Matematika»Geometria
Planoko Eraldaketak
Eraldaketak, planoko puntuen arteko korrespondentziak dira.
Distantzien aldaketak eta irudien forma aldaketak burutzera, edo
burutu gabe uztera, eraman dezaketen planoko puntuen kokapen
aldaketen moduan har daitezke. Antzinatean, geometrialariek, errezeloz
ikusten zituzten, izan ere, geometriako problemak eta gaiak
tratatzeko modu fisikoegia zela baitzirudien. Baina, mekanikako
higiduretara jo gabe defini daitezke eta oso erabilgarria den geometria
ikusteko modu berria eskaintzen dute. Berez, beti erabili izan
dira irudien ezaugarriak aztertzeko eta ikasteko. Euklidesek, bere
garairako, onartu zuen higidura baten ondorengo bat etortzea irudien
arteko berdintasuna frogatzeko eta Elementuak deitu laneko 8.. xioman, zera baieztatu zuen : "8. beren artean bat datozen gauzak,
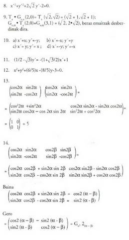
beren artean ere berdinak dira." Joan zen mendeaz geroztik, eraldaketek
leku garrantzitsua hartu dute geometrian. Beste zientzia batzuetan
ere, hala nola fisikan, egoera solidoak edo partikula elementalak
edota kristalografiak, garrantzizko laguntzailea dute
geometriako eraldaketen ikasketa eta azterketa.Planoan eta espazioan buru daitezkeen eraldaketetatik, isometriak
dira garrantzitsuenak. Isometrietan, eraldaketa baten imajina
diren puntuen arteko distantzia jatorrizko puntuen artean dagoen
distantziaren berdina da eta angelua ere, anplitude edo zabaltasun
bereko beste angelu baten moduan eraldatzen da. Isometriak edo
higidurak, bi motatakoak daude : zuzeneko higidurak, irudien
orientazioa ere gordetzen dutenak, hala nola, traslazioa edota biraketa
bezalakoak eta alderantzizko edo aurkako higidurak, hala nola
simetria edota lerradura, irudien norantza aldatzen dutenak.Higiduren edo isometrien ondoren, antzekotasunen multzoa ikusiko
da. Kasu honetan, irudien eitea edo forma mantendu egiten da
eta angeluak edota zuzenen arteko paralelotasunak gorde egiten
dira, baina ez distantziak. Bereziki homoteziak aztertuko dira, irudi
bat forma edo eite bereko beste batean eraldatzen dutenak baina
jatorrizkoa baino handiagoa edo txikiagoa eginez.Hemen ez dira aztertuko zabalkuntza edota murriztapen koefizienteak
hartutako norabidearen arabera aldatzen diren eraldaketak.
Eraldaketa hauekin ateratzen diren irudiak, jatorrizkoen antzekoak
dira, baina norabide batzuetan beste batzuetan baino
luzatuagoak daude. Irudien eitea gordetzen ez duten eraldaketetatik,
alderanzketa aztertuko da, zuzenak zirkunferentzia bihur ditzakeena
eta orientazioa aldatzen duena, baina angeluak gordetzen
dituena. Azken atala proiekzioen azterketari eskainia da, planoko
puntu guztiak lerro batera daramatzan eraldaketa moduan alegia.
I. Eraldaketak.
Planoko eraldaketa, planoko puntuekin beren buruen baitan
egindako aplikazio oro da. Planoa p letraz adierazita, T eraldaketa
zera da :
T eraldaketak alegia,
(
planokoa den P puntu) bakoitzari, beste
puntu bat egoki arazten dio ; honela idazten da :
Eraldaketak aztertzeko, beren artean bereiztaratzen dituzten elementuak
zeintzuk diren ikusiko dugu, aldatu gabe gelditzen diren
puntuak edo irudiak zeintzuk diren, koordenatu sistema batean
dituzten ekuazioak zeintzuk diren eta beren osaketa nolakoa den,hau da, aplikazio bat planoko puntuei behin eta berriz aplikatzearen
ondorioak.Geometriako eraldaketa batean, puntu aldagabe, atzera lehengo
berbera izatera eraldatzen denari deritzo, hau da planoa eraldatzean
aldatzen ez denari. Adibidez, biraketa batean, biraketa zentroa ez da
aldatzen. Eraldaketa motaren arabera, puntu, zuzen, zirkunferentzia
edo beste irudi batzuek ere izan daitezke aldagabe. Kasu batzuetan,
irudi baten aldagabetasuna, bere puntu guztiak aldagabe
izatetik dator, beste batzuetan aldiz, irudiak aldatu gabe irauten du
puntuek bere barnean kokaera aldaketak izan arren.Bi eraldaketa hurrenez hurren egitearen emaitza, egindako bi
eraldaketen konposizio deritzon beste eraldaketa berri bat da. Mota
jakin bateko eraldaketen konposizioak dituen ezaugarriak jakiteak,
errepikatutako aplikazioak sinplifikatzeko, alderantzizko eraldaketarik
ba al den jakiteko, edota eraldaketen ordenak lortutako emaitza
aldatzen duen ala ez jakiteko aukera ematen du.Eraldaketen konposizioa adierazteko modua hau da :
Baldin eta
eta
badira, T eta
eraldaketen konposiziotzat zera hartzen da, alegia, beste
eraldaketa bat, non
den.Hori, honela idazten da :
bete egiten da, baldin eta
eta
badira eta orduan :
da.
Traslazioen eta zentro bera duten biraketa edo homotezien konposizioek,
multzo trukakorren egitura dute. Zuzeneko higiduren
multzoa, edota higidura guztien multzoa edo antzekotasun guztiena
ere taldeak dira, baina ez-trukakorrak dira. Beste kasu batzuetan,
simetrien kasuan adibidez, konposizioa ez da itxia, hau da, bi simetrien
konposizio edo biderkadura ez da simetria. Irudi bat aldatu
gabe uzten duten higiduren konposizioa, karratu bat adibidez, maiz
finitua edo amaieraduna den taldea da. Karratuarentzat adibidez,
zortzi eraldaketa daude aldatu gabe uzten dutenak.Eraldaketa multzo baten konposizioa aztertzean, taldea osatzen
dutela esaten da ondoko baldintza hauek betetzen dituztela adierazteko
:- Eragiketa itxia izatea : hau da, mota bereko bi eraldaketa egiten badira, bi traslazio adibidez, mota bereko beste eraldaketa bat lortzen da, beste traslazio bat alegia. Bestela esanda, T eta
ezaugarri hori duen multzo bateko bi eraldaketa badira, beren konposizioa,
ere, multzo horretakoa da.Dena delako eraldaketen konposizioak, taldeen tasun edo ezaugarriak
ditu :a) Elkarkortasuna :
b) Unitate edo elementu neutro bat badago : I identitatea,
egiten duena.c) T elementu bakoitzak, bere
alderantzizkoa du eta ondorengoa betetzen du :
Zenbaki oso, razional erreal edo konplexuen multzo askoren baturak, talde egitura du eta beste multzo batzuetan definitutako eragiketek ere hala dute. Zenbakien baturak trukakorrak dira, batugaien ordenak ez du aldatzen batura, geometriako eraldaketetan badaude hainbat kasu konposizioa trukakorra ez dutenak, hots,
eta
I I. Traslazioak.
Definizioa:
bektorearen traslazioa, planoko eraldaketa da eta edozein P punturi,
puntua egoki arazten zaio,
bektorea
bektorearen ekipolentea dela.
Traslazioak, bera definitzen duten
bektorearen arabera bereizten dira. Horregatik, bektore traslazioa
bidez adieraziko da.
AB zuzenkiaren zuzenki lekualdatua, beste
zuzenki bat da, paralelogramoaren parez pareko aldea izateagatik lehenaren luzera berdinekoa dena, izan ere, beste bi aldeak paraleloak eta a luzerakoak baitira.
BAC angeluaren angelu lekualdatua, beste
angelu bat da, aldeak paraleloak eta norantza berekoak dituena, beraz, angelu bat eta bere angelu lekualdatua berdinak dira.
Planoko puntu guztiei, traslazio baten bitartez, beste puntu desberdinen bat dagokie, bektore lekualdatzailea den bektorea
bektore hutsala ez bada behintzat. Kasu horretan, hutsala ez den bektoredun traslazioak, ez du puntu aldagaberik.Edozein traslaziok ere, irudi aldagabeak ditu. Traslazioa definitzen duen bektorearen paraleloak diren lerro guztiak aldagabeak dira. Errepikatzen diren marrazkidun frisoek, traslazio bektorea dute aldagabetasuna dutenarekiko. Saretek, lauzek, paper pintatuek edota bestelako pareta estaldura batzuek, bi traslazioekiko aldagabetasunaz jokatu ohi dute beren m arrazkian. b i kasuetan ere, irudia traslazioarekiko aldagabea bada,
bektorea ere hala da
bektorearekiko eta orokorki
Traslazioaren ekuazioa.
Traslazioa egiten den planoan
erreferentzi sistema bat baldin badago, hasierako puntuaren eta eraldaketa ondorengo azkenekoaren arteko korrespondentzia, ekuazioen bitartez adieraz daiteke.Traslazio definiziotik ondorioztatzen da, alegia, puntu baten kokaerabektorearen eta bere eraldatuaren arteko erlazioa hau dela :
Erlazio hori, emandako oinarriko koordenatuak hartuta eta
bektoreak dituen
koordenatuak erabiliz, honako ekuazio hauen bidez adieraz daiteke :
non, P(x,y) jatorrizko puntua den eta
puntu lekualdatua
Bektore batuketa moduan adierazita :
Oinarri batean, biraketa, simetria edo homotezien konposizioak,
matrize biderkaketa bihurtzen dira. Horregatik, traslazioen konposiziorako
oso erabilgarria ez den arren, aurreko berdintza, matrize
moduan ere ematen da :
Traslazioen konposizioa.
P puntua
bektoredun traslazio batez eraldatua baldin bada eta emaitza ostera
bektoredun eraldaketa berri batez berriro eraldatua, emaitza,
bektoredun traslazio bidez eraldatu izan balitz bezalakoa izango da :
Traslazioak korrespondentzia dute bektoreekin eta traslazioen
konposizioak bektoreen baturarekin. Beraz, eraldaketa konposizio
bidezko eragiketa eginez burututako planoko traslazio multzoak,
bektore batuketako eragiketa bidez planoko bektore askeen multzoak
dituen ezaugarri berberak ditu :Elkarkortasuna :
Trukakortasuna :
Elementu neutroa ere badute, bektore traslazioko
bektorea,
Eta traslazio bakoitzak bere aurkakoa ere badu, aurkako bektoreari dagokion traslazioa noski.
bektorearen aurkako
da, izan ere :
- Ariketak
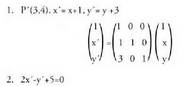
1.- Kalkula itzazu P(2,1) puntuaren eraldatua denaren koordenatuak
traslazio bektoreak eragindako traslazioaren ondoren. Adieraz itzazu traslazio horren ekuazio cartesiarrak eta matrize ekuazioak.2.- Kalkula ezazu 2x - y + 4 = 0 zuzenak aurreko eraldaketa
dela bide izango duen zuzen eraldatuaren ekuazioa.3.- Kalkula ezazu
zirkunferentziak aurreko eraldaketa dela bide izango duen zirkunferentzia eraldatuaren ekuazioa :a) Traslazio ekuazioak erabiliz.b) Erradioaren aldagabetasuna eta zentroaren eraldatua
erabiliz.4.- Kalkula ezazu
I I I. Biraketak.
Biraketa zentro deituriko O puntu bat eta a zenbaki errealeko biraketa angelu bat emanik, O zentrodun eta
biraketa angeludun biraketa esaten zaio planoko P puntu bakoitzari beste
puntu eraldatu bat egoki arazten dion eraldaketari, baina ondoko baldintza hauek betez beti ere :a)
angeluak
balio du.
angelua,
tartean hartuta ulertzen da erradianetan ematen bada eta [0, 360°) tartean hartuta gradutan ematen bada.
O zentrodun eta
angeludun biraketak P puntua
- era daramala adierazteko, honela idazten da :
.
Biraketak, biraketa zentroaren edota biratutako angeluaren arabera bereizten dira. Horregatik idazten dira bi datu horiek azpindize moduan. Halere, kasu askotan, biraketak, ezaguntzat jotzen den puntu baten inguruan, koordenatu jatorriaren inguruan adibidez, ematen dira eta O azpindizea kendu egiten da :
AB zuzenkia biratzean, luzera bereko beste
zuzenki bat lortzen da. Hain zuzen ere, AOB eta
triangeluak berdinak baitira
eta
aldeak eta beren arteko
angeluak berdinak izateagatik, ezen, hiru berdintzak ere biraketaren definiziotik ondorioztatzen baitira. Triangeluen berdintasunetik ateratzen da
OAC eta
triangeluekin arrazoiketa berbera erabiliz gero, OAC angelua =
angelua dela ateratzen da. OAB eta
triangeluen berdintasunetik berriz,
ateratzen da. Bi berdintzen kenketa eginda, edozein angelurentzat ere, BAC =
dela ateratzen da.
Bestalde, biraketa norantza ez da aldatzen irudi eraldatuetan. Jatorrizko irudian biraketa norantza positiboa BAC baldin bada, eraldatuan ere positiboa izango da
norantza.
Laburbilduz, biraketa, zuzeneko isometria da, hau da, distantziak,
angeluak eta biraketa norantza gordetzen dituen higidura alegia
.Biraketa zentroa da aldatzen ez den puntu bakarra zero ez den
angelua duen edozein biraketarentzako. 00-ko angelua duen biraketan,
puntu guztiak errepikatu egiten dira eta identitatea berbera da.
Zentroa, biraketa zentrotzat duten zirkunferentziak, aldatzen ez
diren irudi dira, nahiz eta beren puntuak lekuz edo kokaeraz aldatu.. alde dituzten poligono erregularrak ere aldagabeak dira irudiaren
zentroan biraketa zentroa eta 3600/n biraketa angelua duten biraketetan
. Adibidez, karratua, aldagabea da 90°ko biraketan.
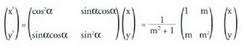
Biraketaren ekuazioak:
Planoan
erreferentzi sistema definitu baldin bada, lehendabizi, biraketa zentroa koordenatu jatorria dela suposatzen da.a angeludun biraketa batean hasierako P(x,y) puntuaren koordenatuen eta
puntu eraldatuaren koordenatuen arteko korrespondentzia aurkitzeko, era honetara jokatzen da :
Hasierako puntuarentzat, ondorengoa betetzen da :
Azken puntuak,
angelua eratzen du abzisa ardatzarekin, izan ere, P-tik abiatuta jatorri puntuaren inguruan
angelua biratuz lortzen baita. Beraz, ondorengoa betetzen du :
Trigonometriaz badakigu :
Ordezkatuta, hau lortzen da :
Biraketaren definizioa dela bide,
denez,
Era berean kalkulatzen da :
Beraz, koordenatuen jatorri puntua zentrotzat eta a biraketa
angelutzat duen biraketa egitean, puntu eraldatuak jatorrizko puntuaren
koordenatuen arabera izango dituen koordenatuak honako
hauek izango dira:
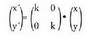
Berdintza hauek era honetan idazten dira matrize moduan :
Hau da,
; A ondorengo determinantea duen matrizea dela : det
. Biraketa matrizearen determinanteak 1 balio du, zuzeneko higidura guztietan balio duen bezalaxe.
da, non I, 2x2 mailako unitate-matrizea den eta
matrize antisimetrikoa, diagonal bigarrenean - 1 eta 1 dituela.Zentroa jatorri puntua ez den kasuan ere, aurreko formulak baliozkoak dira, baina lehendabizi ardatz traslazioa egin behar da jatorri puntua eta biraketa zentroa bat etor daitezen. Beraz, aurreko formulekin, ardatz lekualdatuetan biratutako puntuaren koordenatuak kalkulatzen dira eta azkenik, traslazioa desegin egiten da biratutako puntuaren koordenatuak jatorrizko koordenatuetan izateko.
Ardatz traslazioa egiteko, kontuan hartu behar da,
bektoredun ardatz traslazioak, koordenatuetan puntuak
Biraketa konposizioa.
Zentro beraren inguruan egindako bi biraketek, zentro bera eta
biraketa angelua angeluen batura duen biraketa bihurtzen da :
Zentroa desberdina baldin bada, bi biraketen konposizioak
angeludun beste biraketa bat da oraindik ere,
eta
den kasuan salbu, kasu horretan emaitza traslazioa da eta. Orokorki, biraketen konposizioa aztertzeko, lehendabizi simetriak aztertzea komeni da.Zentroa bi biraketetan berbera baldin bada, aurreko emaitza frogatu
egin daiteke zentroa koordenatuen jatorri puntua dela suposatuz
eta a eta b angeluekin egindako biraketetako formulak bi aldiz
aplikatuz.Hau suposatzen da :
Frogatu nahi dena hau da :
Hain zuzen ere,
koordenatuetan jarrita :
Gauza bera
rentzat:
eta
- arentzat lortutakoa
- aren adierazpenean ordezkatuz :
Trigonometrian gauza jakina da :
Aurreko berdintzetan ordezkatuta :
Era berean ateratzen da :
Hauek dira beraz,
biraketari dagozkion formulak.Konposizio lege honekin, zentro finko baten inguruan egindako biraketek, multzo abeldar edo trukakorraren egitura dute. Biraketa unitatea, 0 angeluaren biraketa alegia,
da eta biraketa baten alderantzizkoa edo aurkakoa berriz, zentro berbera eta aurkako angelua duen biraketa da :
biraketaren aurkakoa,
da.Biraketa angeluen artean, honako erlazio hau ere badago :
, hau da, bira oso bat norantza batean ala bestean biratzeak, ez du emaitzarik aldarazten. Aurkako biraketarako erosoagoa gertatzen da
erabiltzea, baina biraketa angeluarentzat onartutako balioekiko zorrotzak izatekotan, bere balioa
da. Era berean, bi biraketen konposizioak
baino biraketa angelu handiagoa ematen badu,
kentzen zaio.Zentro berberarekin egindako biraketen multzoa trukakorra da,
hots :
- Ariketak
G.- Kalkulatu
biraketak emango duen P(1,2) puntuaren eraldatua.7.- Kalkulatu
biraketak emango duen x + 2y = 38.- Kalkulatu
biraketak emango duen
zirkunferentziaren eraldatua.9.- Egiazta ezazu, traslazioen bidezko biraketen biderkadura ez dela trukakorra,
eta
, P(2,0) puntuarentzat erabiltzean
eta
I V. Simetriak
Planoan bi simetria mota daude. Simetria zentrala, 180o-ko biraketaren edota -1 arrazoia duen homoteziaren berdina dena, eta ardatz simetria edo zuzen (ardatz) batekikoa, orientaziorik gordetzen ez duen alderantzizko higidura da azken hau.
Zentro batekiko simetria.
Planoko O puntua emanik, zentro batekiko simetria, planoko P puntu bakoitzari beste
bat egoki arazten diona da eta ondokoak betez egoki arazi ere :- P, O eta
lerrokatuta egonez,-
, izanez,- P eta
O zentroarekiko alde banatan egonez.Eraldaketa honetan, ezaugarri den elementua zentroa da.Zentroa da aldatzen ez den puntu bakarra. Zentrotik igarotzen
diren zuzenak eta zentroa simetria zentroan duten zirkunferentziak
aldagabeak dira. Irudi bat mota honetako simetria batekiko aldagabea
baldin bada, simetria zentroa duela esaten da. Adibidez, karratuak
simetria zentroa du eta aldiz triangelu aldekideak ez du.Eraldaketa honek, gorde egiten ditu luzerak eta angeluak eta ABC triangeluari, orientazio bera duen beste
triangelu bat dagokio. Hau guztia, zentro batekiko simetria, zentro horrekiko 180o-ko biraketaren gauza berdina izatetik ondorioztatzen da.
Simetria zentroa koordenatuen jatorri puntua baldin bada, ekuazio
hauek ditu :
Zuzen batekiko simetria.
Planoko P puntu bakoitzari beste
puntu bat egoki arazi eta r zuzena
zuzenkiaren erdibitzailea izan arazten dion eraldaketari, r zuzenarekiko (ardatzarekiko) simetria deritzo.Irudi simetrikoak beren artean bereizi arazten dituen elementua, r zuzena da, horregatik, r zuzenarekiko simetria,
idatziz adieraziko dugu.
Simetriak distantziak eta angeluak gorde egiten ditu, baina orientazioa alderanztu egiten du. Hain zuzen ere, AB zuzenkiaren simetrikoa den
zuzenkiak, luzera bera du.
Hori frogatzeko, nahikoa da A eta
alde batetik eta B eta
bestetik elkartzea.
zuzenkia, r zuzenari buruz zuta da eta Q bere erdiko puntua da, simetriaren definizioz. Arrazoi horretxengatik,
zuta da r-ri buruz eta P bere erdiko puntua da. A-tik eta
- etik
zuzenkiari perpendikularrak marratzen bazaizkio, AMB eta
triangeluak ateratzen dira, eta biak berdinak dira, izan ere,
angelua =
angelua da, AM aldea eta
aldea berdinak baitira, paralelogramo bateko parez pareko aldeak izateagatik. MB eta
aldeak berriz, bi zuzenki berdinen arteko diferentzia izateagatik dira berdinak.
da simetrikoak direlako eta
, bi paralelogramoetan AQ eta
aldeen parez parekoak direlako.
Azkenik,
da simetrikoak direlako.
eta
angeluak ere berdinak dira eta antzeko arrazoiketa erabiliz froga daiteke, alegia,
bezalako edozein angelu eta 15. irudiko bere simetrikoa den
ere berdinak direla. Baina AB-tik BC-ra joateko biraketa angelua, biraketa positiboarena da eta
joatekoa berriz negatiboa, hau da, orientazioa aldatu egiten dela irudi simetrikoan.
Simetria baten ekuazioak
Geometria analitikoan,
simetria ardatzaren ekuazioa emanda eta alde batetik
zuzenaren norabide bektorea dela eta bestetik A zuzen horretako puntu bat dela jakinda, planoko P puntu baten simetrikoa aurkitzeko, P-tik igarotzen den eta r zuzenari buruz zuta den zuzena aurkitzen da. Perpendikular horrek ardatza ebakitzen duen M puntua aurkitzen da. Azkenik, P puntuaren simetrikoa den
aurkitzen da,
zuzenkiaren erdiko puntua izan behar duela baliatuz.
Prozedura horrek ez du balio hasierako puntuaren koordenatuak
jakinik puntu simetrikoaren koordenatuak emateko formula orokorra
lortzeko, nahiz eta puntu simetrikoa aurkitzeko kasu guztietan
balio duen prozedura soila izan.Hasierako puntuen eta simetrikoen koordenatuen artean dagoen
erlazioa aurkitzeko, simetria ardatza jatorri puntutik igarotzen
zaion erreferentzi sistema ortonormal bat hartzen da, edozein a
inklinazioarekin. Norabide bektoreak, ardatzaren u banako modulua
duenak, balio hau du :
P planoko puntu bat bada eta
haren simetrikoa,
bektore banakoa denez, hau dugu:
izan ere,
zuzenkia simetria ardatzari buruz zuta baita eta
eta
bektoreek modulu berbera baitute.Aurreko bektoreen batura, bi berdintzetan deskonposatzen da,
koordenatu bakoitzarentzat banatan hain zuzen ere :
Lehenengoan
askatu eta eragiketak eginda :
Baina trigonometrian gauza jakina da :
dela eta
Orduan, hau gelditzen da :
.
- aren balioan ere antzeko eraldaketa batzuek eginda, hauek ateratzen dira :
Matrize bitartez adierazita :
Matrizeak A-ren det = -1 baldintza betetzen du eta simetrikoa da, hau da, bere
matrize irauliaren berdina
Simetrien konposizioa.
Simetria inboluzioa da. Puntu baten simetrikoaren simetrikoa
jatorrizko puntua bera da, hots, simetriaren alderantzizkoa, elementu
berbera da.
- Ariketak
10.- Aurki ezazu :a) OX ardatzaren ardatz simetrikoarena ekuazioab) OY ardatzaren ardatz simetrikoarena ekuazioac) lehen koadranteko erdikariaren ardatz simetrikoarena?d) bigarren koadranteko erdikariaren ardatz simetrikoarena?.Aplikatu P(2,1) puntuari.11.- Kalkulatu y = 2x + 1 zuzenaren eraldatua
zuzenaren ardatz simetriarekiko.12.- Kalkulatu
Bilaua hiru aldagaien arabera eta biderik laburrena.
Traslazioak eta simetriak erabiliz, lehen begiradan oso konplexuak diren
arazoak edo ariketak, oso soil eta erraz bihur daitezke. Adibidez, ibilbiderik
laburrenen arazo batzuek.Mota horretako ariketarik soilena, A puntutik B puntura gutxieneko
luzera duen ibilbidea zein den aurkitzea da. Erantzuna, bistan denez, zera
da, AB zuzenkia dela distantziarik txikiena.
Halere ordea, baldintzaren bat erantsiz gero, arazoa bihurruago hasten
da bihurtzen. Bedi adibidez, A herritik B herrira lursail lau eta oztoporik
gabean errepidea marratzeko ariketa, baina tartean 1 zabalera duen ibaia
dela. Ibaia igarotzeko zubia egin beharra dago. Kostua, korrontearekiko
erresistentziarik handiena eta iraupena kontuan hartuta, zubia, paralelotzat
hartzen diren ibaiertzei buruz zuta izan behar duela suposatuko da.
Zein da orain ibilbiderik laburrena?Ibaiertzei buruz zuta den zubiaren 1 luzera, ezinbestekoa da, beraz, bidearen gainerako ibilbide txikiena aurkitzea da kontua. Hori egiteko, B herriaren traslazioa egiten da planora, ibaiertzari buruz zut 1 luzeran, eta horrela
puntura igarotzen da. Ibaia kontuan hartu gabe,
doana da ibilbide laburrena. Ibilbide hori ordea, ibaiertzera iritsi arte bakarrik da benetakoa. Ibaiertzera iristean, ibaia perpendikular gurutzatu behar da eta beste ibaiertzean zubia iristen den puntutik B-rainoko zuzena marratu behar da. Lurreko ibilbidea
da, horixe da eta lurreko ibilbide txikiena.
Ibilbideak bi ibai gurutzatu behar baldin baditu, A herria ibaiari buruz zut aldatu behar da eta beste ibaiari buruz zut B herria.
eta
puntuak zuzen batez lotzen dira. Zuzenki hori da bi ibaien arteko ibilbiderik laburrena. Ibaietara iristean, ibaiertzei buruz zutak diren zubietan zehar igarotzen da bidea eta ibaiak gurutzatuta iristen den puntuetatik A eta B herriekin elkartzeko zuzenak marrazten dira.
Ariketa honen beste aldagai bat zera da, ibilbideak zuzen bat ukitu
behar duena. Bedi adibidez hegazkin bat A puntuan aireportua duena eta
B puntuan sutea itzali behar du. B-ra joan aurretik ordea, ura hartu behar
du r ibaian. Non hartu behar du ura ibilbiderik laburrena egiteko?
Ibaiko ura ukitzea nahikoa badu, A-tik B-ra ura ukituz lortzen den biderik laburrena,
aurkituz ateratzen da,
hori, zuzentzat hartzen den ibaiarekiko B puntuaren simetrikoa delarik. A eta
elkartuta, zuzen horrek N puntuan ebakitzen du ibaia (r zuzena). Ibilbiderik laburrena, ANB da, hain zuzen ere
- ren luzera berdinekoa baita NB-k eta
- ak duten simetria bidezko berdintasunarengatik. Hain zuzen ere, beste edozein puntuk, M-k adibidez,
emango luke eta bere balioa beti ere
triangeluaren bi aldeen batura izango litzateke, beti
hirugarren aldea baino handiago dena.Aurreko ariketan hegazkinak ibaian zehar 1 luzerako distantzia behar baldin badu ur-gordailuak betetzeko, B-ren simetrikoa den
puntua aurkitzen da eta
puntu hori 1 luzera aldatzen da A-rantz, eta horrela B "aurkitzen. A eta B" elkartuz, ibairainoko AP ibilbidea lortzen da. Gero, ibaian zehar 1 distantzia egingo du, PQ hain zuzen ere. Azkenik, Q-tik zuzenzuzen B-ra joango da.
Simetriez baliatuz ebazten den beste ariketa bat, bilar jokokoa da, alegia,
ea non jo behar duen bolak mahai ertza gero beste bola bat jotzeko.
Hori, bolari gurpil bereizirik eman gabe eginda noski. Ebazpena zera da,
alegia, jo nahi den bolak mahai ertzaz bestaldean izango lukeen simetrikorantz
apuntatu behar dela.
Bi ertzetan jo nahi baldin bada, bi simetria joko egin behar dira jo nahi
diren ertzak simetria ardaztzat hartuta.
Hiru ertzetan jo nahi bada berriz, hiru simetria joko hartu behar dira
kontuan. Beti ere, ertzen ordena gordez noski.
V Higiduren multzoa.
Luzerak eta angeluak gordez egindako eraldaketen konposizioak, beste isometria bat ematen du. Konposizio horiek aztertzeko, bi simetria, biraketa, traslazioa, bi biraketa eta azkenik biraketa eta traslazioa dituen simetria erabiltzearen ondorioak aztertuko ditugu.
Bi simetriazko konposizioa :
a) Kasurik soilena lehen ikusia da, hain zuzen ere, bi simetriek ardatz berbera dutenekoa. Kasu horretan,
da eta I-k identitatea adierazten du.b ) Konposatzen diren bi simetrien ardatzak paraleloak badira,
, orduan, konposizioaren emaitza, traslazioa da :
non
bektorea, r-tik
- erako distantzia modulutzat duena den, norabidea berriz r-tik
- erako lerroaren perpendikularra eta norantza r-tik
- erakoa.
Adibide baten bidez ikusita :
P puntua, r ardatzaren simetriaz,
bihurtzen da eta
ardatzaren simetriaz
eta
puntuak lerrokatuta daude eta gainera,
da eta
, beraz :
Traslazioaren norantza, A-tik, lehenengo simetria ardatzarekin duen ebakiduratik,
- erakoa, bigarren simetria ardatzarekin duen ebakidurarakoa da. Hortik zera ondoriozta daiteke, alegia, simetrien konposizioa ez dela trukakorra, izan ere, S r S , balitz, bektorearen norantza
- etik A-rakoa izango bailitzateke, hau da,
Ez da oso zaila egiaztatzea, alegia, P puntuaren beste jatorrizko
kokaera batzuentzat, emaitza berbera dela.Ardatz paraleloen bi simetria,
bektorearen traslazioaren baliokideak dira, non
bi ardatzei buruz zuta den bektorea den, modulutzat beren arteko distantzia duena eta norantza lehenengotik bigarrenerakoa.c) r eta
simetria ardatzek a angelua eratuz elkar ebakitzen badute, orduan
eta
. simetrien konposizioa,
angeludun biraketa da, zentroa simetriak eratzen dituzten bi zuzenen ebaki puntua delarik, eta biraketa norantza r lehen ardatzetik
bigarren ardatzera doana.
Hain zuzen ere, P puntua, S r simetriaren bidez
izatera pasatzen bada, POA eta
triangeluak berdinak direla egiaztatzen da, izan ere, A angeluzuzena baita, OA alde komuna eta PA eta
aldeak berdinak simetrikoak direlako. Beraz,
Bigarren simetriarentzat ere antzeko arrazoiketa erabiliz,
eta
angeluak berdinak dira. Beraz, hau betetzen da :
angelua, bi simetrien ardatzek elkarren artean eratzen duten
angelua da.Biraketa norantza, r-tik
Biraketa eta traslaziozko edota traslazio eta biraketazko konposizioa
Traslazioak eta biraketak bi simetrien biderkadura bihurtu eta deskonposatzeak, erraztu egiten du konposizio horien emaitzen lorpena.a) Lehenik biraketa eta gero traslazioa :
- ren emaitza jakin nahi bada, bi mugimenduak simetrien biderkaduran deskon posatzen dira. Hau lortzen da :
elkar ebakitzen duten r eta
simetria ardatzek eratzen duten angelua izanik eta b
- etik t-ra perpendikular daraman bektorea.
Ondoko konposizioa kalkulatzeko :
hartzen da, traslazioko
bektoreari buruz zuta dela eta biraketa zentro den O puntutik igarotzen dela.
zuzena marrazten da,
- etik r-rako biraketa
- koa izanez eta t zuzena,
- etik t-ra perpendikular daraman bektorea
- koa izanez. Orduan, hau betetzen da :
Baina
da, beraz,
Orduan, honako hau gelditzen da :
Hau da,
angeludun beste biraketa bat da, t eta
paraleloak direlako eta
- aren eta r-ren arteko angelua, t zuzenaren arteko berbera dena alegia,
delako : Biraketa zentroa
puntua izango da, t eta
- aren ebaki puntua hain zuzen ere.b) Lehenik traslazioa eta gero biraketa. Konposizioaren emaitza lortzeko modua antzekoa da.
bektoredun traslazioa eta O zentrodun a angeluko biraketa baditugu, simetria biderkaduratan deskonposatzen dira bi eraldaketak, baina traslazioaren bigarren simetria biraketaren lehenengoarekin bat etorraraziz eta beren ondorioak hutsal bihurturik identitatea emanaraziz.
Kasu honetan, aurrekoan bezalaxe :
Emaitza,
zentro eta
angelua duen biraketa da. Baina biraketak desberdinak dira, izan ere,
eta
Zentro desberdineko bi biraketazko konposizioa.
Bi biraketek zentro berbera baldin badute, konposizioa beste biraketa bat da, angelua angeluen batura duena eta eta zentroa beste biraketekin komuna duena. Bi zentroak desberdinak badira, emaitzaez da hain begibistakoa. Emaitza zein den ikusteko, aurreko kasuan bezalaxe, simetrietan deskonposatzen dira.
eta
biraketak baldin baditugu, bi biraketak, bi simetrietan deskonposa daitezke.
biraketarentzat, bi ardatzak, O-n gurutzatu eta elkarren artean
angelua eratu behar duten bi zuzen dira.
biraketarentzat, bi ardatzek
- etik pasa eta bien artean
angelua eratu behar dute. Konposizioa ondorengoa bada :
O-tik eta
- etik igarotzen den zuzena hartzen da eta lehen biraketako bigarren simetriaren nahiz bigarren biraketako lehen simetriaren ardatz moduan jartzen. Hau da, bi biraketak definitzen dituzten simetriak hartzen dira ondoko baldintza hau betez :
Simetria hori desagertu egingo da, izan ere, bere buruarekin konbinatzean, identitatea ematen baitu. Orduan, lehenengo biraketari dagokion lehen simetria eta azkeneko biraketari dagokion bigarren simetria geldituko dira. Bi zuzen horiek
ebakitzen dute elkar eta eratzen duten angeluak
balio du,
triangeluko
erpineko kanpoangelua delako eta horren ondorioz beste bi barneangeluen
eta
batura balio duelako.
Beraz, bi biraketa horien konposizioa, beste biraketa bat izango da,
simetrien ebaki puntua zentrotzat duena eta
angeluduna.
Simetriaren konposizioa traslazioz edo biraketaz.
Traslazioz edo biraketaz egindako simetriaren kasuan, azken irudiak,
hasierakoaren aurkako orientazioa izan behar du. Simetria
berriren bat ere izan daiteke, baina orokorki, alderantzizko higidura
berria izan ohi da, lerradura. Lerradura, simetria baten eta simetria
ardatzarekiko paraleloa den traslazio baten konposizioa da :
Eraldaketa hau ezin daiteke simetria bat izan, izan ere, eraldaketaren irudia lekualdatuta baitago. A eta
- ren erdibitzailea, B eta
- aren edo C eta
Frisoak eta mosaikoak.
Frisoak
Frisoa edo zerrenda modulua d eta norabidea frisoarena bera dituen
bektore baten arabera lekualdatuz doan marrazki bat da. Marrazkia printzipioz,
bi norantzetan errepikatzen da mugagabe, baina izatez frisoa kokatuta
dagoen lekuak berak mugatu ohi du haren luzera.Frisoak oso maiz azaltzen dira arkitekturan eta baita barne apaindura,
paper pintatu, alikatatu edo oihaletan ere.Horrela egiten diren marrazkiak, sortzen dituen bektorearen luzeraren
eta norabidearen araberakoak dira. Errepikatzen den oinarrizko marrazkia
berriz, marrazki erraz eta soilago batean oinarrituta egin ohi da. Frisoak
oinarrizko irudia lortzeko elementu sortzaileari egiten zaizkion eraldaketen
arabera sailkatzen dira :- Traslazio frisoak, oinarrizko marrazkia bakarrik dauka lekualdatua.- Simetria horizontala duen frisoak, irudi soil batez eta bere simetria
horizontalaren araberako irudi simetrikoaz osatua du oinarrizko marrazkia,
hots, traslazio bektorearekiko paraleloan.- Traslazioak eta simetria bertikala dituen frisoak, elementu sortzaile
bati simetria bertikala aplikatuta lortutako oinarrizko irudia du.- Lerraduradun traslazio frisoak, marrazki soila den oinarrizko irudia
eta simetria horizontal baten eta traslazio baten emaitza ditu, hau da, bere
lerradurarena hain zuzen ere.- Traslazioak eta simetria zentrala dituen frisoa berriz, oinarrizko irudia
marrazki sortzailez eratua izan eta 1800 biratzean berarengandik lortzen
dena da.- Biraketa eta lerradurak dituen traslazio frisoa. Irudi elementalari simetria
bertikala aplikatzen zaio eta emaitzari lerradura, edota 180°-ko biraketa,
kasu honetan gauza bera da eta.
- Friso osoa berriz marrazki elementaletik lortzen da simetria horizontal
bat eta simetria bertikal bat edo biraketa bat eta simetria horizontal bat
aplikatuz.
Mosaikoak
Irudi batean oinarritu eta plano osoa bete arte errepikatuz egiten dira.
Mosaiko batek, ongi egina izango bada, ez du hutsune librerik utzi behar
ez eta irudi bat beste baten gainean jarrita eduki ere. Oinarrizko irudia,
errepikatuz mosaikoa sortzen duena, poligono erregularra izan daiteke ala
ez. Halaber, hutsunerik utzi gabe eta zatiak bata bestearen gainean jarri
gabe perimetroa aldatu zaion poligono erregularra ere izan daiteke.Mosaiko erregularrak, oinarrizko irudi gisa poligono erregularra dutenak
dira. Hiru poligono bakarrik izan daitezke mosaikoaren oinarri, trianelu
aldekidea, karratua eta hexagono erre g ularra. Hain zuzen ere, erpin
batean elkartzen diren poligonoen angeluek, 360°-ko batura eman behar
dute inolako hutsunerik eta gainjartzerik izan ez dadin. Hori, sei triangelu
aldekiderekin, 6x60° = 360°, lau karraturekin 4x90° = 360°, edo hiru
hexagonorekin, 3x1200 = 360° lortzen da.
Baina pentagonoa adibidez, ezin daiteke izan mosaiko baten oinarrizko
irudi, izan ere barne-angelua 108° baita eta 3x108° = 324° da eta 4x108°
= 432°. Hiru pentagonorekin ez da betetzen erpina eta laurekin berriz pasa
egiten da edo gainjarri egiten dira.Baldosa pentagonalek ez dute betetzen planoa osorik eta zehatz.
Poligono erregular horietan, mosaikoaren oinarrizko irudia lortzeko,
90° eta 180°-ko biraketak konbina daitezke, simetriekin eta ertzetako
irudi aldaketekin, horrela, bi norabidetako traslazio bidez baino erakargarriagoak
diren oinarrizko irudiak lortzeko. Planoa bete arte errepikatzen
da oinarrizko irudia.
Mosaiko erdierregularrakMosaiko erdierregularrak, ondorengo baldintzak betetzen dituzten bi
poligono erregularrez eratuta daude :Erpin guztietan, poligono berberak eta ordena berean daude.
Poligono erregular guztiek alde berdina dute.
Mosaiko erdierregularretan, triangelu aldekideak, karratuak,hexagonoak,
oktogonoak edo dodekagonoak izan daitezke. Erpin bakoitzeko, 360°
izan behar du angeluen baturak, poligono erregularretan bezala, eta
horrek, 8 konbinazio baizik ez ditu uzten posible.Mosaiko erregularretan bezala, alde, irudi eta koloreekin era askotara
joka daiteke, era askotako mosaiko ugari lortzeko.Mosaikoak batez ere arabiar kulturan loratu dira, izan ere, kultura
horretan ez baita zilegi erlijio eraikinetan giza irudia irudikatzea. Arabiar
mosaikoen artean, sonatuak dira Nazari garaiko Granadakoak eta horien
artean bereziki Alhambrakoak. Alhambrako mosaikoen hiru irudi petu,
petalo, hezur eta paper txori deituak dira, irudi karratu edo triangeluarretatik
lortuak.
Irudi bat aldatzen ez duten eraldaketak.
Irudi lau erregularrenak aldagabeak dira, baldin eta eraldaketa geometriko
batzuek egiten bazaizkie. Adibidez, zirkunferentzia bat ez da aldatzen
diametro batekiko irudi simetrikoa egiten bazaio edota bere zentroaren
inguruan edozein biraketa egiten bazaio. Kasu honetan, zirkunferentzia
bat aldatzen ez uzten duten eraldaketen kopurua, infinitua da. Poligonoa
baldin bada berriz, eraldaketak finituak eta mugatuak dira. Adibidez,
triangelu aldekidea, honako hauek bihurtzen dute aldagabe :Hiru ardatz simetriek, aldeen hiru erdibitzaileek.Triangeluaren zentroa zentrotzat duten hiru biraketek : 0°, 120° eta
240°-koek alegia.Hala ere ordea, ez du simetria zentrorik.Karratua aldagabea da honako kasu hauetan :- Lau ardatzekiko simetrien kasuetan: bi diagonalen kasuan eta aldeen
bi erdibitzaileenean.- Karratuaren zentroan zentro duten lau biraketetan : 0°, 90°, 180° eta
270°-ko angeludunetan.
180°-ko biraketarekin simetrikoa denez, karratuaren zentroa, bere
simetrien zentro da. Eta horrela jarrai daiteke beste poligono batzuekin
ere.Irudi bat aldatzen ez duten bi eraldaketa konposatzen badira, aldagabe
uzten duen beste eraldaketa bat lortzen da. Bestela esanda, eraldaketen
konposizioa, eragiketa itxia da irudi bat aldagabe uzten duten eraldaketen
multzoarentzat. Bestalde, identitateak edozein irudi uzten du aldagabe eta
higidura batek aldagabe uzten badu, bere alderantzizkoak ere bai. Era
horretan, eraldaketen multzo finituak edo mugatuak lortzen dira.ABCD karratua aldagabe uzten duten eraldaketen konposizioa, ondoko taulan dago laburtuta. Lehenengo eraldaketa, lerroetan doana da eta bigarrena zutabeetan, hots, i errenkadaren eta j zutabearen gurutzaduran,
, dago. Taulan, r,s,t,u erabili dira diagonalen araberako aldeen erdibitzaileen simetrientzat,
edo
erabili ordez eta horrela emaitzak irakurterrazagoak dira.
VI. Homoteziak. Antzekotasun multzoak.
O zentrodun eta k arrazoidun (k zero ez dela) homotezia, planoko edozein P punturi beste
puntu bat egoki arazten dion eraldaketa da
izanez.Homotezia bat zehazteko, haren zentroa eta arrazoia jakin behar dira. Horregatik, P puntua
bilakarazten duen homotezia, era honetan adieraziko da :
Homotezia bat duen AB zuzenkia,
zuzenki bihurtzen da.
Homoteziaren definizioz,
da. O angelua komuna denez, OAB eta
antzekoak dira bi alde proportzional eta aldeen arteko angelua berdina dituztelako. Horren ondorioz,
zuzenkia, AB zuzenkiaren eraldatua, honekiko paralelo a da eta BC zuzenkia berriz
zuzenkiarekiko paraleloa. Beraz,
angelua =
Homotezian beraz, angeluek iraun egiten dute aldeak paraleloak direlako.
1 arrazoidun simetria, identitatea da, izan ere, puntu baten eraldatua,
puntua berbera baita. -1 arrazoidun homotezia, simetria zentrala
da edota O zentrodun eta 1800-ko angeludun biraketa.Arrazoi negatibodun homoteziarekin, irudi eraldatua, homotezia
zentroaz beste (aurkako) aldera igarotzen da.
Ekuazioak:
Homoteziaren O zentroa, koordenatu ardatzen jatorri puntua
baldin bada, ekuazioa honako hau da :
edota matrize bidez azalduta :
Homoteziaren zentroa koordenatu ardatzen
jatorri puntua ez bada, aurreko ekuazioak, matrize honetara bihurtzen dira :
Konposizioa :
Zentroa berbera baldin bada,
homoteziek multzoa osatzen dute. Unitatea,
da eta
- ren alderantzizkoa
da. Alderantzizkoa beti dago, izan ere, k ezin baitaiteke 0 izan.
Orokorki,
da,
denean salbu, izan ere, kasu horretan, traslazioa baita.
zentroak lerrokatuta egon behar du O eta
- Ariketak
15.- Kalkula ezazu 0(1,1) zentrodun eta k=2 arrazoidun
homoteziak eragindako P(3,2) puntuaren eraldatua.16.- Kalkula ezazu aurreko ariketako homoteziak eragindako
x+3y=5 zuzenaren eraldatua.17.- Kalkula ezazu aurreko ariketako homoteziak eragindako
zuzenaren eraldatua.18.- Froga ezazu matrize bidez
VII. Alderanzketak
Planoko O puntua emanda eta
den zenbaki bat, alderanzketa izena ematen zaio planoko A puntu bakoitzari, A puntu horrekin
lerrokatuta dagoen eta
egiten duen beste
puntu bat egoki arazten dion eraldaketari.
betetzen duten P puntuak, puntu aldagabeak dira, hots, puntu eraldatua jatorrizko puntu berbera da. Ardatz simetrian simetria ardatzaren zuzena bazen aldagabe irauten zuena, hemen zirkunferentzia bat da eta horregatik deitu ohi zaio alderanzketari simetria zirkularra edo zirkulu simetria.Alderanzketa bat ongi finkatuta dago, zentroa eta
ezagutzen badira, edota zentroa eta puntu aldagaben zirkunferentzia ezagutzen badira. Zirkunferentziaren barneko A puntuak, zirkunferentziaz kanpoko
puntua du iruditzat eta alderantziz, zirkunferentziaz kanpoko puntu batek barruan du bere irudia. O jatorri puntuak, berez ez du irudirik, izan ere,
da eta
ekuazioak ez du emaitzarik. Baina A puntua jatorri punturantz hurbiltzen bada, OA distantzia txikiago bihurtzen da eta
geroz eta handiago bihurtu behar du biderkadura konstante iraunarazteko.
Horregatik da erosoa jatorri puntuaren irudia infinituko puntua dela esatea.Alderanzketa inboluzio bat da : Baldin eta
alderanzketa batek sortutako P-ren eraldatua bada, P, P'-arena da. Eraldatuaren eraldatua, jatorrizkoa da.Alderanzketa, ez distantziak ez eta irudiak edo formak ere gordetzen
ez dituen eraldaketa da, baina angeluak bai gordetzen ditu,
beren orientazioa aldatu arren. Alderanzketaren cartesiar ekuazioak
ez dira errazak ; horregatik haien ezaugarriak aipatuko dira, baina ez
dira erabiliko.Alderanzketa batean zuzenek eta zirkunferentziek izandako eraldaketak,
kokaeraren araberakoak dira :- Alderanzketaren zentrotik igarotzen diren zuzenak, beren buru bihurtzen dira. A eta
puntuek, O jatorri puntuarekin lerrokatuta egon behar dutenez, A eta
zuzen berberean daude, beraz, eraldatzen diren puntuak zuzen batean badaude, haien eraldatuak zuzen berberean egongo dira. Zuzena aldagabea da, nahiz eta puntu bikoitzak edo aldagabeak
betetzen duten bi puntuak bakarrik izan.
- Zentrotik igarotzen ez diren zuzenak, zentrotik igarotzen diren
zirkunferentzia bihurtzen dira.Bedi O alderanzketaren zentroa. P puntua, jatorri puntutik igarotzen ez den r zuzenean dagoena,
bihurtzen da. O-tik, r-ri buruz zuta den zuzena marrazten da,
. Zuzen horrek, r, M puntuan ebakitzen du. M-ren alderantzizko puntua bilatzen da eta demagun
dela. Alderanzketaren definizioz, hau betetzen da :
Eta hortik lortzen da
. Bestalde,
eta
berdinak dira bat datozelako, beraz, OPM triangelua eta
antzekoak dira. Horren ondorioz,
angelua,
angeluaren berdina da.
angeluak ordea, 900 balio du eraikuntzaz, beraz,
angeluak ere 90° balio du, alderanztutako r zuzenaren P puntua edozein delarik ere.
angeluak 90° balio izateko puntuek ordea,
angeluaren arku kapaza eratzen dute 90°-ko angeluarekin,
diametrodun zirkunferentzia hain zuzen ere. Beraz, alderanzketa batean, jatorri puntutik igarotzen ez den zuzen batek, jatorri puntutik igarotzen den zirkunferentzia du iruditzat.
- Jatorri puntutik igarotzen diren zirkunferentziek, jatorri puntutik igarotzen ez diren zuzenak dituzte iruditzat. Esandakoaren ondorio zuzena da eta baita alderanzketa inboluzio erako eraldaketa izatea ere. Beraz, irudi eraldatuak, kasu honetan jatorri puntutik igarotzen den zirkunferentziak, berriro eraldatzen bada, hasierako irudia ematen du, jatorri puntutik igarotzen ez den zuzena alegia.
- Jatorri puntutik igarotzen ez diren zirkunferentziak jatorri puntutik
igarotzen diren zirkunferentzia bihurtzen dira.Demagun c zirkunferentzia dugula eta alderanzketa zentroak zirkunferentzia horrekiko duen potentzia,
dela. c zirkunferentziako A eta B puntuak hartzen dira (bi edozein), baina O-rekin lerrokatuta daudenak. Beren eraldatuak
eta
dira eta hau betetzen da :
Bestalde, zirkunferentziaren potentzia
delako, hau betetzen da :
Lehenengo berdintzak bigarren honekin zatituta, hau dugu :
Beraz,
Hori, begiratzen ari garen A eta B puntuekiko zerikusirik gabe.
Hori ordea, arrazoia
eta zentrotzat alderanzketa zentroa duen homoteziaren ekuazioa da.Orduan, alderanzketa zentrotik igarotzen ez den zirkunferentziaren alderantzizko irudia berarekiko homotetikoa den zirkunferentzia da, zentrotzat alderanzketakoa eta arrazoia
dituen homotezian,
alderanzketa arrazoia dela eta
zentroak lehen zirkunferentziarekiko duen potentzia.Kasu partikular moduan zera aipatu behar da, alegia, berekiko potentzia
dela betetzen duten zirkunferentzia guztiak, zirkunferentzia bikoitzak direla, izan ere, 1 arrazoia duten homotezia baitagokie.Azken zirkunferentzia eraldaketa honetan, alderanzketaren beste bi ezaugarri ikusten dira. Jatorrizko zirkunferentziaren puntuak A- tik B-ra badoaz, alderantzizkoarenak
doaz. Hau da, alderanzketak aldatu egiten du irudien orientazioa, ez da beraz zuzeneko higidura. Bestalde, zirkunferentziaren A puntuko ukitzaileak koordenatuen jatorri puntutik igarotzen den zuzenarekiko eratzen duen angelua, zuzen horrek
- eko ukitzailearekin eratzen duenaren berdina da, zeren, homotezia batean bere irudia baita. Angelu hori aldi berean,
- ean eratzen denaren berdina da, korda beraren muturrak dira eta. Beraz, A-n eratutako angelua eta
- ean eratutakoa berdinak dira, orientazioa aldatua badute ere.Emaitza hori, bi kurbak, edozeintzuk, eratutako angeluaren eta
beren eraldatuek eratzen dutenaren arlora pasa eta orokortu daiteke :
Alderanzketa, angeluak gordetzen dituen eraldaketa da. Angeluak
gordetzen dituzten eraldaketa hauei, forma edo eitea gordetzen
duten eraldaketak deitzen zaie.
- Ariketak
19. Zentrotzat jatorri puntua eta
ekuaziodun puntu bikoiztun zirkunferentziaren alderanzketa batean, kalkulatu :a) P(0,1) puntuaren alderantzizkoa.b) y = 6 zuzenaren alderantzizkoa.20. Zentrotzat jatorri puntua duen alderanzketa batean, A(1,2) eta
puntuak homologoak dira. Kalkula itzazu alderanzketaren potentzia eta autoalderanzketaren zirkunferentzia.2 1. Erradioa 2 duen zirkulu batean inskribatutako triangelu
aldekidea emanda, zentroa triangelu aldekidearena eta
arrazoia 4 duen alderanzketa egiten bada, kalkula itzazu
aldeen (zuzen) eraldatuak.22. Peaucellier-en alderanzketa tresnak, OB eta OC zuzenki giltzatu berdinak ditu, eta horiei elkartuta beste lau zuzenki
erronboa eratuz eta hori ere giltzaturik B,C,A eta
puntuetan. Zuzenkiak zurrunak badira eta O puntua plano batean finkatzen bada, froga ezazu, alegia,
-ak irudi bat deskribatzen badu, A'-ak haren alderantzizkoa deskribatzen duela.(Kasu partikular moduan, Peaucellier-en alderanzketak,
higidura zuzenak higidura zirkular bihurtzeko edota alderantzizkoa
lortzeko balio du).
VIII. Proiekzioa
P puntuak r zuzenean duen proiekzio ortogonala deitzen zaio (orokorki d norabide jakin batekiko paraleloa den proiekzioa) P-tik igaro eta eta r zuzenari buruz zuta den zuzenak (d norabideko zuzenak orokorki) r zuzenarekin duen
ebaki puntuari.
Proiekzioa ez da higidura, ez eta planoko puntuak beren buru
bihurtzeko egindako eraldaketa ere. Proiekzioa planoko puntuetatik
zuzenera egindako aplikazioa da.Proiekzioa ezaugarritu eta mota desberdinen artean desberdintzen
duten elementuak honako hauek dira : r zuzena eta d proiekzio
norabidea.Ekuazioak ardatz cartesiarretan.Proiekzioa egin nahi den zuzena, jatorri puntutik igarotzen dela
suposatu da : y = mxZuzenaren norabideko bektore unitarioa,
da, m=tga malda duela.
eta matrize moduan jarrita :
Traslazioak, biraketak, simetriak, hormoteziak, alderanzketak eta proiekzioak
Emaitzak :
zentroa (-1,4) izatera igarotzen da eta erradioak r=3 jarraitzen du, edota ordezkatuta ,
22.
zuzena, COB angeluaren erdibitzailea da.
eta CB marrazten dira eta M puntuan elkar ebakitzen dute perpendikular,
erronboa delako.OMB triangelua, angeluzuzena da M-n, beraz,
da.
triangeluan,
Goian MB ordezkatuz eta sinplifikatuta, ondorengoa gelditzen da :
konstantea, beraz, A eta A' alderantzizkoak dira.