den teorema bat frogatu
zuen Fermatek :baldin eta p zenbaki lehena bada, eta a zatitzen ez badu :
(mod. p) egiaztatzen daHau da, edozein zenbaki oso hartuz gero, 8 adibidez, eta hura ezin zatitu duen zenbaki lehen bat hartuz gero, 3 esate baterako,
6 eta 5 hartuz gero:
Halakoetan, kalkulua zuzenean egin daiteke. Baina,
bezalako balioetan, teorema horren laguntzarik gabe zaila izango litzateke jakitea hondarra 13-z zatitzean 1 ematen duen.Horren froga hau da :
, a-ren hurrenez hurreneko multiploak dira.p zenbaki lehena denez gero, a ezin da p-z zatitu, eta 1,2,3...p-1
beste biderkagaia beti p baino txikiagoa denez gero, a-ren lehen p-1
multiploak p-z zatitzean ez dute inoiz 0 hondarra emango, edo ez
dira zerori buruz kongruente izango.Bestalde, aipatutako multiploak ezin dira kongruente izan p moduluari buruz. Izan ere, naJma (mod. p) bada, (n-m)a=kp-ren baliokide da ; baina, hori ez da hala gertatu, p zebaki lehena delako eta a zatitu ezin duelako, ezta n-m zatitu ere (bi zenbaki horiek p baino txikiagoak dira).Beraz, a, 2a, 3a, 4a...(p-1)a zenbakiek kongruente izan behar dute l, 2, 3,...p-1 zenbakiei buruz, izan ere, ez baitaude bi zenbaki zenbaki berdinari buruz kongruente direnik, eta bat bera ere ez baita kongruente zerori buruz. Biderkaketa trukakorra denez gero, berdin dio zein ordenatan ematen diren kongruentzia horiek, berdin dio
(mod.p) eta
(mod. p) izan, edo
(mod.p) eta
(mod. p) izan, hau baieztatzeko :
Bigarren atala lehenengo atalera pasatuz gero :
baina
biderkadurak ezin du zero eman, izan ere, horietako batek ere ezin baitu p zatitu, p baino txikiagoak direlako eta p zenbaki lehena delako. Horrez gainera, p zenbaki lehena denez gero, kongruentzien arteko biderkadura batek zero emango badu, osagaietako batek zero izan behar du. Beraz :
edo bestela :
Fermaten azken teorema
Fermat (1601-1665) Okzitaniako Tolosan bizi izan zen. Azalpen labur
ugari idatzi zituen, azalpen osorik ez ordea. Fermaten semeak argitaratu
zituen aitaren lan nagusiak. Horien artean aipatzekoa da Fermaten oharrak
zituen Diafantoren Aritmetika, Bachetek argitaratua. Diafantok azaltzen
duen lekuan nola aurkitu hiru zenbaki oso, 3, 4 eta 5, Pitagorasen teorema
betetzen dutenak
, Fermatek ohar bat idatzi zuen : "ezin idatz daiteke kuboa bi kuboren batuketa gisa ; ezin idatz daiteke lauko berredura bi lauko berreduren batuketa gisa, eta horrela hurrenez hurren, biko berredura salbu. Aurkitu dut horren froga, baina liburu honek ertzak txikiegiak ditu hori azaltzeko".Alegia, gaur egungo idazkeran horrek esan nahi du
ekuazioak ez duela hiru zenbaki oso eta zeroren desberdin den emaitzarik.Teorema hori ospetsua da, milaka lagun, besteren artean munduko
matematikaririk ospetsuenak, horretan saiatu arren, 1993. urtea arte ezin
izan zelako ebatzi. Hala ere, gaur egun oraindik ez da baieztatu froga hori
zuzena denik.Fermatek, bestalde, ez zuen inoiz emaitza hori azaldu. Hala ere, n=4
kasua frogatu zuen
Beherapen infinituaren metodoaren bidez frogatu zuen, hain zuzen. Metodo
horren arabera ekuazio hori egiatzat hartzen da a, b, c balioentzat
delarik, eta horientzat egia bada,
balioentzat ere,
delarik, egia da; eta horrela jarraitzen da
inserted text
betetzen den arte, baina hori ez da posible. Fermatek metodo hori erabili zuen n=4 kasua frogatzeko, eta beharbada n=3 frogatzeko ere erabiliko zuen, baina ez zuen argitaratu. XVIII. mendean Eulerrek soluzio bat argitaratu zuen kasu horretarako. Historialari askoren iritziz Fermatek metodo orokor bat aurkitu zuela uste zuen, baina ondoren ohartu zen n=3 eta n=4 kasuetarako balio zuela bakarrik. Izan ere, historialariek diotenez, Fermatek bere ikerketen hasieran idatzi zuen ohar hura ez zuen argitaratzeko asmoz idatzi. Fermatek urte batzuen ondoren, bere eskutitzetan n=3 eta n=4 adibideak aipatzen zituen soilik. Teorema 4 zenbakiarekin eta bi baino handiagoak diren zenbaki
lehenekin frogatzea nahikoa da, zeren
(p lehena dela) denean, hiru zenbaki oso ez nulurentzat (x, y, z) egia bada :Lamek bere froga azaldu zueneko Zientzia Akademiaren biltzarraren
laburpena. Liouvillek egin zizkion oharrak ere azaltzen dira.
orobat egia izango da p lehenarentzat
zenbaki osoekin.
Teorema horren askabide partzialen bigarren aldia Gaussekin hasi zen XIX. mendearen hasieran. Metodo horiek
a eta b osoak direla) motako zenbaki konplexuen ezaugarrietan eta
banakoaren p-garren erroan oinarritzen dira. Cauchy, Dirichlet, Lebesgue, Sophie Germain eta Lamek landu zuten teorema hori. Lamek n=7 kasuan frogatu zuen, eta 1847an, ustez, frogantza orokorra egin zuen, baina ez zen halakorik gertatu.
Kummerek, alde batetik,
formako zenbaki oso ziklotomikoen metodoak, eta bestetik, zenbaki oso horiek zenbaki lehen moduko batzuetan deskonposatzeko moduari buruzko aljebra abstraktuari buruzko zenbait lan batera hartuz Fermaten teorema 100 baino txikiagoak diren zenbaki guztiekin, 37, 59 eta 67-kin salbu, frogatzea lortu zuen. Academie des Sciences-ek sari bat antolatu zuen XIX. mendean Fermaten teorema frogatzeko ; Kummeri eman zioten sari hura. XXL mende hasieran Gotingako unibertsitateak 100.000 markoko saria eskaini zuen askabidea aurkitzen zuenarentzat. 1948an 7690 DM-ra jaitsi zuen diru saria Bigarren Mundu gerraren ondorioz.
Andrew Wilesek 1993an askabide bat azaldu zuen, baina zeharrekoa zen, eta oso konplexua gainera.
formaren kurbei buruzko Shimura-Taniyama-Weilen ustea frogatu zuen; ez zen erabatekoa, baina nahikoa zen
berdintasunean Fermaten teorema erabiltzeko. Horretarako, funtzio konplexuen sailak eta Galoisen multzoaren adierazpenak erabili zituen. Horiekin batera, matematikaren hainbat alorretako ikerketa berrietako emaitzak erabili zituen. Dirudienez, Wilesek bere froga a7altzen zuen lehen artikulua itzuli egin zioten zeinbat pausu osatu zitzan ; dagoeneko osatua du. Oro har, froga baliagarria dela uste da, nahiz eta ez den ideia sinplea eta burutsua, izan ere, Diafantoren Aritmetikatik oso hurbil baitago.Behin froga hori onartzen denean, Gotingako Unibertsitateak lasaitasun
handia hartuko du, hilabetero Fermaten teoremaren hainbat askabide iristen
baitzaizkio. Askabide horien artean matematikarekin zerikusia ez dutenak
baztertu egiten ditu Unibertsitateak, eta gainerakoak matematikako sailak
aztertzen ditu eta agiri bat betetzen du, aurretik prestatua duena: "zoritxarrez
bidali diguzun Fermaten teoremaren demostrazioa ez da baliozkoa, zenbait
akats aurkitu baitzaizkio. Lehena... orrialdean dago,... esaten duenean".
VI. Zenbaki arrazionalak
Zenbaki negatiboen bidez zenbaki naturaletan batuketaren
inguruan irtenbiderik ez duten zenbait arazo konpontzen dira.
Zenbaki osoek konpontzen dituzte arazo horiek, baina ez dituzte
konpontzen biderkaduraren inguruko arazoak. 3x= 1 ekuazioak
ez du emaitza osorik, eta oro har, ax=b ekuazioek (a eta b
osoak direla) b a-ren multiplo denean baizik ez dute emaitza
osoa. 3x= 1 ekuazioaren emaitza aurkitzeko banakoa hiru zatitan
zatitu beharko litzateke. Antzeko hainbat arazo dago eguneroko
egoeratan, hala nola, pastel bat hiru zati berdinetan banatzean,
edo ur litro bat hiru lagunen artean banatzean. Luzera edo pisua
neurtu nahi denean ere ager daitezke arazo mota horiek.Zenbaki osoak zatiketa ez zehatzen emaitza izango liratekeen
zenbaki berri batzuekin osatuko balira izango luke arazo horrek
irtenbidea. Hiru lagunen artean banatu nahi den pastela hiru zati
berdinetan zati badaiteke, zati horietako bakoitza izango litzateke
soluzioa. Oro har, a objektu b lagunen artean banatu behar badira,
objektu bakoitzarekin b parte egitea eta lagun bakoitzari parte
bat ematea izango litzateke emaitza. Matematikan, (a,b) bikotetik
abiatuta zenbaki berriak definitzea da hori, bx=a problemaren
soluzioa izango liratekeen zenbakiak hain zuzen. Zenbaki osoen
bikote horri zatiki esaten zaio eta horrela adierazten da :
a/b zatiki batean, a zenbakitzailea da eta b izendatzailea. 1 /2, -
22/3, 1/11 edo 13/30, adibidez, zatikiak dira, eta erdi bat, minus
hogeitabi hiruren, hamaikaren bat, eta hamairu hogeitamarren
irakurtzen dira. Hamaikatik aurrera, izendatzailea adierazteko -
ten atzizkia jartzen zaio zenbakiari.Horrela definitutako zatiki multzoak zenbaki osoen multzoa osatzen du, baldin eta
zenbaki osoetarako a / 1 zatikia hartzen bada.
Zatikiak ez dira zehatzak izaten. Esate baterako, zenbaki osoentzat zatiki asko aurki daitezke zenbaki bera adierazten dutenak : 2/ 1 edo 4/2 edo -4/(-2), zatiketa oso gisa hartuz gero, zatidura berdina ematen dute : 2 zenbakia hain zuzen. Oro har, zenbaki oso bera adierazten dute zatiketa egin ondoren zenbaki hori ematen duten
m/n zatiki guztiek. Baina problema hori ez da zenbaki osoetara mugatzen. 1/2 edo 2/4 edo -2/(-4) hartuta ere arazo bera da, guztietan
emaitza zatikizko zenbakia da, bi aldiz hartuta 1 ematen duena. Horregatik, zatikizko zenbakiak errepikatu egiten dira.
Oro har, m/n eta s/t zatikiak zenbaki bera ematen dute, baldin eta
betetzen bada. Multzoa ondo definitzeko zatiki berdin guztien ordezko bat bakarra hartzea komeni da. Logikoa dirudi 2/1, 4/2 eta (-4)/-(2) zatikien artetik 2/1 hartzea, eta 1/2, 2/4 eta 4/8 zatikien artetik 1/2 hartzea. Alegia, guztietan sinplifikatuena hartzea. Bestalde, 1 /0 zatikiak ez du zentzurik. 1 /0 hartzeak zeroz biderkatuta bat emango lukeen kopurubat hartzen dela esan nahiko luke, eta hori ezinezkoa
biderkatzen diren zenbaki guztiek 0 ematen dute. Horrek
zatiki guztientzat balio du. Beraz, izendatzaileak ez du zero izan behar.Hori guztia kontuan hartuta, zatikien bidez zenbakien multzoa
osa daiteke baldintza hauen arabera :- Batetik, baliokide diren zatikizko zenbakien artetik soilena hartu
behar da.- Bestetik, ahaleginak egin behar dira zatitzailea zero izan ez dadin.Zenbaki multzo horri zenbaki arrazionalen multzoa esaten zaio
eta Q-z adierazten da. Zenbaki arrazionalak horrela definitzen dira :
eta a eta b elkarrekiko zatiezinak.
Elkarrekiko zatiezin izatearen baldintzak zatiki baliagarri guztien artetik sinplifikatuena hartzen dela ziurtatzen du.
baldintzak, bestalde, izendatzailea ez dela 0, eta gainera, zatikia har daitekeen formen artetik minus zeinua, izatekotan, zenbakitzailean dela ziurtatzen du. Ikurra zenbakitzailean duen zatiki sinplifikatu horri laburtezina esaten zaio.Zatiki bat sinplifikatzea zatiki hori era laburtezinean jartzea da.
Horretarako minus ikurra, behar izatekotan, zenbakitzaileari jarri
behar zaio, zatitzaile komunetako handiena aurkitu behar da, eta
zenbaki horretaz zatitu behar dira zenbakitzailea eta izendatzailea.
Horrek ziurtatzen du ateratzen diren zenbakiak elkarrekiko zatiezin
direla.- Adibidez :Sinplifikatu :
Horrela definitutako zenbaki arrazionalen multzoak bere baitan
hartzen ditu zenbaki osoak, izendatzailean 1 duten zatikiak baitira :
Eragiketak
Izendatzaile bera duten zatikiak batzeko aski da zenbakitzaileak
batzea. Lauren bat eta bost lauren batuta emaitza sei lauren da.
Emaitza sinplifikatu egin behar da.Bi zatikiek izendatzaile desberdina badute, lehenbizi mota bereko zenbakiak batzen direla ziurtatu behar da. Ezin dira hamarrenak eta erdiak batu mota bereko banakoak balira bezala ; hori kiloak eta gramoak batzea bezala da. Batuketa egiteko izendaitzaile komuna aurkitu behar da lehenbizi. Hamarrenak eta erdiak batu nahi badira, erdiak hamarren bihurtu behar dira ; hori zenbakitzailea eta izendatzailea bider 5 eginez lortzen da. Adibidez :
Izendatzaile komuna bi modutara lor daiteke : edo izendatzaileen biderkadura hartzen da, edo bukaeran gutxiago sinplikatu nahi bada, multiplo komunetan txikiena hartzen da.
Horrela definitutako batuketak zenbaki osoen batuketaren ezaugarri
guztiak ditu : elkarkorra, trukakorra, elementu neutroa du (0)
eta zenbaki arrazional bakoitzak bere aurkakoa du (a/b-ren aurkakoa
-a/b da).0 zenbaki arrazionala 0/1 gisa idatz daiteke. 0/a-ren baliokide da
edozein a zenbaki oso ez nulurentzat.a/b zenbakiaren aurkakoa -a/b da ; (-a)/b edo a/(-b) idatz daiteke.
Kenketa egitea aurkakoa batzea da, zenbaki osoetan bezala. Beraz,
kenketak batuketa bihurtzen dira, hau da, parentesirik behar ez
duten eragiketak elkarkor bihurtzen dira.• Adibideak-
Honela ere egin daiteke :
Biderkaketa
Zenbaki osoei dagokien zatikien biderkaketak, izendatzailea 1 eta
zenbakitzailea edozein dela, beste zatiki bat izan behar du, zenbakitzailea
zenbaki osoen biderkadura dela, eta izendatzailea, berriz, 1
(izendatzaileen biderkadura) dela.Zenbaki oso bat zatiki batez biderkatzen bada, esate baterako 1 /2 bi aldiz, emaitza 1/2+1/2=2/2 izango da. 1/2 bider lau eginez gero, emaitza lau aldiz 1 /2 izango da, hau da 4/2. Bi adibideetan biderkadura zatiki bat da : zenbakitzailea zenbakitzaileen biderkadura da eta izendatzailea izendatzaileen biderkadura. Ondoren lortzen den zatikia sinplifikatu egin behar da era laburtezina izateko.
Emaitza horiek orokortuz,
biderkaketaren emaitza beste zatiki bat izango da, zenbakitzaile gisa zenbakitzaileen biderkadura eta izendatzaile gisa izendatzaileen biderkadura dituena :
. Zenbaki arrazionalen edozein bikoterentzat, a/b eta c/d, biderkadura zenbakitzaileen arteko biderkadura izango da, eta lortzen den zatikia sinplifikatu egiten da era laburtezina lortu arte :
Biderkaketa definizio horrek trukakortasunaren eta elkarkortasunaren
legeak betetzen ditu. Elementu neutroa 1 / 1 da, eta a/b zenbaki
arrazional baten alderantzizkoa b/a da, izan ere
0 zenbakia salbu, horrek ez baitu alderantzizkorik.Kontuan hartu behar da definizio horren arabera lortutako biderkadura
ezin dela izendatzaile zero duen zatiki bat izan, izan ere,
(a/b) bider (c/d) baldin bada, ez b ez d ezin dira zero izan. Beraz,
biderkadura bd:P'-0 da.• Adibideak :
edo bestela:
,
Bi zenbaki arrazionalen zatiketa honela definitzen da : zatitzailearen
alderantzizkoaren biderkadura.
Horregatik esan ohi da zatiketa egiteko gurutzean biderkatzen
dela.• Adibideak :
Zenbait kalkulagailurekin zatikien arteko eragiketak egin daitezke sistema dezimalera pasa gabe. Eragiketa horiek egiteko modua aldatu egiten da kalkulagailu mota batetik bestera; hala ere, kalkulagailuaren oharretan azaltzen da zein modutara egin behar den. Kalkulagailuek, askotan, zatiki mistoa ematen dute emaitza gisa, hau da, atal osoa batetik, eta banakoa baino txikiagoa den zatikia bestetik, esate baterako, 3/2 jarri ordez
Balio absolutua eta ikurren legea
Zenbaki osoen ikurren legeak berdin-berdin balio du zenbaki
arrazionalen biderkaketan eta zatiketan ere. Arau horrek zatikien
ikurrak sinplifikatzen ditu. Bi biderkagaiak, bai zatikizunak bai
zatitzaileak, ikur berdinekoak badira, emaitza positiboa izango da.
Bietako bat negatiboa eta bestea positiboa badira, emaitza negatiboa
izango da. Era laburtezina lortzeko azken ikurra zenbakitzailean
jartzen da, era horretan izendatzailea beti positiboa izango da.Zatiki baten balio absolutua zatiki hori bera da ikur positiboarekin,
hau da
Zenbaki arrazionalen ordena
Ikurren arauaren arabera argi eta garbi adierazten da zein zenbaki
den positiboa eta zein negatiboa, eta horri esker edozein bikote
ordena daiteke.• Adibidea:1. Esan zein den handiago
,
,
Beraz,
2. Esan zein den handiago
izan ere, zenbaki positiboak negatiboak baino handiagoak baitira beti.
_ erlazioa hartuz gero, ordenaren erlazioa erabatekoa da, hau da
da.Zenbaki osoetan ordena eta batuketa bateragarri direnez gero :
baldin eta
bada
betetzen da.Baina biderkaduran,
soilik
bada, bestela desberdintasunak zentzua aldatzen du.Zenbaki arrazionalak zuzen batean adieraz daitezke ; lerro horri
lerro zuzen arrazionala esaten zaio.
Zuzen horretan zenbaki handiena txikienaren eskuinean dago.Zenbaki errealen multzoa trinkoa da. Hau da, a/b>c/d bada, beti izango da m/n bat, a/d>m/n>c/d betetzen duena. (a+b)/(b+d) zatikia esaterako, bien artean dago. Izan ere, a/b>c/d bada, kenketa a/bc/d=(ab-bc)/bd positiboa da. Beraz, ad-bc>0 da, izendatzaileak beti positiboak hartzen baitira. Behin hori frogatu denean, ikus daiteke (a+c)/(b+d) bi horien artean dagoela, a, b, c, d edozein direla ere, a/b>c/d betetzen den guztietan :
Eta
frogatu nahi zen bezala.Zenbaki arrazionalen ezaugarri hori, zenbaki arrazional batzuen
eta besteen hurbiltasunarekin zerikusia duena, zenbaki arrazionalen
multzoa trinkoa dela esanez adierazten da.Mota bereko beste ezaugarri bat hau da : a/b eta c/d zenbakiak
kontuan hartuta, eta 0 < a / b
hurbiltzen da, baina zenbaki hori ez da arrazionala, beraz, ez du goi borne txikienik. Hau da, zenbaki arrazionalen multzoa (Q) ez da osoa. Dena dela, problema hori hurrengo ataleko zenbaki errealen sarreran aztertuko da sakonago.
VII. Forma hamartarra
Forma hamartarra zenbaki arrazionalak erraz erabiltzeko modu
bat da ; hurbiltasunetan erabiltzen da batez ere. Zatiki bat era
hamartarrean idaztea izendatzailea 1 On berredura duen zatiki baliokide
bat aurkitzea da. 123/ 1000 zenbaki hamartarra da. Baina,
aburtzeko 0,123 idazten da. Zatidura 1 baino handiagoa bada, zati
osoa komaren ezkerrera idazten da : 2345/100=23,45.Zatiki baten era hamartarrari zenbaki hamartar esaten zaio. Idazteko
era erosoa da, zenbakiaren garapena erraz lortzen baita hama-
-reko berreduretan. Komatik eskuinera dauden zenbakientzat
-iamarreko berredurak zatitzen ari dira, eta ezkerrekoentzat bidercatzen
.
a/b zaitki bat
erara jar daiteke, baldin eta soilik baldin
: atitzen badu ;
denez gero, hori soilik gertatzen da a a/b zatiki aburtezinaren izendatzaileko zatitzaile lehen bakarrak 2 eta 5 badira.
Hori dela eta, zatiki asko ezin jar daitezke era hamartarrean, baina :atiketaren algoritmoari esker edozein zatiki hurbil daiteke zenbaki iamartarraren bidez.Zatiketa batean, hondar osoa utzi beharrean hondar txikiago bat )ilatzen jarraitzen bada, mugarik gabe jarrai daiteke eragiketa hori.
1/4, 1 /3 eta 1 / 12 zatikiak hartuz gero :
Lehenengo adibidean eragiketa batzuk egin ondoren, zati hamartarra
amaitu egiten da ; izendatzailean tren berredurak daude bakarrik.
Bigarren zatiketa, aldiz, ez da sekula amaitzen, baina zatidura
partziala -3- errepikatu egiten da. Hirugarren adibidean, lehenengo
zenbakiak ez dira errepikatzen, baina hirugarren zenbaki
hamartarretik aurrera zatidura partziala 3 da beti.Hiru adibide horiek zenbaki arrazionalekin lortu daitezkeen zenbaki
hamartarren adibide dira. Lehenengoari zenbaki hamartar ez
periodiko esaten zaio, bigarrenari periodiko soila eta hirugarrenari
periodiko mistoa.Zenbakiak errepikatzen direla adierazteko arku moduko bat jartzen da errepikatzen diren zenbakien gainean.
Beraz , aurreko zenbaki arrazionalak horrela idazten dira :
Era horretan, nahiz eta hamartarrak amaigabe jarraitzen duten, ezagutzen da zein legeren arabera osatzen diren, eta balio hamartarra nahi adina hurbil daiteke zatikira.Errepikatzen diren zenbakiak, periodoak, bat baino gehiago izan
daitezke :
Bestalde, zatiki batetik abiatuta ezin lor daiteke beste zenbaki
hamartarrik. Beste era batera esanda, zatiki orok zenbaki hamartar
periodikoa ematen du, baldin eta hamartar zehatza periodo zero
duen periodiko gisa hartzen bada.a/b egitean, zatidura partzialak desberdinak izango dira, hondarrak desberdinak diren bitartean. Hondar partzial bat errepikatzen denean, hondarrak ondotik zituen zifra berak izango ditu berriz ere atzean. Beraz, hondarrak 0 baino handiagoa eta b baino txikiagoa izan behar duenez gero, b hondar desberdin izan daitezke, eta komaren ondoren b-garren zifran seguru aurreko hondarren bat errepikatzen
dela. Esate baterako
Seigarren hondarra 1 da, lehenengo
zenbakia bezala. Ezin
zitekeen bestela izan, izan ere,
edo errepikatzen zen lehenago
ateratako letik Erako zenbakiren
bat, edo zero zen, eta zero
izanez gero zatiketa amaitzen
da.• Adibideak:Jarri era hamartarrean
Era hamartarretik zatikizko erara igarotzeaBaldin eta zenbaki hamartar zehatza bada, zeroz zatitzen da eta
zenbaki hamartar adina zero jartzen dira.• Adibidea:
Hamartar periodiko purua bada, periodoan n zenbaki dituena,
arrazoia duen segida geometriko baten batuketa gisa har daiteke ; n-k periodoak dituen zifra hamartarren kopurua adierazten du.
Progresio geometriko baten batuketa hau da :
Beraz, adibide horretan :
Eragiketak egin ondoren, goian periodo baten zifrez osatutako
zenbakia gelditzen da, eta behean, periodoak dituen zifra adina 9
gelditzen dira.Zorroztasun gutxiagoko metodo baten bidez froga daiteke hori :
Periodiko mistoa bada, edo zati hamartarra periodiko soila bada, atal bat osoa ez nulua duena, atal periodikoan eta atal ez periodikoan eragiketa berdina egiten da : dagokion hamarren berreduragatik zatitzen da.Esate baterako :
Aurreko metodoaren bidez, froga daiteke zenbakitzailean gelditzen
dela alde periodikoa eta ez periodikoa ken ez periodikoa, eta
40izendatzailean periodoak duen zifra adina bederatzi eta hamartar ez
periodiko adina zero.• Adibidea :Pasa zatiki erara :
Zifra periodiko infinituak ez dira lanerako erosoak izaten ; horregatik,
emaitza zehatzak lortu nahi direnean, egokiago da zenbakiak
zatiki moduan jartzea. Horrez gainera, zenbaitetan, zenbaki bera bi
eratara eduki daiteke. Adibidez, 0,9= 1Zenbaki hamartar finituekin lan egiten bada, edo hamartar zehatzak
direlako edo zehaztasun handiagorik nahi ez delako, erraza da
zenbaki hamartarrekin eragiketak egitea. Kalkulagailuekin kenketak,
batuketak, biderkaketak eta zatiketak egin daitezke sistema
hamartarrean. Emaitzen zehaztasuna kalkulagailu motaren araberakoa
da ; kalkulagailu sinpleek 8 edo 10 zifra ematen dituzte. Kalkulagailuek
notazio anglasaxoia erabiltzen dute, eta komaren ordez
puntua erabiltzen dute zifra hamartarrak bereizteko. Zatiketa osoen
emaitzak zatidurak dira bakarrik, eragiketarik egin gabe ez da hondarra
lortzen. Hala ere, nahiz eta kalkulagailua eduki, zatiketa
hamartarraren algoritmoa eskuz kalkulatu behar izaten da askotan ;
horregatik, komenigarria da metodo hori gogora ekartzea zenbait
adibideren bidez. Hurbilpen jarraiekin eta l0eko berredura batetik
bestera dauden bururakoekin eragiketak eskuz egitea metodo erraza
eta segurua da.Zenbaki hamartarrak batzeko komaren lekua parean tokatzen
dela jarri behar dira zenbakiak, banakoak banakoekin, hamarrekoak
hamarrekoekin, etab. Zutabeka egiten da batuketa eta emaitza
azpian idazten da. Batuketa hamar baino handiagoa bada, banakoak
eta hamarrekoak idazten dira, eta burukoa hurrengo zutabera
eramaten da.- Adibidez: 0,45238+2,2645
Kenketa egiteko kontu hartu behar da kenkizuna kentzailea
baino handiagoa izan dadin. Kentzailea kenkizuna baina handiagoa
bada, ordena aldatu eta ondoren, emaitzari zeinua aldatzen zaio.
Zifra hamartarrak zeroekin osatzen dira, zer kendu eta zeri kendu
izan dadin beti. Kenketa zutabeka egiten da eta kentzailearen kopurua
kenkizuna baino handigoa denean aurreko banakoetako bat
hartzen da.- Adibidez: 1,3456-0,09873
Zenbaki hamartarrak zenbaki osoak balira bezala biderkatzen
dira, eta emaitzaren koma bukaeran jartzen da. Emaitzaren zifra
hamartarren kopurua bi biderkagaiek duten zifra hamartarren
kopuruaren batuketa da. Biderkatzailearen zifren biderkadura partzialak
zutabetan jartzen dira, ondoren banako bakoitzari dagozkien
zifrak batu ahal izateko.
Zatiketa egiteko, zatitzaileak parte hamartarrik ez izateko behar
den hamarreko berreduraz biderkatzen dira zatikizuna eta zatitzailea
. Zatiketa partzialak egiten dira, eta koma zatitzailearen lehenengo
zifra hamartarra jaistea tokatzen denean jartzen da.
Zatiketaren emaitza osoa ez bada, hurbilpenak eginez jarrai daiteke
harik eta erabaki den zifra hamartarra lortzen den arte. Hondarra
zatiduraren azken zifraren motakoa izango da.Eskuz egindako eragiketak konprobatzeko, edo berriz egiten dira eragiketak, edo alderantzizko eragiketa egiten da, hau da, kenketaren lekuan batuketa egin, edo biderkaketaren lekuan zatiketa egin.
Biderkaketarako eta zatiketarako froga erraz bat bada, "bederatziaren froga" esaten zaiona. Froga hori ez da erabat segurua izaten, baina oso erabilgarria da :
baldin eta
bada, a zati 9 zatiketaren hondarra bider b zati 9 zatiketaren hondarra egitean c zati 9 zatiketaren hondarra lortu behar da. Hori egitea eta dagokion berdintasuna kongruentziekin jartzea gauza bera dira :
9-z egindako zatiketaren hondarra, 9-ren zatigarritasunaren arabera,
zenbaki baten zifren batuketaren berdina da.9 moduluko kongruentzien arteko berdintasuna egia bada, eragiketa
ziur asko ongi egongo da. Betetzen ez bada, ziur asko gaizki
egongo da.Zatiketarekin gauza bera gertatzen da.
denez gero, 9-z egindako zatiketaren hondarrak, eta zatitzailearen hondarraren eta zatidura gehi hondarraren arteko biderkaketaren emaitzak, berdinak izan behar dute.
Zatikizunaren zifrak batzen dira, eta batuketa horren emaitzak
eta zatitzailea bider zatidura gehi hondarra eragiketaren emaitzak
berdinak izan behar dute.Biderkaketan biderkakizunaren zifrak batzen dira, eta emaitza 9
baino handiagoa bada, emaitzaren zifrak batzen dira harik eta 9 txikiagoa
den zenbakia lortzen den arte. Biderkatzailearekin gauza
bera egiten da. Ondoren bi eragiketa horien emaitzak biderkatzen
dira ; biderkaketa horrek eta emaitzaren batuketak emaitza bera
eman behar dute :
denez gero, posible da ondo egotea. Hala ere, ezin esan daiteke seguru ondo dagoenik, izan ere, metodo honen bidez ezin aurki baitaitezke 9-ren multiplo den zenbaki baten berdinak diren akatsak, ezta koma jartzean egindako akatsak ere.
VIII. Arrazoiak eta proportzioak
A eta B zenbakiak harturik, arrazoia A/B zatiki zenbakia da. Proportzioa bi arrazoiren berdintza da
Era horretara definitzeak, erraz orokortzea dakar. Bi magnitudeen arrazoia, magnitudeak osoak izan, zatikiak izan, edo irrazionalak izan, hau da : lehen magnitudeak adierazten duen zenbakia, banako gisa bigarrena hartuta. Ez dute, gainera, magnitude bera izan behar ; bi magnitude desberdinen proportzionaltasuna defini daiteke :
Kasu horretan konstante irauten duena proportzionaltasun konstante deitua da, hau da lagun bakoitzari ogi laurdena dagokiola.
A, B, C, D kopuruei proportzioaren terminoak esaten zaie, A eta D muturrak dira, eta B eta C erdiak.
Bi arrazoi berdinak dira baldin eta erdien biderkadura muturren biderkaduraren berdina bada :
betetzen bada,
ere betetzen da; baita
ere.Magnitude baten arrazoiak eta beste magnitude batenak konstante irauten badute, magnitudeak zuzenki proportzionalak direla esaten da. Esate baterako, hiruki baten gainaldea eta hirukiaren altura zuzenean proportzionalak dira, baldin eta oinarria finkoa bada. Oihal baten prezioa eta erosten den oihal luzera zuzenean proportzionalak dira. Bi magnitude proportzionalak direnean, proportzioan dauden hiru kopuru ezagutzen badira, hiru horiekin proportzionala den laugarrena aurki daiteke. Horri 3-ko erregela esaten zaio eta horrela adierazten da :
Adibidea : Lau arkatzek 28 pezeta balio dute, zenbat balio dute hamabost arkatzek?
Bi magnitude alderantziz proportzionalak direla esaten da, baldin eta horietako bat bestearen alderantzizkoarekiko proportzionala bada.
Adibidez, bi langilek 8 metro erreten egiten dute 4 egunetan.
Zenbat denbora beharko dute 3 langilek hori bera egiteko? Pentsatzekoa da zenbat eta langile gehiagok lan egin, orduan eta denbora gutxiago beharko dela lan hori egiteko ; hau da, egunak eta langile kopurua alderantziz proportzionalak dira.
hau da 2 egun eta egun baten
Ehunekoak
Ehunekoak proportzioak adierazteko modu berezia dira, proportzio
horietan 100 hartzen da oinarri :
Emaitzak.
% bidez adierazten da. Matematika aplikatuetan erabiltzen da
eta, oro har, zifra hamartarrik gabe, edo batekin bakarrik, ematen
da. Esate baterako %34. Kalkulagailuetan, oro har, SHIFT teklaren
bidez lortzen da ehunekoaBanaketa proportzionalak Osoari zenbat dagokion ezagutzen denean eta zatiei zenbat dagokien jakin nahi denean gertatzen dira banaketa proportzionalen problemak. Lau lagunen artean 20 ardo botila erosten dituzte 2000 pezetan. Lagunetako batek 10 botila hartzen baditu, besteak 5, besteak 3 eta beste batek 2. Zenbat ordaindu beharko du bakoitzak?
Beraz, ordaindu behar dute: 1000, 500, 300 eta 200.
Zeroak ez du alderantzizkorik, 1-en alderantzizkoa 1 da eta 2-ren alderantzizkoa 2.
15. Fermat-en teoremaren arabera
(mod.11). Eragikeak kongruentzietan horretan mantentzen direnez gero,
(mod.11), beraz, sinplifikatuz gero,
(mod.11).
















